Physics
Textbooks
Boundless Physics
Physics Textbooks Boundless Physics
Physics Textbooks
Physics

Chapter 10

Fluids

Book Version 3
By Boundless
Boundless Physics
Physics
by Boundless
View the full table of contents
Section 1
Introduction
Thumbnail
Phases of Matter

There are four states of matter: solid, liquid, gas, and plasma.

Thumbnail
What is a Fluid?

A fluid is a substance that continually deforms (flows) under an applied shear stress.

Section 2
Density and Pressure
Thumbnail
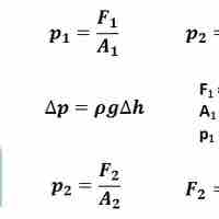
Pressure

Pressure is scalar quantity which is defined as force per unit area where the force acts in a direction perpendicular to the surface.

Thumbnail
Variation of Pressure With Depth

Pressure within static fluids depends on the properties of the fluid, the acceleration due to gravity, and the depth within the fluid.

Thumbnail
Static Equilibrium

Any region or point, or any static object within a static fluid is in static equilibrium where all forces and torques are equal to zero.

Thumbnail
Pascal's Principle

Pascal's Principle states that pressure is transmitted and undiminished in a closed static fluid.

Thumbnail
Gauge Pressure and Atmospheric Pressure

Pressure is often measured as gauge pressure, which is defined as the absolute pressure minus the atmospheric pressure.

Thumbnail
Measurements: Gauge Pressure and the Barometer

Barometers are devices used for measuring atmospheric and gauge pressure indirectly through the use of hydrostatic fluids.

Thumbnail
Pressure in the Body

Pressure plays an essential role in a number of critical bodily functions including respiration and blood circulation.

Section 3
Archimedes' Principle
Thumbnail
Buoyancy and Archimedes' Principle

The buoyant force on an object can be calculated using the Archimedes principle.

Thumbnail
Complete Submersion

The buoyancy force on a completely submerged object of volume is $F_B = V \rho g$ .

Thumbnail
Flotation

An object floats if the buoyancy force exerted on it by the fluid balances its weight.

Section 4
Cohesion and Adhesion
Thumbnail
Surface Tension and Capillary Action

Attractive forces between molecules cause effects such as surface tension and capillary action.

Section 5
Fluids in Motion
Thumbnail
Flow Rate and the Equation of Continuity

The flow rate of a liquid is how much liquid passes through an area in a given time.

Section 6
Deformation of Solids
Thumbnail
Length

Length is one of the basic dimensions used to measure an object.

Thumbnail
Shape

The shape of an object is a description of space that the object takes up; the shape can change if the object is deformed.

Thumbnail
Volume

Volume is a measure of the three-dimensional space an object occupies, usually taken in terms of length, width and height.

Thumbnail
Stress and Strain

A point charge creates an electric field that can be calculated using Coulomb's Law.

You are in this book
Boundless Physics by Boundless
Previous Chapter
Chapter 9
Rotational Kinematics, Angular Momentum, and Energy
  • Quantities of Rotational Kinematics
  • Angular Acceleration
  • Rotational Kinematics
  • Dynamics
  • Rotational Kinetic Energy
and 5 more sections...
Current Chapter
Chapter 10
Fluids
  • Introduction
  • Density and Pressure
  • Archimedes' Principle
  • Cohesion and Adhesion
  • Fluids in Motion
and 1 more sections...
Next Chapter
Chapter 11
Fluid Dynamics and Its Applications
  • Overview
  • Flow in Tubes
  • Bernoulli's Equation
  • Other Applications
Subjects
  • Accounting
  • Algebra
  • Art History
  • Biology
  • Business
  • Calculus
  • Chemistry
  • Communications
  • Economics
  • Finance
  • Management
  • Marketing
  • Microbiology
  • Physics
  • Physiology
  • Political Science
  • Psychology
  • Sociology
  • Statistics
  • U.S. History
  • World History
  • Writing

Except where noted, content and user contributions on this site are licensed under CC BY-SA 4.0 with attribution required.