Skip directly to search Skip directly to A to Z list Skip directly to page options Skip directly to site content

Invasive Cancer Incidence, 2004–2013, and Deaths, 2006–2015, in Nonmetropolitan and Metropolitan Counties — United States


Article Metrics

Views equals page views plus PDF downloads

Views:

Citations:

Altmetric:

Metric Details

S. Jane Henley, MSPH1; Robert N. Anderson, PhD2; Cheryll C. Thomas, MSPH1; Greta M. Massetti, PhD1; Brandy Peaker, MD1; Lisa C. Richardson, MD1 (View author affiliations)

View suggested citation and related materials

Abstract

Problem/Condition: Previous reports have shown that persons living in nonmetropolitan (rural or urban) areas in the United States have higher death rates from all cancers combined than persons living in metropolitan areas. Disparities might vary by cancer type and between occurrence and death from the disease. This report provides a comprehensive assessment of cancer incidence and deaths by cancer type in nonmetropolitan and metropolitan counties.

Reporting Period: 2004–2015.

Description of System: Cancer incidence data from CDC’s National Program of Cancer Registries and the National Cancer Institute’s Surveillance, Epidemiology, and End Results program were used to calculate average annual age-adjusted incidence rates for 2009–2013 and trends in annual age-adjusted incidence rates for 2004–2013. Cancer mortality data from the National Vital Statistics System were used to calculate average annual age-adjusted death rates for 2011–2015 and trends in annual age-adjusted death rates for 2006–2015. For 5-year average annual rates, counties were classified into four categories (nonmetropolitan rural, nonmetropolitan urban, metropolitan with population <1 million, and metropolitan with population ≥1 million). For the trend analysis, which used annual rates, these categories were combined into two categories (nonmetropolitan and metropolitan). Rates by county classification were examined by sex, age, race/ethnicity, U.S. census region, and cancer site. Trends in rates were examined by county classification and cancer site.

Results: During the most recent 5-year period for which data were available, nonmetropolitan rural areas had lower average annual age-adjusted cancer incidence rates for all anatomic cancer sites combined but higher death rates than metropolitan areas. During 2006–2015, the annual age-adjusted death rates for all cancer sites combined decreased at a slower pace in nonmetropolitan areas (-1.0% per year) than in metropolitan areas (-1.6% per year), increasing the differences in these rates. In contrast, annual age-adjusted incidence rates for all cancer sites combined decreased approximately 1% per year during 2004–2013 both in nonmetropolitan and metropolitan counties.

Interpretation: This report provides the first comprehensive description of cancer incidence and mortality in nonmetropolitan and metropolitan counties in the United States. Nonmetropolitan rural counties had higher incidence of and deaths from several cancers related to tobacco use and cancers that can be prevented by screening. Differences between nonmetropolitan and metropolitan counties in cancer incidence might reflect differences in risk factors such as cigarette smoking, obesity, and physical inactivity, whereas differences in cancer death rates might reflect disparities in access to health care and timely diagnosis and treatment.

Public Health Action: Many cancer cases and deaths could be prevented, and public health programs can use evidence-based strategies from the U.S. Preventive Services Task Force and Advisory Committee for Immunization Practices (ACIP) to support cancer prevention and control. The U.S. Preventive Services Task Force recommends population-based screening for colorectal, female breast, and cervical cancers among adults at average risk for these cancers and for lung cancer among adults at high risk; screening adults for tobacco use and excessive alcohol use, offering counseling and interventions as needed; and using low-dose aspirin to prevent colorectal cancer among adults considered to be at high risk for cardiovascular disease based on specific criteria. ACIP recommends vaccination against cancer-related infectious diseases including human papillomavirus and hepatitis B virus. The Guide to Community Preventive Services describes program and policy interventions proven to increase cancer screening and vaccination rates and to prevent tobacco use, excessive alcohol use, obesity, and physical inactivity.

Introduction

Cancer rates vary by many different characteristics, including geographic classifications such as county of residence. County populations differ from one another on the basis of demographic, environmental, economic, and social characteristics, which might influence the magnitude and types of health problems, including cancer (1). Counties can be classified as metropolitan or nonmetropolitan as defined by the Office of Management and Budget (2). This classification scheme can be further categorized by using the U.S. Department of Agriculture Economic Research Service (USDA ERS) rural-urban continuum codes classification scheme, which categorizes metropolitan counties by the population size of their metropolitan area and nonmetropolitan counties by degree of urbanization and adjacency to a metropolitan area (3). Previous research indicates that although cancer death rates decreased from 1999 to 2014 among all counties, decreases were slower in nonmetropolitan areas than metropolitan areas, increasing disparities (1). Comparisons of cancer death rates in nonmetropolitan areas and metropolitan areas have been described previously but not systematically assessed (1,4).

The Healthy People 2020 initiative established a set of goals and objectives designed to improve the health of the U.S. population, recognizing the important role played by determinants of health, such as geographic location (5). As of 2017, Healthy People 2020 includes objectives for reducing age-adjusted overall cancer death rates to 161.4 deaths per 100,000 persons, lung cancer to 45.5 deaths per 100,000 persons, female breast cancer to 20.7 deaths per 100,000 females, cervical cancer to 2.2 deaths per 100,000 females, colorectal cancer to 14.5 deaths per 100,000 persons, oral cavity and pharynx cancer to 2.3 deaths per 100,000 persons, prostate cancer to 21.8 deaths per 100,000 males, and melanoma to 2.4 deaths per 100,000 persons (5). Healthy People 2020 also includes objectives to reduce age-adjusted incidence rates of colorectal cancer to 39.9 cases per 100,000 persons, late-stage breast cancer to 42.2 cases per 100,000 females, and cervical cancer to 7.3 cases per 100,000 females (5).

This report assesses differences in cancer incidence and death rates by county classification, age group, sex, race/ethnicity, U.S. census region, and cancer type (and stage for incidence of cancers that are detectable by screening), as well as changes over time in incidence and death rates for common cancers in nonmetropolitan and metropolitan counties and whether these trends differ. In addition, this report assesses progress toward reaching the Healthy People 2020 objectives for cancer (5). These findings can be used by public health officials to identify areas with the highest rates of cancer incidence or mortality and focus on regions that might benefit from strategies to prevent cancer from occurring or to reduce deaths from cancer.

Methods

To examine differences in cancer incidence and mortality in nonmetropolitan and metropolitan counties in the United States, CDC analyzed cancer incidence data from CDC’s National Program of Cancer Registries (NPCR) and the National Cancer Institute’s (NCI’s) Surveillance, Epidemiology, and End Results (SEER) program and cancer mortality data from the National Vital Statistics System (NVSS) (6,7). The most recent data available are through 2013 for incidence and through 2015 for deaths. This report presents average annual age-adjusted rates for the most recent 5-year period with available data (2009–2013 for incidence and 2011–2015 for deaths) and trends in annual age-adjusted incidence rates for the most recent 10-year period with available data (2004–2013 for incidence and 2006–2015 for deaths). For 5-year average annual rates, counties were classified into four categories (nonmetropolitan rural, nonmetropolitan urban, metropolitan with population <1 million, and metropolitan with population ≥1 million). For the trend analysis, which used annual rates, these categories were combined into two categories (nonmetropolitan and metropolitan).

