Abortion Surveillance — United States, 2013
Surveillance Summaries / November 25, 2016 / 65(12);1–44
Tara C. Jatlaoui, MD1; Alexander Ewing, MPH1; Michele G. Mandel1; Katharine B. Simmons, MD1; Danielle B. Suchdev, MPH1; Denise J. Jamieson, MD1; Karen Pazol, PhD1 (View author affiliations)
View suggested citationAbstract
Problem/Condition: Since 1969, CDC has conducted abortion surveillance to document the number and characteristics of women obtaining legal induced abortions in the United States.
Period Covered: 2013.
Description of System: Each year, CDC requests abortion data from the central health agencies of 52 reporting areas (the 50 states, the District of Columbia, and New York City). The reporting areas provide this information voluntarily. For 2013, data were received from 49 reporting areas. For trend analysis, abortion data were evaluated from 47 areas that reported data every year during 2004–2013. Census and natality data, respectively, were used to calculate abortion rates (number of abortions per 1,000 women) and ratios (number of abortions per 1,000 live births).
Results: A total of 664,435 abortions were reported to CDC for 2013. Of these abortions, 98.2% were from the 47 reporting areas that provided data every year during 2004–2013. Among these 47 reporting areas, the abortion rate for 2013 was 12.5 abortions per 1,000 women aged 15–44 years, and the abortion ratio was 200 abortions per 1,000 live births. From 2012 to 2013, the total number, rate, and ratio of reported abortions decreased 5%. From 2004 to 2013, the total number, rate, and ratio of reported abortions decreased 20%, 21%, and 17%, respectively. In 2013, all three measures reached their lowest level for the entire period of analysis (2004–2013).
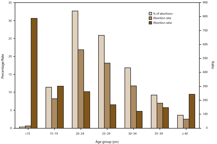
In 2013 and throughout the period of analysis, women in their 20s accounted for the majority of abortions and had the highest abortion rates; women in their 30s and older accounted for a much smaller percentage of abortions and had lower abortion rates. In 2013, women aged 20–24 and 25–29 years accounted for 32.7% and 25.9% of all abortions, respectively, and had abortion rates of 21.8 and 18.2 abortions per 1,000 women aged 20–24 and 25–29 years, respectively. In contrast, women aged 30–34, 35–39, and ≥40 years accounted for 16.8%, 9.2%, and 3.6% of all abortions, respectively, and had abortion rates of 11.8, 7.0, and 2.5 abortions per 1,000 women aged 30–34 years, 35–39 years, and ≥40 years, respectively. During 2004–2013, the decrease in abortion rates among adult women aged 20–39 years ranged from 8% to 27% across these age groups, whereas the abortion rate was stable for women aged ≥40 years.
In 2013, adolescents aged <15 and 15–19 years accounted for 0.3% and 11.4% of all abortions, respectively, and had abortion rates of 0.6 and 8.2 abortions per 1,000 adolescents aged <15 and 15–19 years, respectively. From 2004 to 2013, the percentage of abortions accounted for by adolescents aged 15–19 years decreased 31% and their abortion rate decreased 46%. These decreases were greater than the decreases for women in any older age group.
In contrast to the percentage distribution of abortions and abortion rates by age, abortion ratios in 2013 and throughout the entire period of analysis were highest among adolescents and lowest among women aged 30–39 years. Abortion ratios decreased from 2004 to 2013 for women in all age groups, except for adolescents aged <15 years.
In 2013, the majority (66.0%) of abortions were performed by ≤8 weeks’ gestation, and nearly all (91.6%) were performed by ≤13 weeks’ gestation. Few abortions were performed between 14 and 20 weeks’ gestation (7.1%) or at ≥21 weeks’ gestation (1.3%). From 2004 to 2013, the percentage of all abortions performed at ≤13 weeks’ gestation remained consistently high (≥91.5%) and among those performed at ≤13 weeks’ gestation, the percentage performed at ≤6 weeks’ gestation increased 16%.
In 2013, among the 43 reporting areas that included medical (nonsurgical) abortion on their reporting form, a total of 67.9% of abortions were performed by curettage at ≤13 weeks’ gestation, 22.2% were performed by early medical abortion (a nonsurgical abortion at ≤8 weeks’ gestation), and 8.6% were performed by curettage at >13 weeks’ gestation; all other methods were uncommon. Among abortions performed at ≤8 weeks’ gestation that were eligible for early medical abortion on the basis of gestational age, 32.8% were completed by this method. From 2012 to 2013, the percentage of abortions reported as early medical abortions increased 5%.
Deaths of women associated with complications from abortion for 2013 are being investigated as part of CDC’s Pregnancy Mortality Surveillance System. In 2012, the most recent year for which data were available, four women were identified to have died as a result of complications from known legal induced abortion. No reported deaths were associated with known illegal induced abortion.
Interpretation: Among the 47 areas that reported data every year during 2004–2013, the decreases in the total number, rate, and ratio of reported abortions that occurred during 2009–2012 continued from 2012 to 2013, resulting in historic lows for all three measures of abortion.
Public Health Action: The data in this report can help program planners and policymakers identify groups of women with highest rates of abortion. Unintended pregnancy is the major contributor to abortion. Increasing access to and use of contraception, including the most effective methods, can reduce unintended pregnancies and further reduce the number of abortions performed in the United States.
Introduction
This report summarizes abortion data for 2013 that were provided voluntarily to CDC by the central health agencies of 49 reporting areas (the District of Columbia; New York City; and 47 states, excluding California, Maryland, and New Hampshire). Data were obtained every year during 2004–2013 from 47 reporting areas (excluding California, Louisiana, Maryland, New Hampshire, and West Virginia) and were used for trend analyses. Since 1969, CDC has conducted abortion surveillance to document the number and characteristics of women obtaining legal induced abortions in the United States (1). Following nationwide legalization of abortion in 1973, the total number, rate (number of abortions per 1,000 women aged 15–44 years), and ratio (number of abortions per 1,000 live births) of reported abortions increased rapidly, reaching the highest levels in the 1980s before decreasing at a slow yet steady pace (2–4). However, the incidence of abortion has varied considerably across demographic subpopulations (5–10). Moreover, during 2006–2008, a break occurred in the previously sustained pattern of decrease (11–14), although this break has been followed in all subsequent years by even greater decreases (15–19). Continued surveillance is needed to monitor long-term changes in the incidence of abortion in the United States.
Methods
Description of the Surveillance System
Each year, CDC requests tabulated data from the central health agencies of 52 reporting areas (the 50 states, the District of Columbia, and New York City) to document the number and characteristics of women obtaining legal induced abortions in the United States. For the purpose of surveillance, a legal induced abortion* is defined as an intervention performed within the limits of state law by a licensed clinician (e.g., a physician, nurse-midwife, nurse practitioner, or physician assistant) that is intended to terminate a suspected or known intrauterine pregnancy that is ongoing and produce a nonviable fetus.
In most states, collection of abortion data is facilitated by the legal requirement for hospitals, facilities, and physicians to report all abortions to a central health agency (20). These central health agencies then voluntarily report the abortion data they have collected through their independent surveillance systems and provide only aggregate numbers to CDC (21). Although reporting to CDC is voluntary, most reporting areas provide their aggregate abortion numbers. During 2004–2013, a total of 47 reporting areas provided CDC a continuous annual record of abortion numbers† and in 2013, CDC obtained aggregate abortion numbers from 49 reporting areas (excludes California, Maryland, and New Hampshire).
Although CDC obtains aggregate abortion numbers from most of the central health agencies, the level of detail that it receives on the characteristics of women obtaining abortions varies considerably from year to year and by reporting area. To encourage more uniform collection of these details, CDC has collaborated with the National Association of Public Health Statistics and Information Systems to develop reporting standards and provide technical guidance for vital statistics personnel who collect and summarize abortion data within the United States. However, because the collection and reporting of abortion data are not federally mandated, many reporting areas have developed their own data collection forms and therefore do not collect or provide all the information or level of detail included in this report.
Variables and Categorization of Data
Each year, CDC sends suggested templates to the central health agencies for compilation of abortion data in aggregate. Aggregate abortion numbers, without individual-level records, are requested for the following variables:
-
Maternal age in years (<15, 15–19 by individual year, 20–24, 25–29, 30–34, 35–39, or ≥40)
-
Gestational age in weeks at the time of abortion (≤6, 7–20 by individual week, or ≥21)
-
Race (black, white, or other [including Asian, Pacific Islander, other races, and multiple races])
-
Ethnicity (Hispanic or non-Hispanic)
-
Method type (curettage,§ intrauterine instillation, medical [nonsurgical] abortion, or hysterectomy/hysterotomy)
-
Marital status (married [including currently married or separated] or unmarried [including never married, widowed, or divorced])
-
Number of previous live births (0, 1, 2, 3, or ≥4)
-
Number of previous abortions (0, 1, 2, or ≥3)
-
Maternal residence (the state, reporting area, territory, or foreign country in which the woman obtaining the abortion lived; or, if additional details are unavailable, in-reporting area versus out-of-reporting area)
In addition to sending templates for compiling information on race and ethnicity as separate variables, since 2001 CDC has provided alternative templates for the tabulation of aggregate cross-classified race/ethnicity data. Before 2007, few reporting areas returned these alternative templates; results by these cross-classified race/ethnicity categories (non-Hispanic white, non-Hispanic black, non-Hispanic other, and Hispanic) are thus shown only for 2007–2013.
Finally, both the original and alternative templates provided by CDC request that aggregate numbers for certain variables be cross-tabulated by a second variable. These cross-tabulations include gestational age (separately by maternal age, by method type, by race, by ethnicity, and by race/ethnicity) and maternal age and marital status (separately by race, by ethnicity, and by race/ethnicity).
In this report, medical abortions and abortions performed by curettage are further categorized by gestational age. For medical abortion, early medical abortion is defined as the administration of medication or medications (typically mifepristone followed by misoprostol) to induce an abortion at ≤8 weeks’ gestation¶; medical abortion at >8 weeks’ gestation is defined as the administration of medication or medications (typically vaginal prostaglandins) to induce an abortion at >8 weeks’ gestation. For curettage, abortions are categorized as having been performed at ≤13 weeks’ gestation or at >13 weeks’ gestation because of differences in technique used before and after 13 weeks (23). Finally, because intrauterine instillations cannot be performed early in gestation, abortions reported to have been performed by intrauterine instillation at ≤12 weeks’ gestation are excluded from calculation of the percentage of abortions by known method type.**
Measures of Abortion
Four measures of abortion are presented in this report: 1) the total number of abortions in a given population, 2) the percentage of abortions obtained by women in a given population, 3) the abortion rate (number of abortions per 1,000 women aged 15–44 years or other specific group within a given population), and 4) the abortion ratio (number of abortions per 1,000 live births within a given population). Although total numbers and percentages are useful for determining how many women have obtained an abortion, abortion rates adjust for differences in population size and reflect how likely abortion is among women in particular groups. Abortion ratios measure the relative number of pregnancies in a population that end in abortion compared with live birth. Abortion ratios are influenced both by the proportion of pregnancies in a population that are unintended and the proportion of unintended pregnancies that end in abortion. Abortion ratios also are influenced by the proportion of intended pregnancies that end in abortion; however, intended pregnancies account for a very small percentage of abortions (<5%) (26).
