Epilepsy Among Iraq and Afghanistan War Veterans — United States, 2002–2015
Weekly / November 11, 2016 / 65(44);1224–1227
Mary Jo Pugh, PhD1; Anne C. Van Cott, MD2; Megan Amuan, MPH3; Christine Baca, MD4; Paul Rutecki, MD5; Matthew M. Zack, MD6; Rosemarie Kobau, MPH6 (View author affiliations)
View suggested citationSummary
What is already known about this topic?
Although seizure disorders are associated with traumatic brain injury, little information exists regarding comorbidities and mortality in veterans with epilepsy who were deployed in the Iraq and Afghanistan conflicts.
What is added by this report?
U.S. veterans with epilepsy who were deployed in the Iraq and Afghanistan conflicts were more likely than those without epilepsy to have mental and physical comorbidity, and were 2.6 times more likely to die during 2011–2015, even after controlling for demographic characteristics and other conditions associated with death.
What are the implications for public health practice?
Veterans with epilepsy who were deployed in the Iraq and Afghanistan conflicts could benefit from evidence-based chronic disease self-management programs to reduce physical and psychiatric comorbidity, and linkages to U.S. Department of Veteran Affairs clinical health care providers and other community health and social service providers.
The age-adjusted prevalence of seizure disorder in United States veterans deployed in Iraq and Afghanistan conflicts (IAV) is 6.1 per 1,000 persons (1), compared with 7.1 to 10 per 1,000 persons in the general population (2,3). Persons with epilepsy are at risk of excess mortality in part because of comorbidity (4). Although patterns of comorbidity have been associated with mortality in IAV (5), the unique contribution of epilepsy to excess mortality in IAV is unknown. A cohort study was developed using inpatient, outpatient, and pharmacy data from the U.S. Department of Veterans Affairs, Veterans Health Administration (VA) to identify epilepsy, demographic characteristics, and baseline comorbidity for IAV who received VA care in 2010 and 2011. The VA’s vital status records were used to identify 5-year mortality (2011–2015). The unadjusted Kaplan-Meier estimator and adjusted proportional hazards regression models tested the hypothesis that excess mortality is associated with epilepsy. IAV with epilepsy were more likely than those without epilepsy to have mental and physical comorbidity, and significantly higher mortality, even after controlling for demographic characteristics and other comorbid conditions (adjusted hazard ratio = 2.6; 95% confidence interval [CI] 2.1–3.2). IAV with epilepsy could benefit from evidence-based chronic disease self–management programs to reduce physical and psychiatric comorbidity, and linkages to VA clinical and other community health and social service providers.
The cohort study included IAV who received VA care in both 2010 and 2011. Each IAV included in the cohort had one or more inpatient or outpatient visits in both years to ensure that they were active VA users, and that adequate data would be available to identify epilepsy and assess comorbidity. VA national health system data from inpatient, outpatient, and pharmacy records (2002–2011) identified IAV with and without epilepsy, and provided demographic characteristics and comorbidity data. Data from VA vital status records from 2011–2015 were used to identify persons who died and date of death.
IAV with epilepsy were defined as having a diagnosis indicative of epilepsy during 2010–2011 using diagnosis codes (International Classification of Diseases, 9th Revision, Clinical Modification [ICD-9-CM]) and records of prescriptions for seizure medications (1). IAV with one or more diagnoses of epilepsy (ICD-9-CM 345), or two or more diagnoses of seizure not otherwise specified (ICD-9-CM 780.39), and a concomitant prescription for antiseizure medications* in 2011, met the epilepsy criteria for this study. IAV who met epilepsy criteria in 2010, but who did not receive antiseizure medications in 2011 were excluded from the study. The positive predictive value using this algorithm among IAV with epilepsy was 95% in a recent unpublished medical chart abstraction. IAV who did not meet the epilepsy study criteria formed the no epilepsy group.