Incidence Data

Data on new cases of cancer diagnosed during 2004–2013 were obtained from population-based cancer registries affiliated with NPCR and SEER programs in each state and the District of Columbia. Data from Nevada did not meet U.S. Cancer Statistics publication criteria for 2004–2013, and county-level data were not available for Kansas and Minnesota; consequently, incidence data in this report represent 97% of the U.S. population. Cases were classified first by anatomic site (https://seer.cancer.gov/siterecode), and cases with hematopoietic histologies were classified further (7). Only cases of invasive cancer were included, except for urinary bladder cancer, for which in situ tumors also were included. Cancers for which population-based screening recommendations exist (breast, cervix, colon and rectum, and lung) also were characterized by stage at diagnosis; SEER Summary Stage 2000 was used to characterize cancers as localized, regional, distant, or unknown stage using clinical and pathologic tumor characteristics, such as tumor size, depth of invasion and extension to regional or distant tissues, involvement of regional lymph nodes, and distant metastases (https://seer.cancer.gov/tools/ssm). Late-stage cancers included those diagnosed at the regional or distant stage.

Mortality Data

Data on cancer deaths were based on death certificates registered during 2006–2015 by the 50 states and the District of Columbia and compiled into a national file through NVSS. The underlying cause of death was based on the International Classification of Diseases, 10th Revision (ICD-10) codes (8) and categorized according to SEER cancer site groups to maximize comparability with the International Classification of Diseases for Oncology, third edition (ICD-O-3) classification (https://seer.cancer.gov/codrecode). Mortality data in this report cover 100% of the U.S. population.

County Classification

The USDA ERS rural-urban continuum codes (2013 vintage) were used to categorize county residence at time of cancer diagnosis or death as nonmetropolitan or metropolitan; nonmetropolitan counties were further categorized by degree of urbanization and adjacency to a metropolitan area and metropolitan counties by the population size of their metropolitan area (https://www.ers.usda.gov/data-products/rural-urban-continuum-codes). Thus, counties were more specifically classified as nonmetropolitan rural (rural-urban continuum codes 8 and 9) or nonmetropolitan urban (rural-urban continuum codes 4–7), and metropolitan counties were classified as metropolitan with <1 million population (rural-urban continuum codes 2 and 3) or metropolitan with ≥1 million population (rural-urban continuum code 1). The two-category classification was used for the trend analysis, which used annual rates; the rate analysis, which used 5-year average annual rates, allowed for the more detailed four-category classification.

Demographic and Tumor Characteristics

Information about race/ethnicity was collected separately and was based on medical records or death certificates. In this report, information about race/ethnicity was combined to create five mutually exclusive groups: non-Hispanic white, non-Hispanic black, non-Hispanic American Indian/Alaska Native (AI/AN), non-Hispanic Asian/Pacific Islander (API), and Hispanic. Cases among persons with other or unknown race (2%) or unknown ethnicity (2%) were included in overall rates but were not included as separate categories.

Individual cancer sites included the most common cancers among men and among women in each of the five racial/ethnic groups. These sites include prostate; female breast; lung and bronchus (lung); colon and rectum (colorectal); oral cavity and pharynx; esophagus; stomach; liver and intrahepatic bile duct (liver); pancreas; larynx; corpus uteri and uterus, not otherwise specified (uterus); uterine cervix (cervix); ovary; kidney and renal pelvis (kidney); urinary bladder (bladder); thyroid; melanoma; brain and other central nervous system (brain); non-Hodgkin lymphoma; myeloma; and leukemia.

Statistical Analysis

Population estimates for rate denominators were a modification of annual county population estimates by age, sex, bridged race, and ethnicity produced by the U.S. Census Bureau in collaboration with CDC and with support from NCI (https://seer.cancer.gov/popdata). The 5-year average annual incidence rates for 2009–2013 and 5-year average annual death rates for 2011–2015 per 100,000 persons were age-adjusted to the 2000 U.S. standard population. Rates were estimated by nonmetropolitan (urban and rural) and metropolitan residence (population size <1 million and ≥1 million), sex, age group (<20, 20–44, 45–64, 65–74, and ≥75 years), racial/ethnic group, U.S. census region, and cancer site. Rate ratios were calculated to compare incidence and death rates in nonmetropolitan rural counties with rates in other counties; rates were considered significantly different (p<0.05) if the 95% confidence interval (CI) for the rate ratio excluded one. The average annual percentage change (AAPC) was used to quantify changes in annual age-adjusted incidence rates during 2004–2013 and annual age-adjusted death rates during 2006–2015 and was calculated using joinpoint regression, which allowed different slopes for two periods; the year at which slopes changed could vary by county classification (https://surveillance.cancer.gov/joinpoint). To determine whether AAPC was significantly different from zero, a t-test was used for 0 joinpoints, and a z-test was used for 1 joinpoint. Rates were considered to increase if AAPC >0 (p<0.05) and to decrease if AAPC <0 (p<0.05); otherwise rates were considered stable. Differences in AAPCs between nonmetropolitan and metropolitan counties were considered significant (p<0.05) if the 95% CI for the difference excluded zero. All statistical tests were two sided.

Results

Cancer Incidence Rates and Trends

Cancer cases in nonmetropolitan rural counties comprised 2% of all cancers in this analysis, cancer cases in nonmetropolitan urban counties comprised 15%, and cases in all metropolitan counties accounted for 83% (Table 1). The average annual age-adjusted incidence rate (incidence rate) for all anatomic cancer sites combined was lower among nonmetropolitan rural counties (442 cases per 100,000 persons) than rates among nonmetropolitan urban counties (455 cases per 100,000 persons), metropolitan counties with <1 million population (456 cases per 100,000 persons), and metropolitan counties with ≥1 million population (457 cases per 100,000 persons). Overall cancer incidence rates among men and among women were lower among nonmetropolitan rural counties than in other counties. By age, overall cancer incidence rates among nonmetropolitan rural counties were similar to those in other counties among those aged <45 years but lower among those aged ≥45 years. Among non-Hispanic whites, non-Hispanic blacks, and Hispanics, overall cancer incidence rates were lower in nonmetropolitan rural counties than in other counties; however, among AI/ANs, the highest rates were in nonmetropolitan rural counties. Overall cancer incidence rates among APIs did not differ by county classification.