U.S. Census Bureau estimates of the resident female population of the United States, compiled by CDC, were used as the denominator for calculating abortion rates (27–36). Overall abortion rates were calculated from the population of women aged 15–44 years living in the reporting areas that provided data. For adolescents aged <15 years, abortion rates were determined on the basis of the number of adolescents aged 13–14 years; similarly, for women aged ≥40 years, abortion rates were determined on the basis of the number of women aged 40–44 years. For the calculation of abortion ratios, live birth data were obtained from CDC natality files (37) and included births to women of all ages living in the reporting areas that provided abortion data.
Data Presentation and Analysis
This report provides state-specific and overall abortion numbers, rates, and ratios for the 49 areas that reported to CDC for 2013 (excludes California, Maryland, and New Hampshire). In addition, this report describes the characteristics of women who obtained abortions in 2013. Because the completeness of reporting on the characteristics of women varies by year and by variable, this report only describes the characteristics of women obtaining abortions in areas that met reporting standards (i.e., reported at least 20 abortions overall, provided data categorized in accordance with surveillance variables, and had <15% unknown values for a given characteristic). Cells with a value in the range of 1–4 have been suppressed to maintain confidentiality. In addition, abortion rates and ratios have been omitted for groups with <20 abortions because results are considered unstable (38).
Although most of the data are presented by the reporting area in which the abortions were performed, 48 reporting areas in 2013 also provided the number of abortions by maternal residence.†† However, two of these reporting areas (Illinois and Wisconsin) reported certain characteristics for in-state residents but not for out-of-state residents. Three other reporting areas (Iowa, Louisiana, and Massachusetts) provided only the total number of abortions for out-of-state residents without specifying individual states or areas of residence from which these women came. As a result, abortion statistics in this report by area of residence should be interpreted with caution and might underestimate abortions, especially for reporting areas from which many women travel to other states to obtain abortion services.
To evaluate overall trends in the number, rate, and ratio of reported abortions, annual data are presented for the 47 areas that reported every year during 2004–2013. Linear regression analysis was used to assess the overall rate of change among these areas during the entire 10-year period of analysis (2004–2013) and during the first and second halves of the period of analysis (2004–2008 and 2009–2013). The percentage change in abortion measures from the most recent past year (2012 to 2013) and from the beginning to the end of the 10-year period of analysis (2004 to 2013) also were calculated for these same 47 areas.
For the analysis of certain additional variables (i.e., abortions by maternal age and gestational age), annual data are presented for areas that met reporting standards every year during 2004–2013; the percentage change was calculated from the beginning to the end of the 10-year period of analysis (2004 to 2013), from the first and second halves of this period (2004 to 2008 and 2009 to 2013), and from the most recent past year (2012 to 2013). For other variables (i.e., race/ethnicity, method for performing an abortion, marital status, number of previous abortions, and number of previous live births), annual data are not presented; areas were included if they met reporting standards for the years needed for percentage change calculations. To evaluate trends in the use of different methods for performing an abortion, reporting areas were included only if they met reporting standards and if they specifically included medical abortion as a method on their reporting form.
Some of the 49 areas that reported for 2013 are not included in certain trend analyses. As a result, summary measures for comparisons over time might differ slightly from the point estimates presented for all areas that reported for 2013.
Abortion Mortality
CDC has reported data on abortion-related deaths periodically since information on abortion mortality first was included in the 1972 abortion surveillance report (19,39). An abortion-related death is defined as a death resulting from a direct complication of an abortion (legal or illegal), an indirect complication caused by a chain of events initiated by an abortion, or an aggravation of a pre-existing condition by the physiologic or psychologic effects of abortion (40). All deaths determined to be related causally to induced abortion are classified as abortion related regardless of the time between the abortion and death. In addition, any pregnancy-related death in which the pregnancy outcome was induced abortion regardless of the causal relation between the abortion and the death is considered an abortion-related death. An abortion is defined as legal only if it is performed by a licensed clinician within the limits of state law.
Since 1987, CDC has monitored abortion-related deaths through its Pregnancy Mortality Surveillance System (41,42). Sources of data for abortion-related deaths have included state vital records; media reports, including computerized searches of full-text newspaper and other print media databases; and individual case reports by public health agencies, including maternal mortality review committees, health care providers and provider organizations, private citizens, and citizen groups. For each death that possibly is related to abortion, CDC requests clinical records and autopsy reports. Two medical epidemiologists independently review these reports to determine the cause of death and whether the death was abortion related. Discrepancies are discussed and resolved by consensus. Each death is categorized by abortion type as legal induced, illegal induced, spontaneous, or unknown type.
This report provides data from the Pregnancy Mortality Surveillance System on induced abortion-related deaths that occurred in 2012, the most recent year for which data are available. Data on induced abortion-related deaths that occurred during 1972–2011 already have been published (19), and possible abortion-related deaths that occurred during 2013–2016 are under investigation. For 1998–2012, abortion surveillance data reported to CDC cannot be used alone to calculate national case-fatality rates (number of legal induced abortion-related deaths per 100,000 reported legal induced abortions in the United States) because certain states§§ did not report abortion data every year during this period. Thus, national legal induced abortion case-fatality rates were calculated with denominator data from a more complete source on the total number of abortions performed in the United States (15). Because rates determined on the basis of a numerator of <20 deaths are highly variable (38), national legal induced abortion case-fatality rates were calculated for consecutive 5-year periods during 1973–2012.
Results
U.S. Totals
Among the 49 reporting areas that provided data for 2013, a total of 664,435 abortions were reported. Of these abortions, 652,582 (98.2%) were obtained from the 47 reporting areas that provided data every year during 2004–2013.¶¶ These same 47 areas had an abortion rate of 12.5 abortions per 1,000 women aged 15–44 years and an abortion ratio of 200 abortions per 1,000 live births (Table 1). For all three measures of abortion, large decreases resulted in the lowest levels reported during the entire period of analysis. From 2012 to 2013, a 5% decrease occurred in the total number of reported abortions (from 688,149), the abortion rate (from 13.2 abortions per 1,000 women aged 15–44 years), and the abortion ratio (from 210 abortions per 1,000 live births). From 2004 to 2013, among the same 47 areas that reported every year during this period, the total number of reported abortions decreased 20% (from 817,906), the abortion rate decreased 21% (from 15.9 abortions per 1,000 women aged 15–44 years), and the abortion ratio decreased 17% (from 241 abortions per 1,000 live births) (Figure 1). Among these same 47 areas, the annual rate of decrease fitted from the regression analysis was greater during 2009–2013 than during 2004–2008 for all three measures of abortion. During 2009–2013, the number of reported abortions decreased by 32,002 abortions per year, the abortion rate decreased by 0.64 abortions per 1,000 women per year, and the abortion ratio decreased by 7.1 abortions per 1,000 live births per year. In contrast, during 2004–2008, the number of reported abortions increased by 896 abortions per year, the abortion rate decreased by 0.01 abortions per 1,000 women per year, and the abortion ratio decreased by 2.5 abortions per 1,000 live births per year.
Occurrence and Residence
Abortion numbers, rates, and ratios for 2013 have been calculated by reporting area of occurrence and the residence of the women who obtained the abortions (Table 2). By occurrence, a considerable range existed in the abortion rate (from 3.6 abortions per 1,000 women aged 15–44 years in Mississippi to 24.3 abortions per 1,000 women in New York [city and state combined]) and the abortion ratio (from 49 abortions per 1,000 live births in South Dakota to 414 abortions per 1,000 live births in New York [city and state combined]).*** Similarly, a considerable range existed by residence††† in the abortion rate (from 4.7 abortions per 1,000 women aged 15–44 years in South Dakota to 23.6 abortions per 1,000 women aged 15–44 years in New York [city and state combined]) and the abortion ratio (from 60 abortions per 1,000 live births in Utah and South Dakota to 401 abortions per 1,000 live births in New York [city and state combined]). Because of variation that occurred among reporting areas in the percentage of abortions obtained by out-of-state residents (from 0.4% in Hawaii to 57.3% in the District of Columbia), abortion rates and ratios calculated by maternal residence might provide a more accurate reflection of the state-specific distribution of women obtaining abortions. However, because states vary in the level of detail they collect on maternal residence, 11.9% of abortions were reported to CDC without exact information on maternal residence.
Maternal Age
Among the 47 areas that reported by maternal age for 2013, women in their 20s accounted for the majority (58.6%) of abortions and had the highest abortion rates (21.8 and 18.2 abortions per 1,000 women aged 20–24 and 25–29 years, respectively) (Figure 2) (Table 3). Women in the youngest (<15 years) and oldest (≥40 years) age groups accounted for the smallest percentages of abortions (0.3% and 3.6%, respectively) and had the lowest abortion rates (0.6 and 2.5 abortions per 1,000 women aged <15 and ≥40 years, respectively). Among the 42 reporting areas that provided data by maternal age every year during 2004–2013, this pattern across age groups was stable, with the majority of abortions and the highest abortion rates occurring among women aged 20–29 years and the lowest percentages of abortions and abortion rates occurring among women in the youngest and oldest age groups (Table 4). During 2004–2013, abortion rates decreased among all age groups <40 years, although the decreases for adolescents (54% and 46% for adolescents aged <15 and 15–19 years, respectively) were greater than the decreases for women in older age groups (8%–27% for women aged 20–39 years). For all age groups, decreases in the abortion rate were greater from 2009 to 2013 than from 2004 to 2008, and these decreases continued from 2012 to 2013.
In contrast to the percentage of abortion numbers and abortion rates, abortion ratios in 2013 were highest among adolescents aged ≤19 years and lowest among women aged 30–39 years (Figure 2) (Table 3). Among the 42 reporting areas that provided data by maternal age for every year during 2004–2013, abortion ratios decreased among women in all age groups except adolescents aged <15. For all age groups, decreases in the abortion ratio were greater from 2009 to 2013 than from 2004 to 2008, and these decreases continued from 2012 to 2013 (Table 4).
Adolescents
Among the 46 areas that reported maternal age by individual year among adolescents for 2013, adolescents aged 18–19 years accounted for the majority (67.2%) of adolescent abortions and had the highest adolescent abortion rates (11.5 and 15.6 abortions per 1,000 adolescents aged 18 and 19 years, respectively); adolescents aged <15 years accounted for the smallest percentage (2.9%) of adolescent abortions and had the lowest adolescent abortion rate (0.6 abortions per 1,000 adolescents aged 13–14 years) (Table 5). Among the 40 reporting areas that provided data for adolescents by individual year of maternal age every year during 2004–2013, the percentage of abortions accounted for by adolescents aged 19 years increased, whereas the percentage of abortions accounted for by adolescents aged <19 years decreased. Among adolescents of all ages, abortion rates decreased, but the decreases were smaller for adolescents aged 19 years as compared with adolescents <19 years (Table 6). For all age groups, decreases in the abortion rate were greater from 2009 to 2013 than from 2004 to 2008, and these decreases continued from 2012 to 2013.
In 2013, the abortion ratio for adolescents decreased with increasing age and was lowest among adolescents aged 19 years (Table 5). Among the 40 reporting areas that provided data for adolescents by individual year of maternal age for every year during 2004–2013, abortion ratios decreased among adolescents of all ages except for those aged <15 years, for whom the abortion ratio increased slightly (2%) (Table 6).