Baseline demographic data (i.e., age, sex, race/ethnicity, poverty) and comorbidities were compiled from all available data for IAV with epilepsy before meeting epilepsy criteria, and for IAV without epilepsy through 2010. Sixteen comorbid conditions of interest included either those associated with epilepsy in the literature, or those that might have a strong association with mortality. Algorithms to ascertain comorbid conditions in administrative data required one inpatient diagnosis, or two outpatient diagnoses at least 7 days apart (6), except in cases of acute conditions such as traumatic brain injury, suicidality, and overdose in which a single diagnosis sufficed. VA vital status files provided information on the primary study outcome, the occurrence of death, and the date of death. The follow-up period to the study was January 2011–December 2015 (or the date of meeting epilepsy criteria for those who first met epilepsy criteria in 2011), or until the date of death. Complete outcome data were available for this cohort because information for veterans who have received VA care or benefits is documented in the vital status data set regardless of whether they remain in VA care. ( Figure 1)
Chi-square statistics were used to compare IAV with epilepsy to IAV without epilepsy on baseline demographic characteristics, comorbid conditions, and mortality. First, analyses determined that there was no evidence of non-proportional hazards. Cumulative mortality curves were then calculated to determine if 5-year mortality in the epilepsy group differed from that in the no epilepsy group. The unadjusted Kaplan-Meier estimator and proportional hazards regression models adjusted for demographic characteristics and comorbid conditions were used to calculate hazard ratios. Statistically significant differences between groups were identified using a two-tailed significance level (p<0.01).
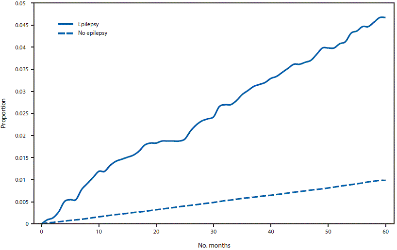
Among 320,583 IAV who received VA care in 2010 and 2011, 2,187 (0.7%) met the epilepsy criteria. IAV with epilepsy were more likely to be white and aged <40 years ( Table). IAV with epilepsy were more likely than those without epilepsy to have each of the examined 16 comorbid conditions (Table). Approximately five times more IAV with epilepsy (4.6% [n = 101]) had died by the end of follow-up than those without epilepsy (1.0% [n = 3,136]) ( Figure 2); unadjusted hazard ratio = 4.8; CI = 3.9–5.9. After controlling for demographic characteristics and comorbid conditions mortality was more likely among IAV with epilepsy than those without (adjusted hazard ratio = 2.6; CI = 2.1–3.2). (Table).
Discussion
This is the first study examining mortality in veterans with epilepsy who were deployed in the Iraq and Afghanistan wars. Because epilepsy typically results in persons being excluded from military service, † epilepsy usually develops in veterans during or after military service, accounting for the lower age-adjusted prevalence of epilepsy in IAV (2,3). However, as with civilians with epilepsy (4,7), IAV with epilepsy had significantly higher mortality, even after controlling for demographic characteristics and comorbidity.
In the general population, mortality in those with epilepsy is higher among persons with psychiatric and physical comorbidity (8), and the most common causes of death include cancer, cardiovascular disease, cerebrovascular disease, and pneumonia (9). Moreover, patients with persistent seizures and diagnoses of symptomatic or cryptogenic epilepsies§ have the largest excess mortality (4). The study data did not include information on the cause of death, the persistence of seizures, or the diagnostic type of seizures; however, cancer, cardiovascular disease, and cerebrovascular disease were more prevalent in IAV with epilepsy, putting them at higher risk for mortality. Even after controlling for these comorbidities, epilepsy was significantly associated with mortality. Consistent with other studies, excess mortality in veterans with epilepsy might be associated with both epilepsy (e.g., poorly controlled seizures, sudden unexpected death in epilepsy) and other individual or environmental factors (e.g., depression, high risk behaviors, and social isolation).
The findings in this report are subject to several limitations. First, veterans who were not treated in VA facilities during the study period were excluded, limiting generalizability to all veterans. Among the nearly 1.9 million IAV, approximately 61% are enrolled in VA health care.¶ Second, the data did not account for epilepsy care received outside the VA, which might underestimate epilepsy-associated burden in the study sample. Third, comparison of epilepsy prevalence between veterans with epilepsy and the general U.S. population should be interpreted with caution because these groups differ demographically, and epilepsy ascertainment criteria differ. Finally, some IAV with psychogenic nonepileptic seizures and diagnosed with epilepsy, or misclassified as having epilepsy, could have been included in the analysis; however, identifying these persons based on administrative data is not possible (1).