Although many differences in cancer site between nonmetropolitan rural and urban counties were not significant, nonmetropolitan rural counties generally experienced lower incidence rates than metropolitan counties for female breast cancer, late-stage female breast cancer, and prostate cancer but higher incidence rates for lung cancer, late-stage lung cancer, colorectal cancer, late-stage colorectal cancer, and cervical cancer (Figure 1). Nonmetropolitan rural counties experienced lower incidence rates than all other counties for cancers of the stomach, liver, uterus, bladder, and thyroid and lower incidence rates than metropolitan counties (but similar to nonmetropolitan urban counties) for pancreatic cancer, myeloma, non-Hodgkin lymphoma, and other cancers; higher incidence rates than metropolitan counties for laryngeal cancer; higher incidence rates than metropolitan counties with population ≥1 million population for cancers of the oral cavity and pharynx, esophagus, and kidney and for melanoma; and rates similar to those of other counties for brain cancer and leukemia (Table 1).

During 2004–2013, overall cancer incidence rates decreased similarly in nonmetropolitan counties (-0.8% per year) and in metropolitan counties and (-1% per year) (Figure 2). Although overall breast cancer incidence rates were stable, late-stage breast cancer incidence rates decreased 0.7% per year both in nonmetropolitan and metropolitan counties (Figure 2). Incidence rates for cervical and prostate cancers decreased at similar rates in nonmetropolitan and metropolitan counties, whereas incidence rates for cancer of the colon and rectum (all and late-stage) and lung cancer (all and late-stage), which were already higher in nonmetropolitan counties, decreased more slowly than in metropolitan counties, increasing existing disparities (Figure 2). Some cancer incidence rates decreased at similar rates in nonmetropolitan and metropolitan counties (ovarian and brain cancers and non-Hodgkin lymphoma), whereas some decreased more slowly in nonmetropolitan counties (esophageal and laryngeal cancer) (supplemental Table 1 https://stacks.cdc.gov/view/cdc/45451). Incidence rates for myeloma, melanoma, and cancers of the pancreas, kidney, and thyroid increased at similar rates in nonmetropolitan and metropolitan counties; rates for cancers of the oral cavity and pharynx and liver increased more quickly in nonmetropolitan counties; and rates for uterine cancer increased more quickly in metropolitan counties (supplemental Table 1 https://stacks.cdc.gov/view/cdc/45451). Bladder cancer incidence rates increased 1.1% per year in metropolitan counties but decreased 0.5% per year in nonmetropolitan counties (supplemental Table 1 https://stacks.cdc.gov/view/cdc/45451).

Cancer Death Rates and Trends

An average of 48,194 cancer deaths occurred each year during 2011–2015 in nonmetropolitan rural counties, representing 8% of all cancer deaths reported in the United States (Table 2). The average annual age-adjusted death rate (death rate) for all cancer sites combined was higher in nonmetropolitan rural counties (180 deaths per 100,000 persons) than in nonmetropolitan urban counties (177 deaths per 100,000 persons), metropolitan counties with <1 million population (166 deaths per 100,000 persons), and metropolitan counties with ≥1 million population (158 deaths per 100,000 persons). By sex, overall cancer death rates among both men and women were higher in nonmetropolitan rural counties than in other counties. By age, overall cancer death rates in nonmetropolitan rural counties were generally similar to those in other counties among those aged <20 years but higher among those aged ≥20 years. Overall cancer death rates were higher in nonmetropolitan rural counties than in other counties among non-Hispanic whites and AI/ANs but lower among Hispanics and APIs; among non-Hispanic blacks, rates in nonmetropolitan rural counties were lower than in nonmetropolitan urban counties but higher than in metropolitan counties.

By cancer site, nonmetropolitan rural counties experienced higher death rates than all other counties for cancers of the lung, colon and rectum, prostate, and cervix; for female breast cancer, death rates were higher than in metropolitan counties with <1 million population but similar to rates of other counties (Figure 1). In addition, compared with all other counties, nonmetropolitan rural counties experienced higher death rates from cancers of the oral cavity and pharynx and kidney (Table 2). Death rates for cancers of the esophagus, larynx, and bladder, melanoma, and leukemia in nonmetropolitan rural counties were similar to those in nonmetropolitan urban counties but higher than in metropolitan counties, whereas death rates for cancers of the ovary and brain were higher than in metropolitan counties with ≥1 million population and similar to rates of other counties. Death rates in nonmetropolitan rural counties were lower than all other counties for liver cancer, lower than in metropolitan counties for stomach cancer, and lower than in metropolitan counties with ≥1 million population for uterine cancer, whereas death rates for non-Hodgkin lymphoma were lower than in nonmetropolitan urban counties but higher than in metropolitan counties. Death rates for pancreatic cancer and myeloma were similar in nonmetropolitan rural counties compared with all other counties.

During 2006–2015, death rates for all cancer sites combined decreased more slowly in nonmetropolitan counties (-1.0% per year) than in metropolitan counties (-1.6% per year), widening differences in rates (Figure 3). Similarly, differences in death rates also increased for lung and colorectal cancers because rates decreased more slowly in nonmetropolitan counties. Although breast cancer death rates had been lower in nonmetropolitan counties, they decreased more slowly than in metropolitan counties, resulting in similar rates. Cervical cancer death rates were stable in nonmetropolitan counties but decreased slightly in metropolitan counties. Death rates for prostate, stomach, and ovarian cancers; non-Hodgkin lymphoma; and leukemia decreased in nonmetropolitan counties at the same rate as in metropolitan counties but decreased more slowly than in metropolitan counties for laryngeal cancer (supplemental Table 2 https://stacks.cdc.gov/view/cdc/45451). Death rates for melanoma and for cancers of the esophagus and kidney decreased in metropolitan counties but were stable in nonmetropolitan counties (supplemental Table 2 https://stacks.cdc.gov/view/cdc/45451). Death rates for thyroid cancer, oral cavity and pharyngeal cancer, and myeloma were stable both in nonmetropolitan and metropolitan counties (supplemental Table 2 https://stacks.cdc.gov/view/cdc/45451). Death rates increased at about the same rate in nonmetropolitan and metropolitan counties for uterine and brain cancers but increased faster in nonmetropolitan counties for liver cancer (supplemental Table 2 https://stacks.cdc.gov/view/cdc/45451). Pancreatic cancer death rates increased in nonmetropolitan counties but were stable in metropolitan counties, whereas bladder cancer death rates increased in nonmetropolitan counties but decreased in metropolitan counties (supplemental Table 2 https://stacks.cdc.gov/view/cdc/45451).

Discussion

During the most recent 5-year period with available data, nonmetropolitan rural counties had lower average annual age-adjusted incidence rates (2009–2013) for all cancer sites combined, but higher average annual age-adjusted death rates (2011–2015) for all cancer sites combined, than nonmetropolitan urban and metropolitan counties. During the most recent 10-year period with available data (2004–2013), the annual age-adjusted overall cancer incidence rates decreased equally, by approximately 1% per year, both in nonmetropolitan and metropolitan counties; however, the annual age-adjusted overall cancer death rates (2006–2015) decreased more slowly in nonmetropolitan counties (-1.0% per year) than in metropolitan counties (-1.6% per year), increasing existing differences in rates.