Gestational Age
Among the 40 areas that reported gestational age at the time of abortion for 2013, the majority (66.0%) of abortions were performed by ≤8 weeks’ gestation and 91.6% were performed at ≤13 weeks’ gestation (Table 7). Few abortions were performed between 14 and 20 weeks’ gestation (7.1%) or at ≥21 weeks’ gestation (1.3%). Among the 30 reporting areas that provided data on gestational age every year during 2004–2013, the percentage of abortions performed at ≤13 weeks’ gestation was stable (Table 8). However, within this gestational age range, a shift occurred toward earlier gestational ages at time of abortion, with the percentage of abortions performed at ≤8 weeks’ gestation increasing 4% and the percentage of abortions performed at 9–13 weeks’ gestation decreasing 10%. For the entire period of analysis, abortions performed at >13 weeks’ gestation accounted for a small percentage of abortions (≤8.5%).
Among abortions performed at ≤13 weeks’ gestation and reported by individual week of gestation for 2013, 37.8% were performed at ≤6 weeks’ gestation (Table 9). Among the remaining abortions performed between 7 and 13 weeks’ gestation, the percentage contribution was progressively smaller for each additional week of gestation: 19.6% were performed at 7 weeks’ gestation and 3.1% were performed at 13 weeks’ gestation. Among the 30 areas that reported by exact week of gestation for abortions performed at ≤13 weeks’ gestation every year during 2004–2013, the percentage of abortions shifted toward earlier gestational ages. Abortions performed at ≤6 weeks’ gestation increased 16% and those performed at 7–12 weeks’ gestation decreased in the range of 3%–16% (Table 10).
Method Type
Among the 43 areas that reported by method type for 2013 and included medical abortion on their reporting form for medical providers, 67.9% of abortions were performed by curettage at ≤13 weeks’ gestation, 22.2% were performed by early medical abortion (a nonsurgical abortion at ≤8 weeks’ gestation), and 8.6% were performed by curettage at >13 weeks’ gestation; all other methods were uncommon (Table 11). Among the 33 reporting areas that included medical abortion on their reporting form and provided these data for the relevant years of comparison (2004 versus 2013, 2004 versus 2008, 2009 versus 2013, and 2012 versus 2013),§§§ use of early medical abortion increased 5% from 2012 to 2013 (from 21.3% of abortions to 22.3%); from 2004 to 2013, use of early medical abortion increased 110% (from 10.6% of abortions to 22.3%). Large increases in medical abortion occurred both from 2004 to 2008 (from 10.6% of abortions to 15.2% [43% increase]) and from 2009 to 2013 (from 17.1% of abortions to 22.3% [30% increase]). In contrast, use of curettage at ≤13 weeks’ gestation decreased 15% from 2004 to 2013 (from 79.7% of abortions to 67.9%). Curettage at >13 weeks’ gestation consistently accounted for approximately 8.0% of all abortions, and all other methods consistently accounted for a small percentage of abortions (<0.1%–1.3%) during 2004–2013.
Race/Ethnicity
Among the 29 areas that reported cross-classified race/ethnicity data for 2013, non-Hispanic white women and non-Hispanic black women accounted for the largest percentages of abortions (37.3% and 35.6%, respectively) and Hispanic women and non-Hispanic women in the other race category accounted for smaller percentages (19.0% and 8.1%, respectively) (Table 12). Non-Hispanic white women had the lowest abortion rate (7.2 abortions per 1,000 women aged 15–44 years) and ratio (121 abortions per 1,000 live births) and non-Hispanic black women had the highest abortion rate (27.0 abortions per 1,000 women aged 15–44 years) and ratio (420 abortions per 1,000 live births). Data for 2013 are also reported separately by race and by ethnicity (Tables 13 and 14).
Among the 20 areas¶¶¶ that reported by race/ethnicity for 2007 (the first year with available data), 2012, and 2013, abortion rates decreased substantially for all three major racial/ethnic groups: for non-Hispanic white women, the abortion rate decreased 26% (from 9.3 abortions per 1,000 women in 2007 to 6.9 in 2013), for non-Hispanic black women it decreased 25% (from 36.8 abortions per 1,000 women in 2007 to 27.5 in 2013), and for Hispanic women it decreased 33% (from 20.8 abortions per 1,000 women in 2007 to 14.0 in 2013). Abortion ratios also decreased from 2007 to 2013. For non-Hispanic white women, the abortion ratio decreased 23% (from 145 abortions per 1,000 live births in 2007 to 112 in 2013), for non-Hispanic black women it decreased 17% (from 514 abortions per 1,000 live births in 2007 to 425 in 2013), and for Hispanic women it decreased 13% (from 209 abortions per 1,000 live births in 2007 to 181 in 2013).
Marital Status
Among the 42 areas that reported by marital status for 2013, 14.8% of all women who obtained an abortion were married and 85.2% were unmarried (Table 15). The abortion ratio was 46 abortions per 1,000 live births for married women and 387 abortions per 1,000 live births for unmarried women. Among the 31 reporting areas**** that provided these data for the relevant years of comparison (2004 versus 2013, 2004 versus 2008, 2009 versus 2013, and 2012 versus 2013), the percentage of abortions among unmarried women increased 3% from 2004 to 2013 (from 82.6% to 85.3%). The increase from 2004 to 2008 (2%) was larger than the increase from 2009 to 2013 (<1%). Among married women, the abortion ratio decreased 22% from 2004 to 2013 (from 58 to 45 abortions per 1,000 live births), with a larger decrease occurring from 2009 to 2013 (15%) than from 2004 to 2008 (5%). Among unmarried women, the abortion ratio decreased 18% from 2004 to 2013 (from 472 to 389 abortions per 1,000 live births), with a larger decrease also occurring from 2009 to 2013 (11%) than from 2004 to 2008 (5%).
Previous Live Births and Abortions
Data from the 41 areas that reported the number of previous live births for women who obtained abortions in 2013 indicate that 40.2%, 45.6%, and 14.1% of these women had zero, one to two, or three or more previous live births, respectively (Table 16). Among the 33 reporting areas†††† that provided these data for the relevant years of comparison (2004 versus 2013, 2004 versus 2008, 2009 versus 2013, and 2012 versus 2013), the percentage of women obtaining abortions who had no previous live births changed by <1% from 2004 to 2013; by contrast, the percentage decreased for women who had one to two previous live births (4%) and increased for women who had three or more previous live births (13%). Among the areas included in this comparison, 39.9%, 47.5%, and 12.6% of women had zero, one to two, or three or more previous live births, respectively, in 2004; 40.1%, 45.7%, and 14.2% of women had zero, one to two, or three or more live births, respectively, in 2013.
Data from the 39 areas that reported the number of previous abortions for women who obtained abortions in 2013 indicate that the majority (55.0%) had no previous abortions, 36.2% had one to two previous abortions, and 8.8% had three or more previous abortions (Table 17). Among the 30 reporting areas§§§§ that provided data for the relevant years of comparison (2004 to 2013, 2004 versus 2008, 2009 versus 2013, and 2012 versus 2013), the percentage of women who had zero or one to two previous abortions did not change appreciably over time: 54.9%, 54.8%, and 54.9% had zero previous abortions in 2004, 2012, and 2013, respectively, and 37.1%, 36.0%, and 36.0% had one to two previous abortions in 2004, 2012, and 2013, respectively. In contrast, among these 30 areas, the percentage of women who had three or more previous abortions increased from 2004 to 2013 but did not change appreciably from 2012 to 2013: 8.0% had three or more previous abortions in 2004, as compared with 9.3% in 2012 and 9.1% in 2013.
Maternal Age and Marital Status by Race/Ethnicity
In certain reporting areas, abortions that were categorized by maternal race and race/ethnicity were further categorized by maternal age and by marital status (Tables 18 and 19). A consistent pattern existed for abortions by maternal age across all race/ethnicity groups, with the smallest percentage of abortions occurring among adolescents aged <15 years (0.2%–0.4%) and the largest percentage occurring among women aged 20–24 years (27.8%–34.1%) (Table 19). A consistent pattern also existed for abortions by marital status across all race/ethnicity groups, with a higher percentage of abortions occurring among women who were unmarried (68.6%–91.7%) than among those who were married (8.3%–31.4%) (Table 19). However, for abortions among unmarried women, the percentage was higher for non-Hispanic black women (91.7%) than for non-Hispanic white (82.8%) or Hispanic women (84.1%) (Table 19).
Weeks of Gestation by Maternal Age, Race/Ethnicity, and Method Type
In certain reporting areas, abortions that were categorized by weeks of gestation were further categorized by maternal age, race, and race/ethnicity (Tables 20 and 21). In every subgroup for these three variables, the largest percentage of abortions was obtained at ≤8 weeks’ gestation. However, by maternal age, 44.9% of adolescents aged <15 years and 57.1% of adolescents aged 15–19 years obtained an abortion by ≤8 weeks’ gestation compared with 63.9%–72.2% of women in older age groups (Figure 3) (Table 20). Conversely 20.6% of adolescents aged <15 years and 11.9% of adolescents aged 15–19 years obtained an abortion after 13 weeks’ gestation compared with 7.1%–8.7% for women in older age groups. By race/ethnicity, 60.3% of non-Hispanic black women obtained an abortion at ≤8 weeks’ gestation compared with 68.7%–71.7% of women from other racial/ethnic groups. Non-Hispanic black women obtained the highest percentage of abortions after 13 weeks’ gestation, but differences across racial/ethnic groups were less apparent than differences across age groups (9.4% for non-Hispanic black women compared with 7.1%–8.0% for women in the remaining race/ethnicity groups).
Among abortions categorized by weeks of gestation and method type, curettage accounted for the largest percentage of abortions within every gestational age category (Table 22). At ≤8 weeks’ gestation, curettage accounted for a smaller percentage of abortions (67.2%) than at any other stage of gestation. At 9–20 weeks’ gestation, curettage accounted for 96.7%–99.1% of all abortions; this percentage then decreased to 90.8% of abortions at ≥21 weeks’ gestation. By contrast, at ≤8 weeks’ gestation early medical abortion accounted for 32.8% of abortions, but at all subsequent points in gestation, medical abortion accounted for only 0.8%–8.2% of reported abortions. Throughout gestation, abortions performed by intrauterine instillation or hysterectomy/hysterotomy were rare (<0.01%–0.8% of abortions).
Abortion Mortality
Using national data from the Pregnancy Mortality Surveillance System (41), CDC identified four abortion-related deaths for 2012 (Table 23). These deaths were identified either by some indication of abortion on the death certificate, by reports from a health care provider or public health agency, or from a media report. Investigation of these cases indicated that all four deaths were related to legal abortion and none to illegal abortion.
