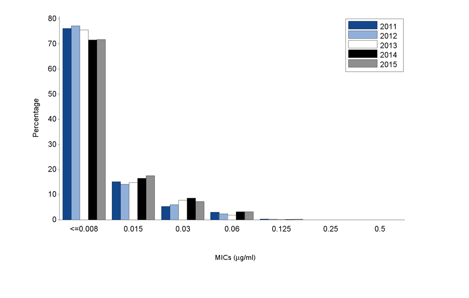
Figure 2. Distribution of Ceftriaxone Minimum Inhibitory Concentrations (MICs) Among Neisseria gonorrhoeae Isolates, Gonococcal Isolate Surveillance Project (GISP), 2011-2015
- Page last reviewed: June 6, 2017
- Page last updated: May 25, 2017
- Content source:
ShareCompartir