Nonmetropolitan rural counties had higher incidence and death rates for cancers related to smoking (e.g., lung and laryngeal cancers) and cancers that can be prevented by screening (i.e., colorectal and cervical cancers). Rates for these cancers also decreased more slowly in nonmetropolitan counties than in metropolitan counties, increasing disparities. Nonmetropolitan rural counties also had higher incidence rates of cancers related to human papillomavirus (HPV) (cancers of the cervix, oral cavity and pharynx) but lower incidence rates of cancers related to other infectious agents such as liver (which can be caused by hepatitis B virus and hepatitis C virus) and stomach cancer (which can be caused by infection with Helicobacter pylori bacteria). Compared with metropolitan counties, nonmetropolitan counties had lower incidence rates for breast and prostate cancer that persisted over time but had similar breast cancer death rates and slightly higher prostate cancer death rates.

Risk Factor Prevalence

Many cancers are caused by modifiable risk factors, such as cigarette smoking and other tobacco use, secondhand smoke exposure, excess body weight, insufficient physical activity, alcohol use, excessive exposure to ultraviolet rays from the sun and tanning beds, and exposure to cancer-causing infectious agents (9). Differences in risk factors such as cigarette smoking could account for some of the disparities presented in this report. Previous research has shown that residents of nonmetropolitan areas, compared with residents of metropolitan areas, have higher rates of cancer risk factors such as cigarette smoking, obesity, and physical inactivity (4). Results from the 2013 Behavioral Risk Factor Surveillance System indicated that adults who lived in rural areas, compared with those who lived in nonrural areas, had the lowest prevalence (27%) of reporting at least four of five healthy behaviors defined as current nonsmoking, maintaining normal body weight, nondrinking or moderate drinking, meeting aerobic leisure-time physical activity recommendations, and getting enough sleep (10). Many of these healthy behaviors are associated with a reduced risk for cancer (9). By risk factor, the study found that adults who lived in rural areas had the lowest prevalence of current nonsmoking (i.e., the highest prevalence of current smoking), maintaining normal body weight (i.e., the highest prevalence of being overweight or obese), and meeting aerobic leisure-time physical activity recommendations (i.e., the highest prevalence of not getting enough physical activity), each of which is associated with increased cancer risk but the highest prevalence of nondrinking or moderate drinking, which could be associated with reduced cancer risk (10).

Certain cancer risk factors can be addressed through clinical preventive services. As of 2017, the U.S. Preventive Services Task Force has recommended that all adults be screened for tobacco use and excessive alcohol use and offered counseling and intervention as needed and recommended the use of low-dose aspirin to prevent colorectal cancer and cardiovascular disease among adults who are considered to be at high risk for cardiovascular disease based on specific criteria (https://www.uspreventiveservicestaskforce.org/Page/Name/recommendations). A higher percentage of residents in nonmetropolitan areas than in metropolitan areas was uninsured (11), potentially limiting access to preventive services covered by insurance. The Advisory Committee on Immunization Practices recommends vaccination against two cancer-causing viruses, HPV (https://www.cdc.gov/vaccines/hcp/acip-recs/vacc-specific/hpv.html) and hepatitis B virus (https://www.cdc.gov/vaccines/hcp/acip-recs/vacc-specific/hepb.html). Data from the 2014 National Immunization Survey among persons aged 13–17 years indicate that vaccination rates for hepatitis B were similar in nonmetropolitan and metropolitan counties but that the vaccination rates for HPV among both boys and girls were lower in nonmetropolitan counties than in metropolitan counties (11).

In addition, disparities could be attributed to differences in adherence to screening guidelines. As of 2017, the U.S. Preventive Services Task Force has recommended population-based screening for colorectal, female breast, and cervical cancers among persons at average risk and for lung cancer in persons at high risk (https://www.uspreventiveservicestaskforce.org/Page/Name/recommendations). Cancer screening is an important aspect of cancer prevention and control because screening can prevent cancer by finding and treating precancerous changes before they progress to cancer, and screening can control cancer by detecting tumors at the earliest stages when they are most treatable. Cervical and colorectal cancer screening tests can detect both precancerous lesions and cancer at an early stage, thus preventing both cancer occurrence and cancer death; breast and lung cancer screening tests can detect cancer at an early stage, thus reducing cancer deaths, although they do not prevent cancer from developing. Data from the 2010 National Health Interview Survey indicated that rates of breast and cervical cancer screening were similar in metropolitan and nonmetropolitan counties but that colorectal cancer screening rates were lower in nonmetropolitan counties (12). Increased use of cancer screening might reduce rates of late-stage cancer; data from this report indicate that, compared with metropolitan counties, nonmetropolitan counties generally had higher rates of and slower decreases in late-stage lung cancer and late-stage colorectal cancer but similar rates of late-stage cervical cancer and lower rates of late-stage breast cancer. The data in this report also indicate that nonmetropolitan counties experienced higher death rates from colorectal and cervical cancer. Higher death rates might reflect lack of access to cancer screening services, follow-up to abnormal tests, quality care for cancer patients, and cancer survival care (4).

Evidence-Based Interventions

An important component of cancer prevention and control is implementation of interventions at both the individual level and the population level (13). Interventions can be implemented to reduce cancer risk factors, particularly tobacco use, secondhand smoke exposure, alcohol use, and excessive exposure to ultraviolet rays from the sun and tanning beds, and to promote protective factors such as vaccination against cancer-related infectious diseases including HPV and hepatitis B virus, getting enough physical activity, and maintaining a healthy weight. Program and policy interventions proven to increase cancer screening and vaccination rates and to prevent tobacco use, excessive alcohol use, obesity, and physical inactivity have been reviewed and evaluated in The Guide to Community Preventive Services (https://www.thecommunityguide.org). The CDC’s National Comprehensive Cancer Control Program brings together diverse partners to plan, implement, and evaluate these interventions in their own communities (https://www.cdc.gov/cancer/ncccp).

CDC also supports the National Breast and Cervical Cancer Early Detection Program, which addresses health disparities among women who are uninsured or underinsured, a common characteristic in rural populations (https://www.cdc.gov/cancer/nbccedp). Although this program has focused on direct screening services, emphasis is shifting toward population-based interventions, similar to those used by the Colorectal Cancer Control Program (https://www.cdc.gov/cancer/crccp). The goal is to work with health care systems, health care payers, health care purchasers, and other partners to implement interventions that address barriers such as providing transportation assistance, having clinics with modified hours, and providing assessment and feedback reports on clinical practice performance. Communities with lower screening rates or higher incidence of and mortality from cancer might particularly benefit from these interventions.