The annual number of deaths related to legal induced abortion has fluctuated from year to year over the past 39 years (Table 23). For example, 10 legal induced abortion-related deaths occurred in 1994, four deaths in 1995, and nine deaths in 1996. Because of this variability and the relatively small number of legal induced abortion-related deaths every year, national legal abortion case-fatality rates were calculated for consecutive 5-year periods during 1973–2012. The national legal induced abortion case-fatality rate for 2008–2012 was 0.65 legal induced abortion-related deaths per 100,000 reported legal abortions. This case-fatality rate was similar to the rate for most of the preceding 5-year periods but lower than the case-fatality rate of 2.09 legal induced abortion-related deaths per 100,000 reported legal abortions for the 5-year period (1973–1977) immediately following nationwide legalization of abortion in 1973. Possible abortion-related deaths that occurred during 2013–2016 are under investigation.
Discussion
For 2013, a total of 664,435 abortions were reported to CDC. Of these abortions, 652,582 (98.2%) were from 47 reporting areas that submitted data every year during 2004–2013, thus providing the information necessary for evaluating trends. These 47 areas had an abortion rate of 12.5 abortions per 1,000 women aged 15–44 years and an abortion ratio of 200 abortions per 1,000 live births. Compared with 2012, this represents a 5% decrease in the total number (from 688,149), rate (from 13.2 abortions per 1,000 women), and ratio (from 210 abortions per 1,000 live births) of reported abortions. Combined with decreases from the previous 4 years (16–19), all three measures of abortion reached their lowest level for the entire period of analysis (2004–2013).
In addition to highlighting changes that occurred among all women of reproductive age, this report underscores important maternal age differences in abortion trends. During 2004–2013, abortion rates for women in their 20s were consistently higher than for any other age group and women in their 20s accounted for the majority of abortions (56%–59%); therefore, they have contributed substantially to overall changes. Conversely, during 2004–2013 women aged ≥40 years had consistently low abortion rates and accounted for a small percentage of abortions (≤3.7%); therefore, they have had a much smaller contribution to overall abortion trends. Nonetheless, among women aged ≥40 years, the abortion ratio continues to be as high as that for women in their 20s. Given the small proportion of abortions that are performed later in gestation among women aged ≥40, which potentially might be completed for maternal medical indications or fetal anomalies, the continuing high abortion ratio among these older women suggests that unintended pregnancy is a problem that women encounter throughout their reproductive years.
The adolescent abortion trends described in this report are important for monitoring progress that has been made toward reducing adolescent pregnancies in the United States. During 1991–2011, the pregnancy rate for adolescents aged 15–19 years decreased 55% to an historic low (43). This decrease was associated with a larger decrease in adolescent abortions (64%) as compared with births (49%) (43). More recent data indicate that the birth rate for adolescents aged 15–19 years decreased 29% from 2011 to 2015 (44–48). The 12% decrease from 2012 to 2013 in the abortion rate for adolescents aged 15–19 years suggests that adolescent pregnancies in the United States continue to decrease and that this decrease continues to be accompanied by substantial decreases in adolescent abortions as well as live births.
The findings in this report indicate that the number, rate, and ratio of reported abortions have declined across all race/ethnicity groups, but that well-documented disparities persist (3–10). Comparatively high abortion rates and ratios among non-Hispanic black women have been attributed to higher unintended pregnancy rates and a greater percentage of unintended pregnancies ending in abortion (49,50). Data from certain reports suggest that differences in abortion indicators between non-Hispanic black women and women of other groups narrowed during 1994–2008 (4,9), but have remained steady since 2008 (10). Data reported to CDC for 2013 and in previous years suggest similar declines in abortion rates among non-Hispanic white and black women. Higher abortion rates among Hispanic compared with non-Hispanic white women have been attributed to higher pregnancy rates, including intended and unintended pregnancies, among Hispanic women (49,50). However, abortion ratios for these two groups have been more comparable: Hispanic women have had a slightly higher percentage of pregnancies that are unintended but are no more likely than non-Hispanic white women to end unintended pregnancies in abortion (49,50). Differences between non-Hispanic white and Hispanic women in abortion rates narrowed only slightly from 2007 to 2013, with large declines occurring among both groups of women.
The findings in this report indicate women are obtaining abortions earlier in gestation, when the risks for complications are lowest (51–54). Among the areas that reported data every year during 2004–2013, the percentage of abortions performed at ≤8 weeks’ gestation increased 4%. Moreover, among the areas that reported abortions at ≤13 weeks’ gestation by individual week, the distribution continued to shift toward earlier weeks of gestation with the percentage of early abortions performed at ≤6 weeks’ gestation increasing 16%. Nonetheless, the overall percentage of abortions performed at ≤13 weeks’ gestation changed little during 2004–2013, and findings from this and other reports suggest that delays in obtaining an abortion are more common among certain groups of women (55–57). Because of the small but persistent percentage of women who obtain abortions at >13 weeks’ gestation, a better understanding is needed of the factors that cause delays in obtaining abortions (55,57–60).
The trend of obtaining abortions earlier in pregnancy has been facilitated by changes in abortion practices. Research conducted in the United States during the 1970s indicated that surgical abortion procedures performed at ≤6 weeks’ gestation as compared with 7–12 weeks’ gestation were less likely to result in successful termination of the pregnancy (61). However, subsequent advances in technology (e.g., improved transvaginal ultrasonography and sensitive pregnancy tests) have allowed very early surgical abortions to be performed with completion rates exceeding 97% (54,62–64). Likewise, the development of medical abortion regimens has allowed for abortions to be performed very early in gestation, with completion rates for regimens that combine mifepristone and misoprostol reaching 96%–98% (65). In 2013, 66.0% of all reported abortions were performed at ≤8 completed weeks’ gestation, and thus the women receiving these abortions were eligible for early medical abortion on the basis of gestational age; 32.8% of abortions at ≤8 weeks’ gestation and 22.2% of all abortions were reported as medical abortions. Moreover, the use of early medical abortion has continued to rise: from 2004 to 2013, the percentage of all reported abortions accounted for by this method increased 110%. In early 2016, the Food and Drug Administration (FDA) updated its approval for use of mifepristone for early medical abortions, extending the gestational age limit to 70 days (≤9 completed weeks) on the basis of extensive safety and efficacy data (66). The definition of early medical abortion will change in subsequent years to include this additional week of gestation in accordance with FDA revised labeling.
The annual number of deaths related to legal induced abortion has fluctuated from year to year over the past 39 years. Because of this variability and the relatively small number of abortion-related deaths every year, national legal abortion case-fatality rates were calculated for consecutive 5-year periods during 1973–2012. The national legal induced abortion case-fatality rate for 2008–2012 was similar to the case-fatality rate for most of the preceding 5-year periods, but was much lower than the case-fatality rate for the 5-year period (1973–1978) that immediately followed nationwide legalization of abortion in 1973.
Limitations
The findings in this report are subject to at least four limitations. First, because reporting requirements are established by the individual reporting areas (21), the collection of data varies and CDC is unable to obtain the total number of abortions performed in the United States. During the period covered by this report, the total annual number of abortions reported to CDC was consistently approximately 70% of the number recorded by the Guttmacher Institute (15,67), which uses numerous active follow-up techniques to increase the completeness of the data obtained through its periodic national census of abortion providers (15). Although most reporting areas collect and send abortion data to CDC, this information is submitted to CDC voluntarily. Consequently, during 2004–2013, five of the 52 reporting areas did not provide CDC data on a consistent annual basis, and for 2013 CDC did not obtain any information from California, Maryland, or New Hampshire.¶¶¶¶ In addition, whereas most reporting areas that send abortion data to CDC have laws requiring medical providers to submit a report for every abortion they perform to a central health agency, in New Jersey and the District of Columbia, medical providers submit this information voluntarily (68). As a result, the abortion numbers these areas report to CDC are incomplete.***** Moreover, even in states that legally require medical providers to submit a report for all the abortions they perform, enforcement of this requirement varies and as a consequence several other reporting areas tend to provide CDC with incomplete numbers.†††††
Second, because reporting requirements are established by the individual reporting areas, many states use reporting forms that do not follow the technical standards and guidance CDC developed in collaboration with the National Association of Public Health Statistics and Information Systems. Consequently, many reporting areas do not collect all the information CDC compiles on the characteristics of women obtaining abortions (e.g., maternal age, race, and ethnicity). Although missing demographic information can reduce the extent to which the statistics in this report represent all women in the United States, five nationally representative surveys of women obtaining abortions in 1987, 1994–1995, 2001–2002, 2008, and 2014 (5–8,10) have produced percentage distributions for most characteristics that are nearly identical to the percentage distributions reported by CDC. The exception is the percentage distribution of abortions by race/ethnicity. In particular, the percentage of abortions accounted for by non-Hispanic black women is higher in this report than the percentage determined on the basis of a recent nationally representative survey of women obtaining abortions (10). Differences might be attributable both to the high degree of imprecision for this variable that reduces the reliability of national survey results (8,9) and because the number of states that report to CDC by race/ethnicity continues to be somewhat lower than for other demographic variables. Importantly, some reporting areas that have not reported to CDC, or have not reported cross-classified race/ethnicity data (e.g., California, Florida, and Illinois), have sufficiently large populations of minority women that the absence of data from these areas reduces the representativeness of CDC data.
Similar to the case for race/ethnicity, the absence of medical abortion as a specific category on the reporting form used by some states (68) might reduce the accuracy of CDC’s estimates of the use of this method relative to other abortion methods. Furthermore, even in states with medical abortion on their reporting form, it is possible that this method is disproportionately undercounted. A higher percentage of the abortions provided in physician’s offices and smaller caseload facilities are early medical abortions (14,69), and these practices might be difficult to locate in the wider medical community without active surveillance efforts (69). Nonetheless, a recent comparison of CDC data with mifepristone sales data§§§§§ suggests that CDC’s Abortion Surveillance System accurately describes the use of early medical abortion relative to other abortion methods in the United States (70). In 2013, however, professional clinical practice guidelines were updated midyear to extend the gestational age eligibility for early medical abortion to 70 days (≤9 completed weeks) (66,71). Findings in this report do not reflect this midyear practice change, only classifying abortions as early medical abortions when performed at ≤8 weeks’ gestation.
Third, abortion data are compiled and reported to CDC by the central health agency of the reporting area in which the abortion was performed rather than the reporting area in which the woman lived. Thus, the available population (27–36) and birth data (37), which are organized by the states in which women live, differs in some cases from the population of women who undergo abortions in a given reporting area. This likely results in an overestimation of abortions for reporting areas in which a high percentage of abortions are obtained by out-of-state residents and an underestimation of abortions for states where residents frequently obtain abortions out of state. Limited abortion services, more stringent legal requirements for obtaining an abortion, or geographic proximity to services in another state might influence where women obtain abortion services. To adjust for these reporting biases, CDC attempts to categorize abortions by residence in addition to geographic occurrence. However, in 2013, CDC was unable to identify the reporting area, territory, or country of residence for 11.9% of reported abortions.
Finally, reporting areas provide CDC with aggregate numbers rather than individual-level records. Because CDC does not obtain individual-level records, stratified analyses by socioeconomic status cannot be done.
Public Health Implications
Ongoing surveillance of legal induced abortion is important for several reasons. First, abortion surveillance is needed to guide and evaluate the success of programs aimed at preventing unintended pregnancies. Although pregnancy intentions are difficult to assess (72–79), abortion surveillance provides an important measure of pregnancies that are unwanted. Second, routine abortion surveillance is needed to assess trends in clinical practice patterns over time. Information in this report on the number of abortions performed through different methods (e.g., medical or curettage) and at different gestational ages provides the denominator data that are necessary for analyses of the relative safety of abortion practices. Finally, information on the number of pregnancies ending in abortion are needed in conjunction with data on births and fetal losses to more accurately estimate the number of pregnancies in the United States and determine rates for various outcomes of public health importance (e.g., adolescent pregnancies) (43,80).