Health care providers should strive to ensure that veterans with epilepsy receive appropriate treatment to maximize seizure control. The VA implemented the Epilepsy Centers of Excellence, a hub-and-spoke model of care, to increase access to comprehensive, multidisciplinary epilepsy specialty care in response to the risk for epilepsy in the IAV population with traumatic brain injury. However, a significantly higher prevalence of comorbidities in this population suggests that closer integration of primary care, epilepsy specialty care, and mental health care might be needed to reduce excess mortality. For veterans with epilepsy, public health agencies, including the VA, can implement evidence-based chronic disease self-management programs and supports that target physical and psychiatric comorbidity (10), study long-term outcomes, including cause of death, and ensure linkages to appropriate VA clinical and community health care and social service providers.
Corresponding author: Mary Jo Pugh, pughm@uthscsa.edu, 210-842-3807.
1U.S. Department of Veterans Affairs Epilepsy Centers of Excellence, South Texas Veterans Health Care System and University of Texas Health Science Center at San Antonio, San Antonio, Texas; 2U.S. Department of Veterans Affairs, VA Pittsburgh Health Care System and University of Pittsburgh Department of Neurology, Pittsburgh, Pennsylvania; 3Edith Nourse Rogers Memorial Veterans Hospital, Bedford, Massachusetts; 4 University of Colorado School of Medicine, Aurora, Colorado; 5U.S. Department of Veterans Affairs Epilepsy Centers of Excellence, Middleton Memorial Veterans Hospital, University of Wisconsin, Department of Neurology; 6National Center for Chronic Disease Prevention and Health Promotion, Division of Population Health, Epilepsy Program, CDC.
* Based on results of iterative medical chart abstraction, individuals whose only seizure medication was either gabapentin or pregabalin were included only if they also had an ICD-9-CM 345 diagnosis; this selective inclusion was used in order to minimize false-positive cases because gabapentin and pregabalin are sometimes used for pain management, or for other indications.
† U.S. Department of Defense physical standards preclude enlistment of those under treatment for seizure disorders and require a 5-year period without any seizures or treatment for seizures prior to enlistment per Department of Defense Instruction 6130.4.
§ Epilepsy is considered symptomatic if there is a known cause such as stroke, brain tumor, or head injury, and cryptogenic if the cause of epilepsy is unknown despite conducting tests to identify the cause.
¶ Analysis of VA Health Care Utilization among Operation Enduring Freedom, Operation Iraqi Freedom, and Operation New Dawn Veterans, from 1st quarter of Fiscal Year 2002 through the 2nd quarter of Fiscal Year 2015. http://www.publichealth.va.gov/docs/epidemiology/healthcare-utilization-report-fy2015-qtr2.pdf.
References
- Pugh MJ, Orman JA, Jaramillo CA, et al. The prevalence of epilepsy and association with traumatic brain injury in veterans of the Afghanistan and Iraq wars. J Head Trauma Rehabil 2015;30:29–37. CrossRef PubMed
- Hirtz D, Thurman DJ, Gwinn-Hardy K, Mohamed M, Chaudhuri AR, Zalutsky R. How common are the “common” neurologic disorders? Neurology 2007;68:326–37. CrossRef PubMed
- CDC. Epilepsy in the United States. Atlanta, GA: US Department of Health and Human Services, CDC; 2016. http://www.cdc.gov/epilepsy/basics/fast-facts.htm
- Nevalainen O, Ansakorpi H, Simola M, et al. Epilepsy-related clinical characteristics and mortality: a systematic review and meta-analysis. Neurology 2014;83:1968–77. CrossRef PubMed
- Copeland LA, Finley EP, Bollinger MJ, Amuan ME, Pugh MJV. Comorbidity correlates of death among new veterans of Iraq and Afghanistan deployment. Med Care 2016. Epub June 30, 2016. CrossRef
- Hebert PL, Geiss LS, Tierney EF, Engelgau MM, Yawn BP, McBean AM. Identifying persons with diabetes using Medicare claims data. Am J Med Qual 1999;14:270–7. CrossRef PubMed
- Neligan A, Bell GS, Johnson AL, Goodridge DM, Shorvon SD, Sander JW. The long-term risk of premature mortality in people with epilepsy. Brain 2011;134:388–95. CrossRef PubMed
