7.5 The Energy of Biochemical Reactions

Learning Objective

  1. Relate the concept of energy change to chemical reactions that occur in the body.

The chemistry of the human body, or any living organism, is very complex. Even so, the chemical reactions found in the human body follow the same principles of energy that other chemical reactions follow.

Where does the energy that powers our bodies come from? The details are complex, but we can look at some simple processes at the heart of cellular activity.

An important reaction that provides energy for our bodies is the oxidation of glucose (C6H12O6):

C6H12O6(s) + 6O2(g) → 6CO2(g) + 6H2O(ℓ) + 670 kcal

Considering that 1 mol of C6H12O6(s) has a volume of about 115 mL, we can see that glucose is a compact source of energy.

Glucose and other sugars are examples of carbohydratesOne of the main dietary components, like glucose and other sugars, that supplies energy for the body., which are one of the three main dietary components of a human diet. All carbohydrates supply approximately 4 kcal/g. You can verify that by taking the heat of reaction for glucose oxidation and dividing it by its molar mass. ProteinsBuilding blocks of structural tissues, like muscle and skin., the building blocks of structural tissues like muscle and skin, also supply about 4 kcal/g. Other important energy sources for the body are fatsA compound, composed largely of hydrocarbon chains, that supplies energy for the body., which are largely hydrocarbon chains. Fats provide even more energy per gram, about 9 kcal/g. A detailed discussion of carbohydrates and fats and their chemistry in the body is found in Chapter 16 "Carbohydrates" and Chapter 17 "Lipids".

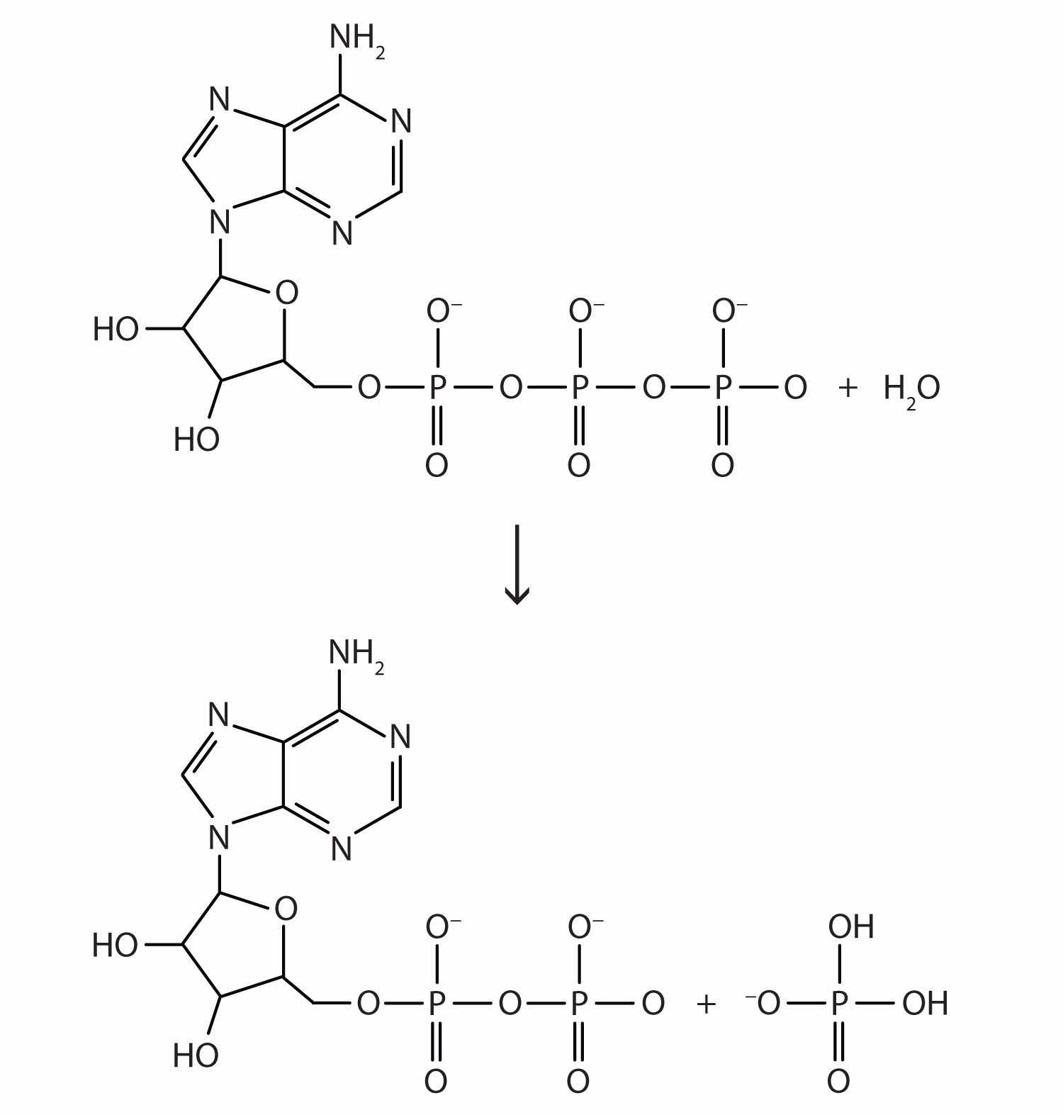
Another important reaction is the conversion of adenosine triphosphate (ATP) to adenosine diphosphate (ADP), which is shown in Figure 7.5 "ATP to ADP". Under physiological conditions, the breaking of an O–P bond and the formation of an O–P and two O–H bonds gives off about 7.5 kcal/mol of ATP. This may not seem like much energy, especially compared to the amount of energy given off when glucose reacts. It is enough energy, however, to fuel other biochemically important chemical reactions in our cells.

