Physics
Textbooks
Boundless Physics
Fluids
Density and Pressure
Physics Textbooks Boundless Physics Fluids Density and Pressure
Physics Textbooks Boundless Physics Fluids
Physics Textbooks Boundless Physics
Physics Textbooks
Physics
Concept Version 7
Created by Boundless

Pressure in the Body

Pressure plays an essential role in a number of critical bodily functions including respiration and blood circulation.

Learning Objective

  • Explain role played by pressure in the circulatory and respiratory systems


Key Points

    • Pressure, along with the potential for work arising from differences in pressure, plays an essential role in the functionality of several critical bodily functions and systems necessary for survival.
    • The circulatory system relies on pressure differences for circulating blood, along with oxygen, necessary nutrients, and waste products throughout the body.
    • Respiration is made possible as a result of pressure differences between the thoracic cavity, the lungs, and the environment and is largely regulated by movement of the diaphragm.

Terms

  • Alveoli

    Small air sacs or cavities in the lung that give the tissue a honeycomb appearance and expand its surface area for the exchange of oxygen and carbon dioxide.

  • Poiseuille’s Law

    The law that the velocity of a liquid flowing through a capillary is directly proportional to the pressure of the liquid and the fourth power of the radius of the capillary and is inversely proportional to the viscosity of the liquid and the length of the capillary.

  • Thoracic Cavity

    A hollow place or space, or a potential space, within the body or one of its organs.


Full Text

The Role of Pressure in the Circulatory System

Pressure plays an essential role in various critical bodily systems that are necessary for survival. One such critical bodily system which relies on pressure for functionality is the circulatory system, which is an example of a closed fluid system under pressure. The circulatory system is responsible for transporting oxygen and essential nutrients to all organs within the body as well as removing waste materials from these organs. Blood can be regarded as a viscous liquid contained within the circulatory system that travels throughout this closed system as a result of pressure and pressure differences within the circulatory system.

As the volume of blood within the circulatory system is confined to the veins, arteries, and capillaries there is a pressure within this closed system. Furthermore, through a complicated system of veins, arteries, and capillaries of varying diameter as well as valves and the heart acting as a continuous pump, pressure differences arise within the circulatory system that result in the potential for blood to circulate throughout the circulatory system, thus carrying out essential bodily functions for survival.

Pressure within the circulatory system is referred to as blood pressure, and is a primary and crucial vital sign which can be used to diagnose or indicate a number of medical conditions. Blood pressure varies throughout the body as well as from one individual to another and depends on a number of factors such as heart rate, blood volume, resistance of the circulatory system (veins, arteries, and capillaries), and the viscosity of blood. Any medical conditions affecting any of these factors will have an effect on blood pressure and the overall health of the circulatory system.

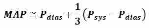
The mean arterial pressure (MAP) is the average pressure over a cardiac cycle and is determined by , where CO is the cardiac outputs, SVR is the systemic vascular resistance, and CVP is the central venous pressure (CVP). In practice, the mean arterial pressure (MAP) can be approximated from easily obtainable blood pressure measurements in , where Psys is the measured systolic pressure and Pdias is the measured diastolic pressure. One particularly common and dangerous circulatory system condition is partial blockage of blood vessels due to a number of factors, such as plaque build-up from high cholesterol, which results in a reduction of the effective blood vessel cross-sectional diameter and a corresponding reduction in blood flow rate and thus an increase in blood pressure to restore normal blood flow according to Poiseuille's Law.

Approximation for Mean Arterial Pressure

In practice, the mean arterial pressure (MAP) can be approximated from easily obtainable blood pressure measurements.

Equation for Mean Arterial Pressure

The mean arterial pressure (MAP) is the average pressure over a cardiac cycle and is determined this equation, where CO is the cardiac outputs, SVR is the systemic vascular resistance, and CVP is the central venous pressure (CVP).

The Role of Pressure in the Respiratory System

Pressure also plays an essential role in the respiratory system, as it is responsible for the breathing mechanism. Pressure differences between the lungs and the atmosphere create a potential for air to enter the lungs, resulting in inhalation. The mechanism resulting in inhalation is due to lowering of the diaphragm, which increases the volume of the thoracic cavity surrounding the lungs, thus lowering its pressure as determined by the ideal gas law. The reduction in pressure of the thoracic cavity, which normally has a negative gauge pressure, thus keeping the lungs inflated, pulls air into the lungs, inflating the alveoli and resulting in oxygen transport needed for respiration. As the diaphragm restores and moves upwards, pressure within the thoracic cavity increases, resulting in exhalation. The cycle repeats itself, resulting in the respiration which as discussed is mechanically due to pressure changes. Without pressure in the body, and the corresponding potential that it has for dynamic bodily processes, essential functions such as blood circulation and respiration would not be possible.

[ edit ]
Edit this content
Prev Concept
Measurements: Gauge Pressure and the Barometer
Buoyancy and Archimedes' Principle
Next Concept
Subjects
  • Accounting
  • Algebra
  • Art History
  • Biology
  • Business
  • Calculus
  • Chemistry
  • Communications
  • Economics
  • Finance
  • Management
  • Marketing
  • Microbiology
  • Physics
  • Physiology
  • Political Science
  • Psychology
  • Sociology
  • Statistics
  • U.S. History
  • World History
  • Writing

Except where noted, content and user contributions on this site are licensed under CC BY-SA 4.0 with attribution required.