According to the most recent national estimates from 2010, 18% of all pregnancies in the United States end in abortion (81). Multiple factors influence the incidence of abortion. These factors include access to health care services, including contraception (82–84); the availability of abortion providers (14,15,85–87); state regulations, such as mandatory waiting periods (88), parental involvement laws (89), and legal restrictions on abortion providers (90,91); increasing acceptance of nonmarital childbearing (92,93); shifts in the racial/ethnic composition of the U.S. population (94,95); and changes in the economy and the resulting impact on fertility preferences and use of contraception (96,97). However, because unintended pregnancy precedes nearly all abortions (26),¶¶¶¶¶ efforts to reduce the incidence of abortion need to focus on helping women, men, and couples avoid pregnancies that they do not desire.
Providing women and men with the knowledge and resources necessary to make decisions about their sexual behavior and use of contraception can help them avoid unintended pregnancies. Recent data indicate that the proportion of pregnancies in the United States that were unintended decreased from 51% in 2008 to 45% during 2011–2013, after slight increases from 2001 to 2008 (98). One factor that might have contributed to this decrease is the increase that occurred during the same period in the use of the most effective forms of reversible contraception, specifically intrauterine devices and hormonal implants, which are as effective as sterilization at preventing unintended pregnancy (99,100–102). Although use of intrauterine devices and implants has increased in recent years, use of these methods remains low in comparison with use of oral contraceptives and condoms, both of which are less effective at preventing pregnancy (99,101). Research has indicated that providing contraception for women at no cost can increase use of these methods and reduce abortion rates (82–84). Cost, as well as insufficient provider reimbursement and training, inadequate client-centered counseling or youth friendly services, and low client awareness of available contraceptive methods, are common barriers to accessing contraception (103). Removing these barriers can help improve contraceptive use, thereby reducing the number of unintended pregnancies (103,104) and consequently the number of abortions performed in the United States.
Corresponding author: Division of Reproductive Health, National Center for Chronic Disease Prevention and Health Promotion, CDC, Atlanta, GA. E-mail: cdcinfo@cdc.gov.
1Division of Reproductive Health, National Center for Chronic Disease Prevention and Health Promotion, CDC
* Hereafter, all abortions in this report are considered to be legally induced unless stated to be illegally induced.
† Data were not reported for ≥1 year by California (2004–2013), Louisiana (2005), Maryland (2007–2013), New Hampshire (2004–2013), and West Virginia (2004).
§ Includes aspiration curettage, suction curettage, manual vacuum aspiration, menstrual extraction, sharp curettage, and dilation and evacuation procedures.
¶ CDC collects information only on the estimated number of weeks (not days) of gestation and acknowledges the conventional use of completed weeks of gestation to describe pregnancy duration. CDC’s category ≤8 weeks’ gestation thus includes abortions up through 8 weeks and 6 days, which closely corresponds to the gestational age limit of 63 days for the early medical abortion protocol that was endorsed by the American College of Obstetricians and Gynecologists for the year encompassed by this surveillance report (22).
** The cutoff of ≤12 weeks has been selected on the basis of the implausibility of this procedure being performed at earlier gestational ages and on the basis of early research assessing the safety of intrauterine instillations starting at 13 weeks’ gestation (24,25).
†† Excludes four reporting areas that did not report or did not report by maternal residence (California, Florida, Maryland, and New Hampshire).
§§ States that did not report for ≥1 year since 1998 include Alaska (1998–2000), California (1998–2012), Louisiana (2005), Maryland (2007–2012), New Hampshire (1998–2012), Oklahoma (1998–1999), and West Virginia (2004–2005).
¶¶ Excludes California, Louisiana, Maryland, New Hampshire, and West Virginia.
*** Comparisons do not include Wyoming, which reported <20 abortions.
††† Comparisons by residence status do not include California, Florida, Maryland, or New Hampshire. Because these areas either did not report or did not report abortions by maternal residence, numbers are available only from other states where their residents obtained abortions. As a consequence, meaningful statistics cannot be reported.
§§§ Excludes Alabama, California, Delaware, District of Columbia, Florida, Georgia, Hawaii, Illinois, Kentucky, Louisiana, Maine, Maryland, Nevada, New Hampshire, Tennessee, Vermont, West Virginia, Wisconsin, and Wyoming.
¶¶¶ Excludes Alaska, Arizona, California, Connecticut, Delaware, District of Columbia, Florida, Georgia, Hawaii, Illinois, Iowa, Kentucky, Louisiana, Maine, Maryland, Massachusetts, Michigan, Nebraska, Nevada, New Hampshire, New Mexico, New York State, North Carolina, North Dakota, Oklahoma, Pennsylvania, Rhode Island, South Carolina, Vermont, Washington, Wisconsin, and Wyoming.
**** Excludes Arkansas, California, Connecticut, District of Columbia, Florida, Georgia, Louisiana, Maine, Maryland, Massachusetts, Montana, Nebraska, Nevada, New Hampshire, New York State, Rhode Island, South Dakota, Vermont, Washington, West Virginia, and Wyoming.
†††† Excludes California, Connecticut, Delaware, District of Columbia, Florida, Georgia, Illinois, Kentucky, Maryland, Massachusetts, Maine, New Hampshire, New Mexico, New York State, Rhode Island, Vermont, West Virginia, Wisconsin, and Wyoming.
§§§§ Excludes California, Connecticut, Delaware, District of Columbia, Florida, Georgia, Hawaii, Illinois, Louisiana, Maine, Maryland, Massachusetts, Nebraska, New Hampshire, New Mexico, New York State, North Carolina, Ohio, Vermont, West Virginia, Wisconsin and Wyoming.
¶¶¶¶ In 2011, the most recent year for which the Guttmacher Institute has published data, abortions performed in California, Maryland, and New Hampshire accounted for 21% of all abortions counted through the Guttmacher Institute’s national census of abortion providers (15).
***** In 2011, the abortion numbers that CDC obtained from the District of Columbia and New Jersey were 58% and 57%, respectively, of the abortion numbers that the Guttmacher Institute obtained for these areas through their national census of abortion providers (15).
††††† In 2011, the abortion numbers CDC obtained for Wyoming were <5% of the numbers obtained for this state by the Guttmacher Institute through their national census of abortion providers. CDC numbers for Hawaii were 48% of the Guttmacher Institute numbers. CDC numbers for Alaska, Arizona, Colorado, Connecticut, Delaware, Idaho, Iowa, Louisiana, Maine, Massachusetts, Michigan, Nevada, New Mexico, New York (city and state combined), Ohio, Oregon, and West Virginia were 65%–<90% of the Guttmacher Institute numbers. All other areas with legal reporting requirements that provided data to CDC obtained numbers that were at least 90% of the Guttmacher Institute numbers (15).
§§§§§ Because the sole distributor of mifepristone in the United States only sells this medication to licensed physicians, who must sign and return a prescriber’s agreement, sales data from this company are not limited by individual state reporting requirements or the difficulties of identifying smaller providers within the wider medical community.
¶¶¶¶¶ Recent estimates suggest that intended pregnancies account for <5% of all abortions (26), including those which presumably are performed for maternal medical indications and fetal abnormalities.
References
- Smith JC. Abortion surveillance report, hospital abortions, annual summary 1969. Atlanta, GA: US Department of Health, Education, and Welfare, Public Health Service, Health Services and Mental Health Administration, National Communicable Disease Center; 1970.
- Gamble SB, Strauss LT, Parker WY, Cook DA, Zane SB, Hamdan S. Abortion surveillance—United States, 2005. MMWR Surveill Summ 2008;57(No. SS-13). PubMed
- Henshaw SK, Kost K. Trends in the characteristics of women obtaining abortions, 1974 to 2004. New York, NY: Guttmacher Institute. 2008. https://www.guttmacher.org/pubs/2008/09/23/TrendsWomenAbortions-wTables.pdf
- Jones RK, Kost K, Singh S, Henshaw SK, Finer LB. Trends in abortion in the United States. Clin Obstet Gynecol 2009;52:119–29. CrossRef PubMed
- Henshaw SK, Kost K. Abortion patients in 1994–1995: characteristics and contraceptive use. Fam Plann Perspect 1996;28:140–7, 158. CrossRef PubMed
- Henshaw SK, Silverman J. The characteristics and prior contraceptive use of U.S. abortion patients. Fam Plann Perspect 1988;20:158–68. CrossRef PubMed
- Jones RK, Darroch JE, Henshaw SK. Patterns in the socioeconomic characteristics of women obtaining abortions in 2000–2001. Perspect Sex Reprod Health 2002;34:226–35. CrossRef PubMed
- Jones RK, Finer LB, Singh S. Characteristics of U.S. abortion patients, 2008. New York: Guttmacher Institute; 2010. https://www.guttmacher.org/pubs/US-Abortion-Patients.pdf
- Jones RK, Kavanaugh ML. Changes in abortion rates between 2000 and 2008 and lifetime incidence of abortion. Obstet Gynecol 2011;117:1358–66. CrossRef PubMed
- Jerman J, Jones RK, Onda T. Characteristics of U.S. abortion patients in 2014 and changes since 2008. New York: Guttmacher Institute; 2016. https://www.guttmacher.org/sites/default/files/report_pdf/characteristics-us-abortion-patients-2014.pdf
- Pazol K, Gamble SB, Parker WY, Cook DA, Zane SB, Hamdan S. Abortion surveillance—United States, 2006. MMWR Surveill Summ 2009;58(No. SS-8). PubMed
- Pazol K, Zane S, Parker WY, et al. Abortion surveillance—United States, 2007. MMWR Surveill Summ 2011;60(No. SS-1). PubMed
- Pazol K, Zane SB, Parker WY, Hall LR, Berg C, Cook DA. Abortion surveillance—United States, 2008. MMWR Surveill Summ 2011;60(No. SS-15). PubMed
- Jones RK, Kooistra K. Abortion incidence and access to services in the United States, 2008. Perspect Sex Reprod Health 2011;43:41–50. CrossRef PubMed
- Jones RK, Jerman J. Abortion incidence and service availability in the United States, 2011. Perspect Sex Reprod Health 2014;46:3–14. CrossRef PubMed
- Pazol K, Creanga AA, Zane SB, Burley KD, Jamieson DJ. Abortion surveillance—United States, 2009. MMWR Surveill Summ 2012;61(No. SS-8). PubMed
- Pazol K, Creanga AA, Burley KD, Hayes B, Jamieson DJ. Abortion surveillance—United States, 2010. MMWR Surveill Summ 2013;62(No. SS-8). PubMed
- Pazol K, Creanga AA, Burley KD, Jamieson DJ. Abortion surveillance—United States, 2011. MMWR Surveill Summ 2014;63(No. SS-11). PubMed
- Pazol K, Creanga AA, Jamieson DJ. Abortion Surveillance—United States, 2012. MMWR Surveill Summ 2015;64(No. SS-10). CrossRef PubMed
- Guttmacher Institute. State laws and policies: abortion reporting requirements. 2016. https://www.guttmacher.org/sites/default/files/state_policy_overview_files/spib_arr.pdf
- Saul R. Abortion reporting in the United States: an examination of the federal-state partnership. Fam Plann Perspect 1998;30:244–7. CrossRef PubMed
- ACOG. ACOG practice bulletin. Clinical management guidelines of obstetrician-gynecologists. Number 67, October 2005. Medical management of abortion. Obstet Gynecol 2005;106:871–82. PubMed
- Paul M, Lichtenberg ES, Borgatta L, Grimes DA, Stubblefield PG, Creinin MD. Management of unintended and abnormal pregnancy: comprehensive abortion care. Oxford: Blackwell Publishing Ltd.; 2009.