Figure 7.5 ATP to ADP

The conversion of ATP (top) to ADP (bottom) provides energy for the cells of the body.

Note

Even complex biological reactions must obey the basic rules of chemistry.

Career Focus: Dietitian

A dietitian is a nutrition expert who communicates food-related information to the general public. In doing so, dietitians promote the general well-being among the population and help individuals recover from nutritionally related illnesses.

Our diet does not just supply us with energy. We also get vitamins, minerals, and even water from what we eat. Eating too much, too little, or not enough of the right foods can lead to a variety of problems. Dietitians are trained to make specific dietary recommendations to address particular issues relating to health. For example, a dietitian might work with a person to develop an overall diet that would help that person lose weight or control diabetes. Hospitals employ dietitians in planning menus for patients, and many dietitians work with community organizations to improve the eating habits of large groups of people.

Concept Review Exercise

  1. What is the energy content per gram of proteins, carbohydrates, and fats?

Answer

  1. proteins and carbohydrates: 4 kcal/g; fats: 9 kcal/g

Key Takeaway

  • Energy to power the human body comes from chemical reactions.

Exercises

  1. An 8 oz serving of whole milk has 8.0 g of fat, 8.0 g of protein, and 13 g of carbohydrates. Approximately how many kilocalories does it contain?

  2. A serving of potato chips has 160 kcal. If the chips have 15 g of carbohydrates and 2.0 g of protein, about how many grams of fat are in a serving of potato chips?

  3. The average body temperature of a person is 37°C, while the average surrounding temperature is 22°C. Is overall human metabolism exothermic or endothermic?

  4. Cold-blooded animals absorb heat from the environment for part of the energy they need to survive. Is this an exothermic or an endothermic process?

  5. If the reaction ATP → ADP gives off 7.5 kcal/mol, then the reverse process, ADP → ATP requires 7.5 kcal/mol to proceed. How many moles of ADP can be converted to ATP using the energy from 1 serving of potato chips (see Exercise 2)?

  6. If the oxidation of glucose yields 670 kcal of energy per mole of glucose oxidized, how many servings of potato chips (see Exercise 2) are needed to provide the same amount of energy?

Answers

  1. 156 kcal

  2. exothermic

  3. 21.3 mol