CDC’s National Tobacco Control Program promotes ongoing work to reduce tobacco use through support to state and territorial health departments (https://www.cdc.gov/tobacco/stateandcommunity/tobacco_control_programs/ntcp/index.htm). Compared with urban and metropolitan populations, residents of rural areas have a higher smoking prevalence, start smoking at a younger age, smoke more heavily, use smokeless tobacco at twice the rate, and are more likely to be exposed to secondhand smoke (14). Evidence-based strategies to reduce tobacco-related disparities include increasing the number of persons covered by comprehensive smoke-free laws; increasing the price of tobacco products; reducing exposure to targeted tobacco industry advertising, promotions, and sponsorship; and improving the availability and accessibility of cessation services (14).

Healthy People 2020

Many of the Healthy People 2020 objectives for cancer mortality (all sites, lung, colorectal, cervical, prostate, oral cavity and pharyngeal, and melanoma) were met in metropolitan counties with ≥1 million population; however, only one (prostate cancer) was met in nonmetropolitan rural and urban counties. Regarding objectives for incidence, the objective for colorectal cancer was met in metropolitan counties with <1 million population, and the objective for late-stage breast cancer incidence was met in nonmetropolitan rural and urban counties. Because late-stage incidence rates correspond with overall incidence rates, the lower rate of late-stage breast cancer incidence in nonmetropolitan counties likely reflects a lower baseline breast cancer incidence rather than a difference in late-stage diagnoses. These disparities indicate that not all persons are benefitting equally from initiatives to achieve Healthy People 2020 objectives and that more work is needed to meet these objectives. Furthermore, using an overall rate, which largely reflects the experience of the heavily populated metropolitan counties, might mask underlying disparities by geographic region such as those highlighted in this report.

Limitations

The findings in this report are subject to at least five limitations. First, delays in cancer reporting might result in an underestimation of certain cancers; reporting delays are more common for cancers such as melanoma and prostate cancer that are diagnosed and treated in nonhospital settings such as physicians’ offices. Second, incidence was not classifiable by county classification for all states; therefore, these results might not apply to states excluded from the analyses. Third, differences in rates and trends might be statistically, but not clinically, significant. Fourth, analyses of trends should be carefully interpreted; certain rates might be actually increasing or decreasing even though the trend is not statistically significant. Finally, this report used the most recent data available, through 2013 for incidence data and 2015 for mortality data; caution should be used when comparing incidence and death rates because of the difference in years and population coverage.

Future Directions

This report demonstrates the value of examining cancer incidence and death rates among nonmetropolitan and metropolitan area by cancer type. Examination of county-level patterns within states might be helpful in determining areas with disproportionately high cancer incidence or death rates. Using tools such as State Cancer Profiles (https://statecancerprofiles.cancer.gov) might help identify prevalence of risk factors and use of screening tests that might affect these rates.

Conclusion

Although nonmetropolitan rural counties had a lower incidence of cancer overall, the incidence of certain cancers, including lung cancer, was higher, as was overall cancer mortality. Many cancers are linked to modifiable risk factors, such as tobacco use, and use of cancer screening tests. Evidence-based strategies to improve health-related behaviors, use of vaccinations that prevent infections with cancer-causing viruses, and use of cancer screening tests, particularly among persons who live in nonmetropolitan rural and urban counties, might help achieve Healthy People 2020 objectives to reduce cancer morbidity and mortality.


Corresponding author: S. Jane Henley, National Center for Chronic Disease Prevention and Health Promotion, CDC. E-mail: shenley@cdc.gov; Telephone: 770-488-4157.

1National Center for Chronic Disease Prevention and Health Promotion, CDC; 2National Center for Health Statistics, CDC