- Chen Z, Liew D, Kwan P. Excess mortality and hospitalized morbidity in newly treated epilepsy patients. Neurology 2016;87:718–25. CrossRef PubMed
- Keezer MR, Bell GS, Neligan A, Novy J, Sander JW. Cause of death and predictors of mortality in a community-based cohort of people with epilepsy. Neurology 2016;86:704–12. CrossRef PubMed
- Brady TJ, Anderson LA, Kobau R. Chronic disease self-management support: public health perspectives. Front Public Health 2015;2:234. CrossRef PubMed
TABLE. Baseline demographic characteristics and comorbidity for Iraq and Afghanistan war veterans by epilepsy status — Veterans Health Administration, 2002–2011
| Characteristic | Cohort (N=320,583) | |
|---|---|---|
| Epilepsy (n = 2,187) | No epilepsy (n = 318,396) | |
| (%) | (%) | |
| Age group (yrs)* | ||
| 18–29 | (36) | (35) |
| 30–39 | (40) | (32) |
| 40–49 | (18) | (22) |
| 50–59 | (6) | (9) |
| >60+ | (1) | (2) |
| Sex | ||
| Male | (89) | (87) |
| Female | (11) | (13) |
| Race/Ethnicity* | ||
| White | (72) | (66) |
| African American | (14) | (18) |
| Hispanic | (10) | (12) |
| Asian | (2) | (3) |
| Native American/Pacific Islander | (2) | (1) |
| Unknown | (1) | (1) |
| Poverty*† | ||
| Yes | (97) | (84) |
| No | (3) | (15) |
| Unclassified | (0) | (1) |
| Baseline comorbidity* | ||
| Post-traumatic stress disorder | (66) | (37) |
| Depression | (58) | (30) |
| Traumatic brain injury | (48) | (13) |
| Substance use disorder | (33) | (15) |
| Hypertension | (25) | (18) |
| Obesity | (20) | (16) |
| Bipolar disorder | (17) | (5) |
| Suicidality | (12) | (3) |
| Cerebrovascular disease | (9) | (1) |
| Cardiac disease | (6) | (2) |
| Diabetes | (4) | (3) |
| Cancer (non-skin cancer) | (4) | (1) |
| Overdose | (3) | (<1) |
| Liver disease | (2) | (1) |
| Schizophrenia | (2) | (1) |
| Kidney disease | (1) | (<1) |
| 5-year mortality* | (5) | (1) |
*Comparisons were based on chi-square statistics comparing epilepsy and no epilepsy groups with statistically significant differences (p<0.01).
†Poverty is defined using the Means Test variable, a proxy that identifies persons with documented income levels below a poverty threshold based on income, family composition, and geographic location. Individuals below this threshold are not required to pay copayments for care.
FIGURE 1. Cohort ascertainment timeline for Iraq and Afghanistan war veterans, by epilepsy status* — Veterans Health Administration (VA), United States, 2002–2015

* Comorbidity is noted until the date of epilepsy identification.
FIGURE 2. Unadjusted cumulative mortality estimates of Iraq and Afghanistan war veterans during the 60-month follow-up period after initial provider visit, by epilepsy status — Veterans Health Administration, United States, 2011–2015

Suggested citation for this article: Pugh MJ, Van Cott AC, Amuan M, et al. Epilepsy Among Iraq and Afghanistan War Veterans — United States, 2002–2015. MMWR Morb Mortal Wkly Rep 2016;65:1224–1227. DOI: http://dx.doi.org/10.15585/mmwr.mm6544a5.
Use of trade names and commercial sources is for identification only and does not imply endorsement by the U.S. Department of
Health and Human Services.
References to non-CDC sites on the Internet are
provided as a service to MMWR readers and do not constitute or imply
endorsement of these organizations or their programs by CDC or the U.S.
Department of Health and Human Services. CDC is not responsible for the content
of pages found at these sites. URL addresses listed in MMWR were current as of
the date of publication.
All HTML versions of MMWR articles are generated from final proofs through an automated process. This conversion might result in character translation or format errors in the HTML version. Users are referred to the electronic PDF version (https://www.cdc.gov/mmwr) and/or the original MMWR paper copy for printable versions of official text, figures, and tables.
Questions or messages regarding errors in formatting should be addressed to mmwrq@cdc.gov.
- Page last reviewed: August 17, 2017
- Page last updated: August 17, 2017
- Content source:
ShareCompartir