- Grimes DA, Schultz KF, Cates W , Tyler CW. The Joint Program for the Study of Abortion/CDC: A preliminary report. In: Hern WM, Andrikopoulos B, eds. Abortion in the Seventies: Proceedings of the Western Regional Conference on Abortion; Denver, CO: February 27–19, 1976. New York, NY: National Abortion Federation; 1977:41–54.
- Grimes DA, Schulz KF, Cates W , Tyler CW . Mid-trimester abortion by dilatation and evacuation: a safe and practical alternative. N Engl J Med 1977;296:1141–5. CrossRef PubMed
- Kost K. Unintended pregnancy rates at the state level: estimates for 2010 and trends since 2002. New York: Guttmacher Institute; 2015. https://www.guttmacher.org/pubs/StateUP10.pdf
- CDC. Vintage 2013 bridged-race postcensal population estimates [File pcen_v2013_y13.sasbdat]. Hyattsville, MD: National Center for Health Statistics. http://www.cdc.gov/nchs/nvss/bridged_race/data_documentation.htm#vintage2013
- CDC. Vintage 2012 bridged-race postcensal population estimates [File pcen_v2012_y12.sasbdat]. Hyattsville, MD: National Center for Health Statistics. http://www.cdc.gov/nchs/nvss/bridged_race/data_documentation.htm#vintage2012
- CDC. Vintage 2011 bridged-race postcensal population estimates [File pcen_v2011_y11.sasbdat]. Hyattsville, MD: National Center for Health Statistics. http://www.cdc.gov/nchs/nvss/bridged_race/data_documentation.htm#vintage2011
- CDC. Bridged-race population estimates, April 1, 2010 [File census_0403_2010.sas7bdat.zip]. Hyattsville, MD: National Center for Health Statistics. http://www.cdc.gov/nchs/nvss/bridged_race/data_documentation.htm#april2010
- CDC. July 1, 2000–July 2009 revised bridged-race intercensal population estimates [File icen_2000_09_y09.sas.zip]. Hyattsville, MD: National Center for Health Statistics. http://www.cdc.gov/nchs/nvss/bridged_race/data_documentation.htm#july2009
- CDC. July 1, 2000–July 2009 revised bridged-race intercensal population estimates [File icen_2000_09_y08.sas.zip]. Hyattsville, MD: National Center for Health Statistics. http://www.cdc.gov/nchs/nvss/bridged_race/data_documentation.htm#july2009
- CDC. July 1, 2000–July 2009 Revised bridged-race intercensal population estimates [File icen_2000_09_y07.sas.zip]. Hyattsville, MD: National Center for Health Statistics. http://www.cdc.gov/nchs/nvss/bridged_race/data_documentation.htm#july2009
- CDC. July 1, 2000–July 2009 revised bridged-race intercensal population estimates [File icen_2000_09_y06sas.zip]. Hyattsville, MD: National Center for Health Statistics. http://www.cdc.gov/nchs/nvss/bridged_race/data_documentation.htm#july2009
- CDC. July 1, 2000–July 2009 revised bridged-race intercensal population estimates [File icen_2000_09_y05sas.zip]. Hyattsville, MD: National Center for Health Statistics. http://www.cdc.gov/nchs/nvss/bridged_race/data_documentation.htm#july2009
- CDC. July 1, 2000–July 2009 revised bridged-race intercensal population estimates [File icen_2000_09_y04sas.zip]. Hyattsville, MD: National Center for Health Statistics. http://www.cdc.gov/nchs/nvss/bridged_race/data_documentation.htm#july2009
- CDC. VitalStats—births, birth data files. Hyattsville, MD: National Center for Health Statistics. http://www.cdc.gov/nchs/data_access/vitalstats/VitalStats_Births.htm
- Hoyert DL. Maternal mortality and related concepts. Vital Health Stat 3 2007;(33):1–13. PubMed
- CDC. Abortion surveillance, 1972. Atlanta, GA: US Department of Health, Education, and Welfare, Public Health Service, CDC; 1974.
- CDC. Abortion surveillance, 1977. Atlanta, GA: US Department of Health, Education, and Welfare, Public Health Service, CDC; 1979.
- CDC. Pregnancy mortality surveillance in the United States. 2015. http://www.cdc.gov/reproductivehealth/MaternalInfantHealth/Pregnancy-relatedMortality.htm
- Zane S, Creanga AA, Berg CJ, et al. Abortion-Related Mortality in the United States: 1998–2010. Obstet Gynecol 2015;126:258–65. CrossRef PubMed
- Kost K, Maddow-Zimet IUS. Teenage pregnancies, births and abortions, 2011: national and state trends by age, race and ethnicity. New York, NY: Guttmacher Institute; 2016. https://www.guttmacher.org/report/us-teen-pregnancy-state-trends-2011
- Martin JA, Hamilton BE, Ventura SJ, Osterman MJK, Mathews TJ. Births: final data for 2011. Natl Vital Stat Rep 2013;62:1–69, 72. PubMed
- Martin JA, Hamilton BE, Osterman MJK, Curtin SC, Matthews TJ. Births: final data for 2012. Natl Vital Stat Rep 2013;62:1–68. PubMed
- Martin JA, Hamilton BE, Osterman MJK, Curtin SC, Matthews TJ. Births: final data for 2013. Natl Vital Stat Rep 2015;64:1–65. PubMed
- Hamilton BE, Martin JA, Osterman MJK, Curtin SC, Matthews TJ. Births: Final Data for 2014. Natl Vital Stat Rep 2015;64:1–64. PubMed
- Hamilton BE, Martin JA, Osterman MJK. Births: Preliminary Data for 2015. Natl Vital Stat Rep 2016;65:1–15. PubMed
- Finer LB, Henshaw SK. Disparities in rates of unintended pregnancy in the United States, 1994 and 2001. Perspect Sex Reprod Health 2006;38:90–6. CrossRef PubMed
- Finer LB, Zolna MR. Shifts in intended and unintended pregnancies in the United States, 2001–2008. Am J Public Health 2014;104(Suppl 1):S43–8. CrossRef PubMed
- Bartlett LA, Berg CJ, Shulman HB, et al. Risk factors for legal induced abortion-related mortality in the United States. Obstet Gynecol 2004;103:729–37. CrossRef PubMed
- Buehler JW, Schulz KF, Grimes DA, Hogue CJ. The risk of serious complications from induced abortion: do personal characteristics make a difference? Am J Obstet Gynecol 1985;153:14–20. CrossRef PubMed
- Ferris LE, McMain-Klein M, Colodny N, Fellows GF, Lamont J. Factors associated with immediate abortion complications. CMAJ 1996;154:1677–85. PubMed
- Lichtenberg ES, Paul M; Society of Family Planning. Surgical abortion prior to 7 weeks of gestation. Contraception 2013;88:7–17. CrossRef PubMed
- Foster DG, Kimport K. Who seeks abortions at or after 20 weeks? Perspect Sex Reprod Health 2013;45:210–8. CrossRef PubMed
- Jones RK, Finer LB. Who has second-trimester abortions in the United States? Contraception 2012;85:544–51. CrossRef PubMed
- Kiley JW, Yee LM, Niemi CM, Feinglass JM, Simon MA. Delays in request for pregnancy termination: comparison of patients in the first and second trimesters. Contraception 2010;81:446–51. CrossRef PubMed
- Drey EA, Foster DG, Jackson RA, Lee SJ, Cardenas LH, Darney PD. Risk factors associated with presenting for abortion in the second trimester. Obstet Gynecol 2006;107:128–35. CrossRef PubMed
- Finer LB, Frohwirth LF, Dauphinee LA, Singh S, Moore AM. Timing of steps and reasons for delays in obtaining abortions in the United States. Contraception 2006;74:334–44. CrossRef PubMed
- Joyce T, Kaestner R. The impact of Mississippi’s mandatory delay law on the timing of abortion. Fam Plann Perspect 2000;32:4–13. CrossRef PubMed
- Kaunitz AM, Rovira EZ, Grimes DA, Schulz KF. Abortions that fail. Obstet Gynecol 1985;66:533–7. PubMed
- Creinin MD, Edwards J. Early abortion: surgical and medical options. Curr Probl Obstet Gynecol Fertil 1997;20:6–32.
- Edwards J, Carson SA. New technologies permit safe abortion at less than six weeks’ gestation and provide timely detection of ectopic gestation. Am J Obstet Gynecol 1997;176:1101–6. CrossRef PubMed
- Paul ME, Mitchell CM, Rogers AJ, Fox MC, Lackie EG. Early surgical abortion: efficacy and safety. Am J Obstet Gynecol 2002;187:407–11. CrossRef PubMed
- Paul M, Stewart FH. Abortion. In: Hatcher RA, Trussell J, Nelson AL, Cates Jr. W, Stewart F, Kowal D, eds. Contraceptive technology. 19th rev. ed. New York: Ardent Media, Inc.; 2008:637–72.
