Figure 1
Clinical Guidance on the Identification and Evaluation of Possible SARS-CoV Disease among Persons Presenting with Community-Acquired Illness (version 2)

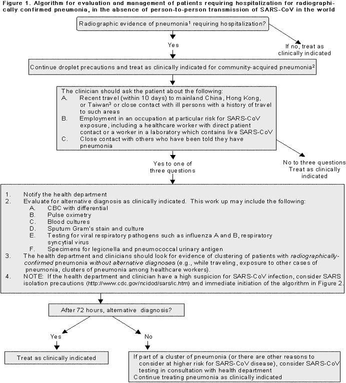
Text Version
Algorithm for evaluation and management of patients requiring hospitalization for radiographically confirmed pneumonia, in the absence of person-to-person transmission of SARS-CoV in the world
Flow chart elements as follows:
Radiographic evidence of pneumonia1 requiring hospitalization?
- if no, treat as clinically indicated
- if yes...
Continue droplet precautions and treat as clinically indicated for community-acquired pneumonia2
The clinician should ask the patient about the following:
- Recent travel (within 10 days) to mainland China, Hong Kong, or Taiwan3 or close contact with ill persons with a history of travel to such areas
- Employment in an occupation at particular risk for SARS-CoV exposure, including a healthcare worker with direct patient contact or a worker in a laboratory which contains live SARS-CoV
- Close contact with others who have been told they have pneumonia
- if no to 3 questions treat as clinically indicated
- if yes to one of 3 questions...
- Notify the health department
- Evaluate for alternative diagnosis as clinically indicated. This work up may include the following:
- CBC with differential
- Pulse oximetry
- Blood cultures
- Sputum Gram's stain and culture
- Testing for viral respiratory pathogens such as influenza A and B, respiratory syncytial virus
- Specimens for legionella and pneumococcal urinary antigen
- The health department and clinicians should look for evidendence of clustering of patients with radiographically-confirmed pneumonia without alternative diagnoses (e.g., while travelinig, exposure to other cases of pneumonia, clusters of pneumonia among healthcare workers).
- NOTE: If the health deparment and clinician have a high suspicion for SARS-CoV infection, consider SARS isolation precautions and immediate initiation of the algorithm in Figure 2.
After 72 hours, alternative diagnosis?
- if yes - treat as clinically indicated
- if no...
If part of a cluster of pneumonia (or there are other reasons to consider at higher risk for SARS-CoV disease), consider SARS-CoV testing in consultation with health department.
Continue treating pneumonia as clinically indicated.
Footnotes for Figure 1
- Or Acute Respiratory Distress Syndrome (ARDS) of unknown etiology
- Guidance for the management of community-acquired pneumonia is available from the Infectious Diseases Society of America (IDSA) and can be found online.
- The 2003 SARS-CoV outbreak likely originated in mainland China, and neighboring areas such as Taiwan and Hong Kong are thought to be at higher risk due to the high volume of travelers from mainland China. Although less likely, SARS-CoV may also reappear from other previously affected areas. Therefore, clinicians should obtain a complete travel history. If clinicians have concerns about the possibility of SARS-CoV disease in a patient with a history of travel to other previously affected areas (e.g., while traveling abroad, had close contact with another person with pneumonia of unknown etiology or spent time in a hospital in which patients with acute respiratory disease were treated), they should contact the health department.
- Page last reviewed: May 3, 2005
- Page last updated: May 3, 2005
- Content source:
ShareCompartir