References

  1. Moy E, Garcia MC, Bastian B, et al. Leading causes of death in nonmetropolitan and metropolitan areas—United States, 1999–2014. MMWR Surveill Summ 2017;66(No. SS-1):1–8. CrossRef PubMed
  2. Office of Management and Budget, The White House. Revised delineations of metropolitan statistical areas, micropolitan statistical areas, and combined statistical areas, and guidance on uses of the delineations of these areas. Washington, DC: Office of Management and Budget; 2013. https://obamawhitehouse.archives.gov/sites/default/files/omb/bulletins/2013/b-13-01.pdf
  3. Hines FK, Brown DL, Zimmer JM. Social and economic characteristics of the population in metro and nonmetro counties, 1970. Agricultural Economic Report 272. Washington, DC: US Department of Agriculture, Economic Research Service; 1975. https://naldc.nal.usda.gov/catalog/CAT75658025
  4. Garcia MC, Faul M, Massetti G, et al. Reducing potentially excess deaths from the five leading causes of death in the rural United States. MMWR Surveill Summ 2017;66(No. SS-2). CrossRef PubMed
  5. US Department of Health and Human Services. Cancer. Healthy people 2020. Washington, DC: US Department of Health and Human Services; 2017. https://www.healthypeople.gov/2020/topics-objectives/topic/cancer
  6. US Cancer Statistics Working Group. United States cancer statistics: 1999–2013 cancer incidence and mortality data. Atlanta, GA: US Department of Health and Human Services, CDC; 2016. https://www.cdc.gov/cancer/npcr/uscs/index.htm
  7. Singh SD, Henley SJ, Ryerson AB. Summary of notifiable noninfectious conditions and disease outbreaks: surveillance for cancer incidence and mortality—United States, 2011. MMWR Morb Mortal Wkly Rep 2015;62:11–51. CrossRef
  8. World Health Organization. International statistical classification of diseases and related health problems. 10th revision. Geneva, Switzerland: World Health Organization; 1992.
  9. Colditz GA, Wolin KY, Gehlert S. Applying what we know to accelerate cancer prevention. Sci Transl Med 2012;4:127rv4. CrossRef PubMed
  10. Matthews KA, Croft JB, Liu Y, et al. Health-related behaviors by urban-rural county classification—United States, 2013. MMWR Surveill Summ 2017;66(No. SS-5). CrossRef PubMed
  11. National Center for Health Statistics, CDC. Health, United States, 2015: with special feature on racial and ethnic health disparities. Hyattsville, MD: National Center for Health Statistics, CDC; 2016. https://www.cdc.gov/nchs/data/hus/hus15.pdf
  12. Agency for Healthcare Research and Quality. 2014 national healthcare quality and disparities report chartbook on rural health care. AHRQ Pub. No. 15–0007–9-EF. Rockville, MD: Agency for Healthcare Research and Quality; 2015. https://www.ahrq.gov/research/findings/nhqrdr/2014chartbooks/ruralhealth/index.html
  13. Frieden TR, Myers JE, Krauskopf MS, Farley TA. A public health approach to winning the war against cancer. Oncologist 2008;13:1306–13. CrossRef PubMed
  14. CDC. Best practices user guide: health equity in tobacco prevention and control. Atlanta, GA: US Department of Health and Human Services, CDC; 2015. https://www.cdc.gov/tobacco/stateandcommunity/best-practices-health-equity/index.htm
Return to your place in the textTABLE 1. Average annual number and average annual age-adjusted rate*of invasive cancer cases in nonmetropolitan and metropolitan counties, by selected characteristics — United States,§ 2009–2013
  Characteristic   Nonmetropolitan counties   Metropolitan counties
  Rural   Urban   Population <1 million   Population ≥1 million
  No.   Rate   No.   Rate   No.   Rate   No.   Rate
  All sites (total)   27,419   442.4   223,103   455.0   474,503   455.7   786,821   457.3
  Sex
  Male   14,959   496.6   118,289   512.7   244,277   510.6   393,408   511.3
  Female   12,460   399.9   104,814   412.8   230,226   416.5   393,413   420.9
  Age group (yrs)
  <20   191   17.8   1,772   17.3   4,372   17.6   8,116   18.4
  20–44   1,352   114.8   13,095   116.8   32,680   117.2   63,176   115.8
  45–64   9,636   665.5   80,782   680.2   175,389   678.4   303,060   672.1
  65–74   8,350   1788.2   64,814   1855.2   129,874   1840.1   201,855   1845.7
  ≥75   7,890   2146.1   62,641   2218.3   132,187   2249.1   210,615   2297.4
  Race/Ethnicity**
  White   22,907   444.0   192,001   459.4   384,155   464.5   540,902   480.4
  Black   1,600   454.7   14,448   467.2   38,768   473.4   101,766   478.5
  American Indian/Alaska Native   538   490.6   2,766   399.9   2,422   374.9   1,792   315.7
  Asian/Pacific Islander   46   310.4   1,312   314.5   8,972   313.4   32,029   294.1
  Hispanic   330   290.5   6,262   331.2   27,615   354.4   75,637   360.4
  Census region
  Northeast   1,084   468.1   28,923   486.1   81,675   492.1   206,958   491.9
  Midwest   9,338   442.2   66,757   456.4   94,999   460.2   139,844   475.9
  South   14,412   448.6   97,684   457.8   202,444   453.7   258,686   446.1
  West   2,586   402.4   29,740   418.3   95,385   429.3   181,333   425.8
 Cancer site
 Female breast   3,337   108.3   28,584   114.0   66,806   122.2   117,971   126.5
 Late stage   1,197   40.4   9,960   40.9   22,556   42.2   40,359   43.6
 Lung and bronchus   4,589   70.6   35,420   70.0   67,973   64.5   99,652   59.1
 Late stage   3,353   51.5   25,695   50.7   49,491   46.8   71,744   42.3
 Colon and rectum   2,749   43.9   21,526   43.8   41,209   39.6   68,778   40.2
 Late stage   1,508   24.3   11,741   24.0   22,255   21.5   37,248   21.8
 Cervix   190   8.3   1,675   8.3   3,533   7.5   6,632   7.6
 Late stage   100   4.0   864   4.1   1,770   3.6   3,257   3.6
 Prostate   3,600   111.3   28,027   114.1   60,569   120.0   102,964   127.6
  Oral cavity and pharynx   733   11.9   6,059   12.2   12,301   11.6   19,378   10.9
  Esophagus   316   4.8   2,587   5.1   5,209   4.9   7,634   4.4
  Stomach   343   5.4   2,847   5.8   6,368   6.1   12,454   7.3
  Liver and intrahepatic bile duct   369   5.7   3,272   6.4   7,782   7.2   15,132   8.4
  Pancreas   745   11.7   6,008   12.0   12,868   12.2   21,624   12.7
  Larynx   285   4.4   2,200   4.3   3,979   3.7   5,739   3.2
  Melanoma   1,149   19.9   9,298   20.0   22,118   21.9   32,841   19.2
  Corpus uteri and uterus, not otherwise specified   757   23.7   6,537   25.2   14,159   24.9   25,215   26.2
  Ovary   339   11.1   2,835   11.3   6,331   11.5   11,092   11.8
  Urinary bladder   1,240   19.3   10,563   21.1   22,083   21.1   33,897   20.2
  Kidney and renal pelvis   1,009   16.6   8,169   16.8   16,879   16.3   27,173   15.7
  Brain and other nervous system   352   6.4   3,025   6.7   6,644   6.7   11,021   6.5
  Thyroid   567   11.4   5,019   12.0   12,866   13.5   25,265   14.8
  Myeloma   1,091   17.8   8,832   18.3   19,322   18.8   32,933   19.4
  Non-Hodgkin lymphoma   368   5.7   2,974   5.9   6,497   6.2   11,397   6.7
  Leukemia   786   13.3   6,456   13.7   13,644   13.5   22,474   13.4
  Other cancers   2,505   42.9   21,190   45.1   45,361   44.7   75,557   44.8

  * Per 100,000 persons, age-adjusted to the 2000 U.S. standard population.
Counties were identified using the U.S. Department of Agriculture Economic Research Service 2013 vintage rural-urban continuum code, which categorizes nonmetropolitan counties by degree of urbanization and adjacency to a metropolitan area, and metropolitan counties by the population size of their metropolitan area (https://www.ers.usda.gov/data-products/rural-urban-continuum-codes).
§ Cancer incidence data were compiled from cancer registries that meet the data quality criteria for all invasive cancer sites combined, representing approximately 97% of the U.S. population. (Data from Nevada did not meet U.S. Cancer Statistics publication criteria for 2004–2013, and county-level data were not available for Kansas and Minnesota.) Late-stage cancers include those diagnosed at the regional or distant stage, after the cancer has spread.
Rates were significantly different from rates in nonmetropolitan rural areas. (The 95% confidence interval for the rate ratio excluded one.)
** Mutually exclusive racial/ethnic groups are based on information about race/ethnicity that was collected separately and combined for this report. The white, black, American Indian/Alaska Native, and Asian/Pacific Islander race categories are all non-Hispanic. Rates are not presented for those with unknown or other race or unknown ethnicity. Data from Virginia were excluded because the ethnicity for a large percentage was unknown.