- Food and Drug Administration. Mifeprex (Mifepristone) information. http://www.fda.gov/Drugs/DrugSafety/PostmarketDrugSafetyInformationforPatientsandProviders/ucm111323.htm
- Guttmacher Institute. State data center, trend data, abortions by state of occurrence. https://www.guttmacher.org/datacenter/trend.jsp#
- Guttmacher Institute. State policies in brief: abortion reporting requirements. 2015. https://www.guttmacher.org/statecenter/spibs/spib_ARR.pdf
- Yunzal-Butler C, Sackoff J, Li W. Medication abortions among New York City residents, 2001–2008. Perspect Sex Reprod Health 2011;43:218–23. CrossRef PubMed
- Pazol K, Creanga AA, Zane SB. Trends in use of medical abortion in the United States: reanalysis of surveillance data from the Centers for Disease Control and Prevention, 2001–2008. Contraception 2012;86:746–51. CrossRef PubMed
- National Abortion Federation. 2013 clinical policy guidelines. https://www.prochoice.org/pubs_research/publications/documents/2013NAFCPGsforweb.pdf
- Br&udblacckner H, Martin A, Bearman PS. Ambivalence and pregnancy: adolescents’ attitudes, contraceptive use and pregnancy. Perspect Sex Reprod Health 2004;36:248–57. CrossRef PubMed
- Dott M, Rasmussen SA, Hogue CJ, Reefhuis J; National Birth Defects Prevention Study. Association between pregnancy intention and reproductive-health related behaviors before and after pregnancy recognition, National Birth Defects Prevention Study, 1997–2002. Matern Child Health J 2010;14:373–81. CrossRef PubMed
- Klerman LV. The intendedness of pregnancy: a concept in transition. Matern Child Health J 2000;4:155–62. CrossRef PubMed
- Lifflander A, Gaydos LM, Hogue CJ. Circumstances of pregnancy: low income women in Georgia describe the difference between planned and unplanned pregnancies. Matern Child Health J 2007;11:81–9. CrossRef PubMed
- Sable MR, Wilkinson DS. Pregnancy intentions, pregnancy attitudes, and the use of prenatal care in Missouri. Matern Child Health J 1998;2:155–65. CrossRef PubMed
- Santelli J, Rochat R, Hatfield-Timajchy K, et al. ; Unintended Pregnancy Working Group. The measurement and meaning of unintended pregnancy. Perspect Sex Reprod Health 2003;35:94–101. CrossRef PubMed
- Santelli JS, Lindberg LD, Orr MG, Finer LB, Speizer I. Toward a multidimensional measure of pregnancy intentions: evidence from the United States. Stud Fam Plann 2009;40:87–100. CrossRef PubMed
- Trussell J, Vaughan B, Stanford J. Are all contraceptive failures unintended pregnancies? Evidence from the 1995 National Survey of Family Growth. Fam Plann Perspect 1999;31:246–7, 260. CrossRef PubMed
- Ventura SJ, Abma JC, Mosher WD, Henshaw SK. Estimated pregnancy rates by outcome for the United States, 1990–2004. Natl Vital Stat Rep 2008;56:1–25, 28. PubMed
- Curtin SC, Abma JC, Kost K. 2010 pregnancy rates among U.S. women. http://www.cdc.gov/nchs/data/hestat/pregnancy/2010_pregnancy_rates.pdf
- Peipert JF, Madden T, Allsworth JE, Secura GM. Preventing unintended pregnancies by providing no-cost contraception. Obstet Gynecol 2012;120:1291–7. CrossRef PubMed
- Biggs MA, Rocca CH, Brindis CD, Hirsch H, Grossman D. Did increasing use of highly effective contraception contribute to declining abortions in Iowa? Contraception 2015;91:167–73. CrossRef PubMed
- Ricketts S, Klingler G, Schwalberg R. Game change in Colorado: widespread use of long-acting reversible contraceptives and rapid decline in births among young, low-income women. Perspect Sex Reprod Health 2014;46:125–32. CrossRef PubMed
- Finer LB, Henshaw SK. Abortion incidence and services in the United States in 2000. Perspect Sex Reprod Health 2003;35:6–15. CrossRef PubMed
- Henshaw SK. Abortion incidence and services in the United States, 1995–1996. Fam Plann Perspect 1998;30:263–70, 287. CrossRef PubMed
- Jones RK, Zolna MR, Henshaw SK, Finer LB. Abortion in the United States: incidence and access to services, 2005. Perspect Sex Reprod Health 2008;40:6–16. CrossRef PubMed
- Joyce TJ, Henshaw SK, Dennis A, Finer LB, Blanchard K. The impact of state mandatory counseling and waiting period laws on abortion: a literature review. New York, NY: Guttmacher Institute; 2009. http://www.guttmacher.org/pubs/MandatoryCounseling.pdf
- Dennis A, Henshaw SK, Joyce TJ, Finer LB, Blanchard K. The impact of laws requiring parental involvement for abortion: a literature review. New York, NY: Guttmacher Institute; 2009. http://www.guttmacher.org/pubs/ParentalInvolvementLaws.pdf
- Grossman D, Baum S, Fuentes L, et al. Change in abortion services after implementation of a restrictive law in Texas. Contraception 2014;90:496–501. CrossRef PubMed
- Joyce T. The supply-side economics of abortion. N Engl J Med 2011;365:1466–9. CrossRef PubMed
- Martinez GM, Chandra A, Abma JC, Jones J, Mosher WD. Fertility, contraception, and fatherhood: data on men and women from cycle 6 (2002) of the 2002 National Survey of Family Growth. Vital Health Stat 23 2006;26:1–142. PubMed
- Ventura SJ. Changing patterns of nonmarital childbearing in the United States. NCHS Data Brief 2009;18:1–8. PubMed
- Moore KA. Teen births: examining the recent increase. Washington, DC: The National Campaign to Prevent Teen and Unplanned Pregnancy; 2009. http://www.childtrends.org/wp-content/uploads/2009/03/Child_Trends_2009_03_13_FS_TeenBirthRate.pdf
- Yang Z, Gaydos LM. Reasons for and challenges of recent increases in teen birth rates: a study of family planning service policies and demographic changes at the state level. J Adolesc Health 2010;46:517–24. CrossRef PubMed
- American College of Obstetricians and Gynecologists. Bad economy blamed for women delaying pregnancy and annual check-up. 2009. http://www.acog.org/About_ACOG/News_Room/News_Releases/2009/Bad_Economy_Blamed_for_Women_Delaying_Pregnancy_and_Annual_Check-Up
- Guttmacher Institute. A real-time look at the impact of the recession on women’s family planning and pregnancy decisions. New York, NY: Guttmacher Institute. 2009. http://www.guttmacher.org/pubs/RecessionFP.pdf
- Finer LB, Zolna MR. Declines in Unintended Pregnancy in the United States, 2008–2011. N Engl J Med 2016;374:843–52 https://dx.doi.org/10.1056/NEJMsa1506575. CrossRef PubMed
- Trussell J. Contraceptive efficacy. In: Hatcher R, Trussell J, Nelson A, Cates W, Kowal D, Policar M, eds. Contraceptive technology, 20th ed. Atlanta, GA: Ardent Media, Inc.; 2011:779–88.
- Branum AM, Jones J. Trends in long-acting reversible contraception use among U.S. women aged 15–44. NCHS Data Brief 2015; (188):1–8. PubMed
- Daniels K, Daugherty JJJ. Current contraceptive status among women aged 15–44: United States, 2011–2013. Washington, DC: Department of Health and Human Services; 2014.
- Kavanaugh ML, Jerman J, Finer LB. Changes in use of long-acting reversible contraceptive methods among U.S. women, 2009–2012. Obstet Gynecol 2015;126:917–27. CrossRef PubMed
- Boulet SL, D’Angelo DV, Morrow B, et al. Contraceptive Use Among Nonpregnant and Postpartum Women at Risk for Unintended Pregnancy, and Female High School Students, in the Context of Zika Preparedness—United States, 2011–2013 and 2015. MMWR Morb Mortal Wkly Rep 2016;65:780–7. CrossRef PubMed
- Fox J, Barfield W. Decreasing unintended pregnancy: opportunities created by the Affordable Care Act. JAMA 2016;316:815–6. CrossRef PubMed
TABLE 1. Number, percentage, rate,* and ratio† of reported abortions — selected reporting areas, United States, 2004–2013
| Year | Selected reporting areas§ | Continuously reporting areas¶ | ||
|---|---|---|---|---|
| No. | No. (%)** | Rate | Ratio | |
| 2004 | 839,226 | 817,906 (97.5) | 15.9 | 241 |
| 2005 | 820,151 | 807,680 (98.5) | 15.7 | 236 |
| 2006 | 852,385†† | 834,615 (97.9) | 16.2 | 237 |
| 2007 | 827,609 | 818,923 (99.0) | 15.8 | 229 |
| 2008 | 825,564 | 816,765 (98.9) | 15.8 | 232 |
| 2009 | 789,217§§ | 779,278 (98.7) | 15.0 | 227 |
| 2010 | 765,651 | 754,780 (98.6) | 14.6 | 227 |
| 2011 | 730,322 | 719,530 (98.5) | 13.9 | 219 |
| 2012 | 699,202 | 688,149 (98.4) | 13.2 | 210 |
| 2013 | 664,435 | 652,582 (98.2) | 12.5 | 200 |
* Number of abortions per 1,000 women aged 15–44 years.
† Number of abortions per 1,000 live births.
§ For each given year, excludes reporting areas that did not report that year’s abortion numbers to CDC: California (2004–2013), Louisiana (2005), Maryland (2007–2013), New Hampshire (2004–2013), and West Virginia (2004).
¶ For all years, excludes reporting areas that did not report abortion numbers every year during the period of analysis (2004–2013): California, Louisiana, Maryland, New Hampshire, and West Virginia.
** Abortions from areas that reported every year during 2004–2013 as a percentage of all reported abortions.
†† This number is greater than reported in the 2006 report because of numbers subsequently provided by Louisiana.
§§ This number is greater than reported in the 2009 report because of numbers subsequently provided by Delaware.
FIGURE 1. Number, rate,* and ratio† of abortions performed, by year — selected reporting areas,§ United States, 2004–2013

* Number of abortions per 1,000 women aged 15–44 years.
† Number of abortions per 1,000 live births.
§ Data are for 47 reporting areas; excludes California, Louisiana, Maryland, New Hampshire, and West Virginia.