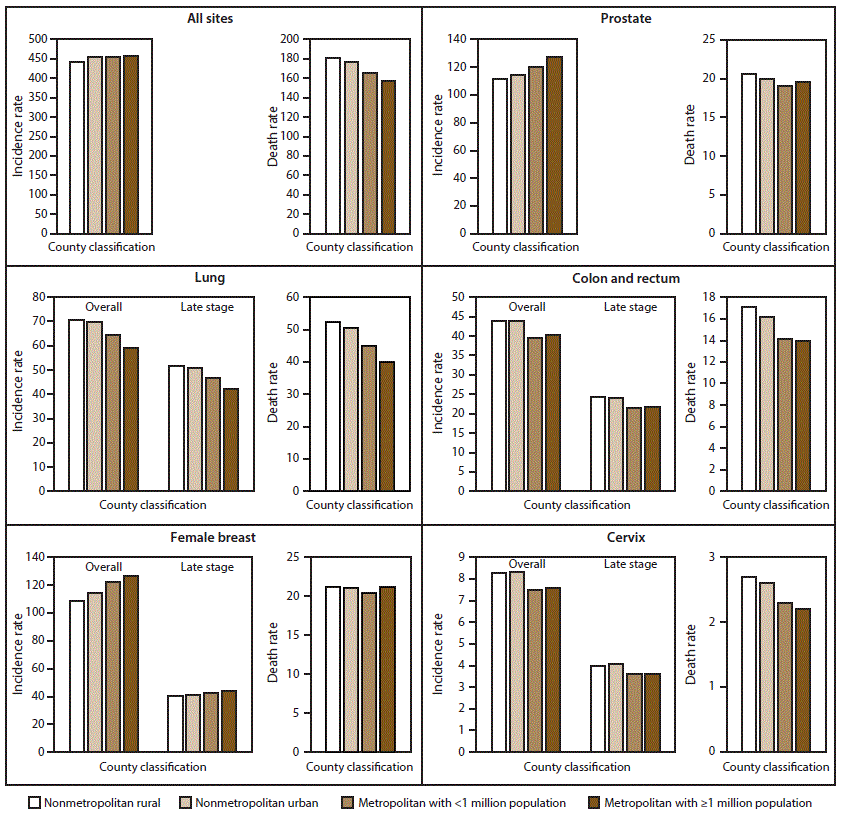
Return to your place in the textFIGURE 1. Average annual age-adjusted rates* of new cases of common cancers (2009–2013) and deaths§ from common cancers (2011–2015) in nonmetropolitan and metropolitan counties — United States

The figure shows 12 bar charts illustrating cancer incidence rates for 2009–2013 and cancer death rates for 2011–2015 in nonmetropolitan rural counties, nonmetropolitan urban counties, metropolitan counties with <1 million population and metropolitan counties with ≥1 million population. Cancer sites include all sites, prostate, lung, colon and rectum, female breast, and cervix.
* Per 100,000 persons, age-adjusted to the 2000 U.S. standard population.

Cancer incidence data compiled from cancer registries that meet the data quality criteria for all invasive cancer sites combined, representing approximately 97% of the U.S. population. (Data from Nevada did not meet U.S. Cancer Statistics publication criteria for 2004–2013, and county-level data were not available for Kansas and Minnesota.) Late-stage cancers include those diagnosed at the regional or distant stage, after the cancer has spread.

§ Cancer mortality data are from the National Vital Statistics System (representing 100% of the U.S. population).

Counties were identified using the U.S. Department of Agriculture Economic Research Service 2013 vintage rural-urban continuum code, which categorizes nonmetropolitan counties by degree of urbanization and adjacency to a metropolitan area, and metropolitan counties by the population size of their metropolitan area (https://www.ers.usda.gov/data-products/rural-urban-continuum-codes).

Return to your place in the textFIGURE 2. Trends* in annual age-adjusted incidence rates among persons of all ages for common cancers in nonmetropolitan and metropolitan counties,§ by year of diagnosis — United States, 2004–2013

The figure shows six line graphs illustrating trends in annual age-adjusted incidence rates for 2004–2013 in nonmetropolitan and metropolitan counties, by year of diagnosis. Cancer sites include all sites, prostate, lung, colon and rectum, female breast, and cervix. Also shown are average annual percentage changes (AAPCs) for nonmetropolitan and metropolitan counties (all sites: nonmetro AAPC = -0.8%, metro AAPC = -1.0%; prostate: nonmetro AAPC = -4.2%, metro AAPC = -3.7%; lung: nonmetro AAPC = -1.2%, metro AAPC = -1.9%, nonmetro late-stage AAPC = -0.9%, metro late-stage AAPC = -1.8%; colorectal: nonmetro AAPC = -2.8%, metro AAPC = -3.3%, nonmetro late-stage AAPC = -1.7%, metro late-stage AAPC = -2.7%; female breast: nonmetro AAPC = 0.1% not significant [NS], metro AAPC = 0.2% [NS], nonmetro late-stage AAPC = -0.7%, metro late-stage AAPC = -0.7%; cervix: nonmetro AAPC = -1.5%, metro AAPC = -1.4%, nonmetro late-stage AAPC = -0.3% [NS], metro late-stage AAPC = -0.7%).
Abbreviations: AAPC = average annual percentage change; NS = not significant.

* Trends were measured with AAPC in annual rates (per 100,000, age-adjusted to the 2000 U.S. standard population) calculated using joinpoint regression, which allowed different slopes for two periods; the year at which slopes changed could vary by county classification. To determine whether AAPC was significantly different from zero, a t-test was used for 0 joinpoints, and a z-test was used for 1 joinpoint. Rates were considered to increase if AAPC >0 (p<0.05) and to decrease if AAPC <0 (p<0.05); otherwise rates were considered stable. All AAPCs were significantly different (p<0.05) from zero unless otherwise indicated (by NS).

Cancer incidence data were compiled from cancer registries that meet the data quality criteria for all invasive cancer sites combined, representing approximately 97% of the U.S. population. (Data from Nevada did not meet U.S. Cancer Statistics publication criteria for 2004–2013, and county-level data were not available for Kansas and Minnesota.) Late-stage cancers include those diagnosed at the regional or distant stage, after the cancer has spread.

§ Nonmetropolitan and metropolitan counties were identified using the U.S. Department of Agriculture Economic Research Service 2013 vintage rural-urban continuum code (https://www.ers.usda.gov/data-products/rural-urban-continuum-codes). AAPCs differed significantly between nonmetropolitan and metropolitan counties for cancers of the lung and colon and rectum but did not differ for cancers of all sites, female breast, prostate, or cervix.

Return to your place in the textTABLE 2. Average annual number and average annual age-adjusted rate*of cancer deaths in nonmetropolitan and metropolitan counties, by selected characteristics — United States,§ 2011–2015
  Characteristic   Nonmetropolitan counties   Metropolitan counties
  Rural   Urban   Population <1 million   Population ≥1 million
  No.   Rate   No.   Rate   No.   Rate   No.   Rate
  All sites (total)   48,194   180.4   61,142   177.2   184,261   165.5   292,767   157.8
  Sex
  Male   26,741   218.3   33,214   214.5   98,208   199.6   149,952   187.9
  Female   21,454   150.7   27,929   149.0   86,052   140.2   142,815   136.9
  Age group (yrs)
  <20   103   2.2   156   2.2   569   2.3   1,077   2.4
  20–44   1,021   19.0   1,402   16.6   4,752   15.2   8,702   14.3
  45–64   12,810   237.0   17,314   226.5   49,944   202.7   80,818   176.3
  65–74   13,741   689.7   16,998   678.2   49,374   622.7   75,031   590.8
  ≥75   20,518   1331.2   25,871   1334.3   79,619   1287.9   127,135   1289.3
  Race/Ethnicity**
  White   42,955   180.9   54,281   178.8   154,391   168.4   212,144   163.5
  Black   3,560   202.9   4,119   209.0   16,400   197.3   43,245   191.2
  American Indian/Alaska Native   731   181.2   660   152.6   887   135.5   665   110.8
  Asian/Pacific Islander   79   85.7   427   111.4   3,274   108.6   11,949   100.7
  Hispanic   774   108.7   1,573   115.4   8,970   116.2   23,869   113.3
  Census region
  Northeast   3,740   175.2   7,468   169.7   29,042   165.1   69,514   157.8
  Midwest   16,352   175.0   20,326   177.2   38,898   171.4   60,419   170.2
  South   23,739   190.9   24,503   188.0   80,333   170.4   95,175   159.1
  West   4,364   153.7   8,845   157.4   35,988   150.9   67,659   146.4
  Cancer site
  Female breast   2,939   21.2   3,879   21.1   12,299   20.3   22,020   21.1
  Lung and bronchus   14,284   52.2   17,705   50.5   50,430   45.0   73,544   39.9
  Colon and rectum   4,535   17.1   5,531   16.1   15,717   14.2   26,050   14.0
  Cervix   310   2.7   396   2.6   1,221   2.3   2,208   2.2
  Prostate   2,343   20.5   2,844   20.0   8,674   19.0   14,157   19.6
  Oral cavity and pharynx   777   3.0   978   2.8   2,892   2.6   4,470   2.3
  Esophagus   1,242   4.6   1,635   4.7   4,859   4.3   7,050   3.7
  Stomach   717   2.8   923   2.7   3,159   2.9   6,427   3.5
  Liver and intrahepatic bile duct   1,580   5.8   2,153   6.1   7,233   6.3   12,849   6.7
  Pancreas   2,970   11.0   3,867   11.1   12,208   10.9   20,390   11.0
  Larynx   332   1.2   418   1.2   1,173   1.0   1,806   1.0
  Melanoma   759   3.0   984   3.0   3,082   2.8   4,372   2.4
  Corpus uteri and uterus, not otherwise specified   615   4.3   841   4.4   2,701   4.4   5,184   4.9
  Ovary   1,040   7.4   1,363   7.3   4,414   7.2   7,411   7.1
  Urinary bladder   1,229   4.6   1,608   4.7   4,896   4.4   7,877   4.3
  Kidney and renal pelvis   1,210   4.6   1,493   4.3   4,487   4.0   6,680   3.6
  Brain and other nervous system   1,158   4.6   1,544   4.7   4,914   4.5   7,860   4.2
  Thyroid   135   0.6   163   0.5   536   0.5   969   0.5
  Myeloma   900   3.3   1,168   3.4   3,741   3.4   6,067   3.3
  Non-Hodgkin lymphoma   1,583   6.0   2,118   6.2   6,410   5.8   10,162   5.6
  Leukemia   1,838   7.1   2,360   7.0   7,375   6.8   11,721   6.5
  Other cancers   5,700   21.5   7,175   20.9   21,840   19.7   33,496   18.1

  * Per 100,000 persons, age-adjusted to the 2000 U.S. standard population.
Counties were identified using the U.S. Department of Agriculture Economic Research Service 2013 vintage rural-urban continuum code, which categorizes nonmetropolitan counties by degree of urbanization and adjacency to a metropolitan area, and metropolitan counties by the population size of their metropolitan area (https://www.ers.usda.gov/data-products/rural-urban-continuum-codes).
§ Data from the National Vital Statistics System.
Rates were significantly different from rates in nonmetropolitan rural areas. (The 95% confidence interval for the rate ratio excluded one.)
** Mutually exclusive racial/ethnic groups are based on information about race/ethnicity that was collected separately and combined for this report. The white, black, American Indian/Alaska Native, and Asian/Pacific Islander race categories are all non-Hispanic. Rates are not presented for those with unknown ethnicity.

Return to your place in the textFIGURE 3. Trends* in annual age-adjusted death rates among persons of all ages for common cancers in nonmetropolitan and metropolitan counties, by year of death — United States, 2006–2015
The figure shows six line graphs illustrating trends in annual age-adjusted death rates for 2006–2015 in nonmetropolitan and metropolitan counties, by year of death. Cancer sites include all sites, prostate, lung, colon and rectum, female breast, and cervix. Also shown are average annual percentage changes (AAPCs) for nonmetropolitan and metropolitan counties (all sites: nonmetro AAPC = -1.0%, metro AAPC = -1.6%; prostate: nonmetro AAPC = -3.2%, metro AAPC = -3.1%; lung: nonmetro AAPC = -1.8%, metro AAPC = -2.8%; colorectal: nonmetro AAPC = -1.6%, metro AAPC = -2.5%; female breast: nonmetro AAPC = -1.0%, metro AAPC = -1.7%; cervix: nonmetro AAPC = -0.5% not significant, metro AAPC = -0.7%).

Source: CDC, National Center for Health Statistics. National Vital Statistics System, mortality data. Atlanta, GA: CDC.

Abbreviations: AAPC = average annual percentage change; NS = not significant.

* Trends were measured with AAPC in annual rates (per 100,000, age-adjusted to the 2000 U.S. standard population) calculated using joinpoint regression, which allowed different slopes for two periods; the year at which slopes changed could vary by county classification. To determine whether AAPC was significantly different from zero, a t-test was used for 0 joinpoints, and a z-test was used for 1 joinpoint. Rates were considered to increase if AAPC >0 (p<0.05) and to decrease if AAPC <0 (p<0.05); otherwise rates were considered stable. All AAPCs were significantly different (p<0.05) from zero unless otherwise indicated (by NS).

Nonmetropolitan and metropolitan counties were identified using the U. S. Department of Agriculture Economic Research Service 2013 vintage rural-urban continuum code (https://www.ers.usda.gov/data-products/rural-urban-continuum-codes). AAPCs differed significantly between nonmetropolitan and metropolitan counties for cancers of all sites, the lung, the colon and rectum, and the female breast but did not differ for cancers of the prostate or cervix.

Suggested citation for this article: Henley SJ, Anderson RN, Thomas CC, Massetti GM, Peaker B, Richardson LC. Invasive Cancer Incidence, 2004–2013, and Deaths, 2006–2015, in Nonmetropolitan and Metropolitan Counties — United States. MMWR Surveill Summ 2017;66(No. SS-14):1–13. DOI: http://dx.doi.org/10.15585/mmwr.ss6614a1.

Use of trade names and commercial sources is for identification only and does not imply endorsement by the U.S. Department of Health and Human Services.
References to non-CDC sites on the Internet are provided as a service to MMWR readers and do not constitute or imply endorsement of these organizations or their programs by CDC or the U.S. Department of Health and Human Services. CDC is not responsible for the content of pages found at these sites. URL addresses listed in MMWR were current as of the date of publication.

All HTML versions of MMWR articles are generated from final proofs through an automated process. This conversion might result in character translation or format errors in the HTML version. Users are referred to the electronic PDF version (https://www.cdc.gov/mmwr) and/or the original MMWR paper copy for printable versions of official text, figures, and tables.

Questions or messages regarding errors in formatting should be addressed to mmwrq@cdc.gov.

TOP
window.CDC.Policy.External.init();