TABLE 2. Number, rate,* and ratio† of reported abortions, by reporting area of residence and occurrence and by percentage of abortions obtained by out-of-state residents — United States, 2013
| State/Area | Residence | Occurrence | % obtained by out-of-state residents§ | ||||
|---|---|---|---|---|---|---|---|
| No. | Rate | Ratio | No. | Rate | Ratio | ||
| Alabama | 7,863 | 8.2 | 135 | 8,485 | 8.8 | 146 | 17.5 |
| Alaska | 1,525 | 10.4 | 133 | 1,450 | 9.9 | 127 | 0.7 |
| Arizona | 13,441 | 10.4 | 157 | 13,401 | 10.4 | 157 | 1.0 |
| Arkansas | 3,938 | 6.9 | 104 | 3,730 | 6.5 | 99 | 14.1 |
| California¶ | — | — | — | — | — | — | — |
| Colorado | 9,175 | 8.6 | 141 | 10,199 | 9.6 | 157 | 10.1 |
| Connecticut | 10,490 | 15.3 | 291 | 10,560 | 15.4 | 293 | 2.8 |
| Delaware | 2,973 | 16.6 | 274 | 3,042 | 16.9 | 281 | 15.7 |
| District of Columbia** | 1,263 | 7.2 | 136 | 2,561 | 14.7 | 276 | 57.3 |
| Florida†† | — | — | — | 72,727 | 20.0 | 338 | — |
| Georgia | 27,521 | 13.2 | 214 | 30,673 | 14.7 | 238 | 11.1 |
| Hawaii | 1,957 | 7.4 | 103 | 1,967 | 7.4 | 104 | 0.4 |
| Idaho | 1,811 | 5.8 | 81 | 1,375 | 4.4 | 61 | 3.9 |
| Illinois | 37,897 | 14.6 | 241 | 40,750 | 15.7 | 260 | 7.9 |
| Indiana | 9,239 | 7.2 | 111 | 8,179 | 6.3 | 98 | 5.3 |
| Iowa§§ | 3,862 | 6.6 | 99 | 4,423 | 7.6 | 113 | 17.2 |
| Kansas | 3,885 | 7.0 | 100 | 7,422 | 13.3 | 191 | 50.1 |
| Kentucky | 5,004 | 5.9 | 90 | 3,637 | 4.3 | 65 | 11.6 |
| Louisiana§§ | 9,491 | 10.1 | 150 | 9,977 | 10.6 | 158 | 11.4 |
| Maine | 1,887 | 8.0 | 148 | 1,939 | 8.3 | 152 | 3.1 |
| Maryland¶ | — | — | — | — | — | — | — |
| Massachusetts§§ | 18,693 | 13.8 | 260 | 19,448 | 14.3 | 271 | 3.1 |
| Michigan | 25,781 | 13.6 | 227 | 26,120 | 13.8 | 230 | 2.7 |
| Minnesota | 9,429 | 9.0 | 136 | 9,904 | 9.4 | 143 | 8.8 |
| Mississippi | 5,137 | 8.5 | 133 | 2,170 | 3.6 | 56 | 2.5 |
| Missouri | 10,340 | 8.8 | 137 | 5,416 | 4.6 | 72 | 8.0 |
| Montana | 1,653 | 9.0 | 134 | 1,842 | 10.0 | 149 | 11.9 |
| Nebraska | 2,076 | 5.7 | 80 | 2,177 | 6.0 | 83 | 8.5 |
| Nevada | 5,692 | 10.2 | 162 | 6,056 | 10.9 | 173 | 5.7 |
| New Hampshire¶ | — | — | — | — | — | — | — |
| New Jersey¶¶ | 22,160 | 12.9 | 216 | 21,720 | 12.6 | 212 | 5.0 |
| New Mexico | 3,912 | 9.8 | 148 | 4,198 | 10.5 | 159 | 14.1 |
| New York | 95,143 | 23.6 | 401 | 98,046 | 24.3 | 414 | 2.3 |
| New York City | NA | NA | NA | 69,840 | 36.3 | 598 | NA |
| New York State | NA | NA | NA | 28,206 | 13.4 | 235 | NA |
| North Carolina | 19,908 | 10.1 | 167 | 22,820 | 11.6 | 192 | 14.6 |
| North Dakota | 899 | 6.4 | 85 | 1,182 | 8.4 | 112 | 33.1 |
| Ohio | 23,108 | 10.4 | 166 | 23,216 | 10.5 | 167 | 5.2 |
| Oklahoma | 5,009 | 6.6 | 94 | 5,013 | 6.6 | 94 | 8.3 |
| Oregon | 7,778 | 10.1 | 172 | 8,287 | 10.8 | 184 | 9.1 |
| Pennsylvania | 32,554 | 13.5 | 231 | 32,108 | 13.3 | 228 | 4.2 |
| Rhode Island | 2,752 | 13.1 | 255 | 3,251 | 15.5 | 301 | 17.5 |
| South Carolina | 9,798 | 10.5 | 173 | 5,878 | 6.3 | 103 | 4.0 |
| South Dakota | 738 | 4.7 | 60 | 601 | 3.8 | 49 | 12.5 |
| Tennessee | 11,895 | 9.2 | 149 | 14,216 | 11.0 | 178 | 22.8 |
| Texas | 61,812 | 11.2 | 160 | 63,168 | 11.4 | 163 | 3.0 |
| Utah | 3,033 | 4.8 | 60 | 3,102 | 4.9 | 61 | 6.7 |
| Vermont | 1,169 | 10.0 | 196 | 1,217 | 10.5 | 204 | 5.5 |
| Virginia | 21,227 | 12.7 | 208 | 20,852 | 12.4 | 204 | 5.6 |
| Washington | 17,475 | 12.6 | 202 | 17,592 | 12.7 | 203 | 4.7 |
| West Virginia | 1,973 | 5.8 | 95 | 1,876 | 5.5 | 90 | 15.4 |
| Wisconsin | 7,415 | 6.8 | 111 | 6,462 | 5.9 | 97 | 3.3 |
| Wyoming | 600 | 5.4 | 78 | —*** | —††† | —††† | —††† |
| Canada | 74 | NA | NA | NA | NA | NA | NA |
| Mexico | 403 | NA | NA | NA | NA | NA | NA |
| Other country or territory | 140 | NA | NA | NA | NA | NA | NA |
| Total known residence | 585,303 | NA | NA | NA | NA | NA | NA |
| Percentage reported by known residence | 88.1 | NA | NA | NA | NA | NA | NA |
| Total unknown residence | 79,132 | NA | NA | NA | NA | NA | NA |
| Out of state, exact residence not stated | 3,022 | NA | NA | NA | NA | NA | NA |
| No information on residence provided | 76,110 | NA | NA | NA | NA | NA | NA |
| Percentage reported by unknown residence | 11.9 | NA | NA | NA | NA | NA | NA |
| Total | 664,435 | NA | NA | NA | NA | NA | NA |
Abbreviation: NA = not applicable.
* Number of abortions per 1,000 women aged 15–44 years.
† Number of abortions per 1,000 live births.
§ Additional details on the state in which abortions were provided, cross-tabulated by the state of maternal residence, are available at http://www.cdc.gov/reproductivehealth/data_stats/Abortion.htm.
¶ Reporting area did not report; because numbers for this area are available only from other reporting areas where residents obtained abortions, meaningful statistics cannot be reported.
** Because reporting is not mandatory, a complete number of abortions performed in the District of Columbia could not be obtained.
†† Reported by occurrence only; because abortion numbers by residence for Florida are available only from other reporting areas where residents obtained abortions, meaningful statistics cannot be reported.
§§ Reporting area reported abortion numbers for both in-state and out-of-state residents; for out-of-state residents, the state or area of residence was not provided.
¶¶ Data from hospitals and licensed ambulatory care facilities only; because reporting is not mandatory for private physicians and women’s centers, a complete number of abortions performed in New Jersey could not be obtained.
*** Total abortion number <20.
††† Abortion rates and ratios and percentage of abortions obtained by out-of-state residents were not calculated for Wyoming because results based on a small number of abortions are unstable.
FIGURE 2. Percentage of total abortions, abortion rate,* and abortion ratio,† by age group of women who obtained a legal abortion — selected reporting areas,§ United States, 2013

* Number of abortions per 1,000 women aged 15–44 years.
† Number of abortions per 1,000 live births.
§ Data are for 47 areas; excludes five areas (California, Florida, Maryland, New Hampshire, and Wyoming) that did not report, did not report by age, or did not meet reporting standards.
TABLE 3. Reported abortions, by known age group and reporting area of occurrence — selected reporting areas,* United States, 2013
| State/Area | Age group (yrs) | ||||||||
|---|---|---|---|---|---|---|---|---|---|
| <15 | 15–19 | 20–24 | 25–29 | 30–34 | 35–39 | ≥40 | Total abortions reported by known age | ||
| No. (%)† | No. (%) | No. (%) | No. (%) | No. (%) | No. (%) | No. (%) | No. (% of all reported abortions)§ | ||
| Alabama | 54 (0.6) | 1,059 (12.5) | 2,976 (35.1) | 2,192 (25.8) | 1,346 (15.9) | 651 (7.7) | 204 (2.4) | 8,482 (100.0) | |
| Alaska | 9 (0.6) | 189 (13.4) | 464 (33.0) | 384 (27.3) | 215 (15.3) | 105 (7.5) | 42 (3.0) | 1,408 (97.1) | |
| Arizona | 20 (0.1) | 1,428 (10.7) | 4,347 (32.4) | 3,418 (25.5) | 2,353 (17.6) | 1,332 (9.9) | 503 (3.8) | 13,401 (100.0) | |
| Arkansas | 14 (0.4) | 437 (11.7) | 1,193 (32.0) | 980 (26.3) | 640 (17.2) | 329 (8.8) | 137 (3.7) | 3,730 (100.0) | |
| Colorado | 24 (0.2) | 1,182 (11.6) | 3,345 (32.9) | 2,689 (26.4) | 1,640 (16.1) | 900 (8.9) | 387 (3.8) | 10,167 (99.7) | |
| Connecticut | 22 (0.2) | 1,223 (11.8) | 3,407 (32.9) | 2,757 (26.7) | 1,701 (16.4) | 896 (8.7) | 336 (3.2) | 10,342 (97.9) | |
| Delaware | 12 (0.4) | 414 (13.6) | 1,003 (33.0) | 768 (25.2) | 495 (16.3) | 261 (8.6) | 89 (2.9) | 3,042 (100.0) | |
| District of Columbia¶ | 12 (0.5) | 360 (14.1) | 852 (33.3) | 639 (25.0) | 416 (16.2) | 206 (8.0) | 76 (3.0) | 2,561 (100.0) | |
| Georgia | 157 (0.5) | 3,188 (10.4) | 9,535 (31.1) | 8,010 (26.1) | 5,581 (18.2) | 3,090 (10.1) | 1,112 (3.6) | 30,673 (100.0) | |
| Hawaii | —** | 236 (12.0) | 684 (34.9) | 507 (25.9) | 283 (14.4) | 167 (8.5) | — | 1,959 (99.6) | |
| Idaho | — | 173 (12.6) | 492 (35.8) | 340 (24.7) | 177 (12.9) | 135 (9.8) | — | 1,375 (100.0) | |
| Illinois†† | 149 (0.4) | 4,698 (12.7) | 11,715 (31.6) | 9,562 (25.8) | 6,209 (16.8) | 3,419 (9.2) | 1,312 (3.5) | 37,064 (99.6) | |
| Indiana | 14 (0.2) | 945 (11.6) | 2,738 (33.6) | 2,101 (25.8) | 1,365 (16.7) | 746 (9.1) | 245 (3.0) | 8,154 (99.7) | |
| Iowa | 17 (0.4) | 528 (12.0) | 1,522 (34.5) | 1,061 (24.0) | 732 (16.6) | 403 (9.1) | 154 (3.5) | 4,417 (99.9) | |
| Kansas | 19 (0.3) | 797 (10.7) | 2,466 (33.2) | 1,923 (25.9) | 1,297 (17.5) | 681 (9.2) | 239 (3.2) | 7,422 (100.0) | |
| Kentucky | 16 (0.4) | 465 (12.8) | 1,229 (33.8) | 846 (23.3) | 642 (17.7) | 326 (9.0) | 113 (3.1) | 3,637 (100.0) | |
| Louisiana | 52 (0.5) | 1,034 (10.4) | 3,262 (32.7) | 2,827 (28.3) | 1,689 (16.9) | 832 (8.3) | 281 (2.8) | 9,977 (100.0) | |
| Maine | — | 254 (13.1) | 651 (33.6) | 496 (25.6) | 282 (14.6) | 159 (8.2) | — | 1,935 (99.8) | |
| Massachusetts | 35 (0.2) | 1,930 (9.9) | 6,431 (33.1) | 5,080 (26.1) | 3,256 (16.7) | 1,876 (9.6) | 838 (4.3) | 19,446 (100.0) | |
| Michigan | 82 (0.3) | 3,096 (11.9) | 9,392 (36.0) | 6,288 (24.1) | 4,046 (15.5) | 2,256 (8.7) | 911 (3.5) | 26,071 (99.8) | |
| Minnesota | 27 (0.3) | 1,020 (10.3) | 3,220 (32.5) | 2,598 (26.2) | 1,767 (17.8) | 908 (9.2) | 364 (3.7) | 9,904 (100.0) | |
| Mississippi | 9 (0.4) | 259 (12.0) | 750 (34.6) | 588 (27.1) | 362 (16.7) | 155 (7.2) | 43 (2.0) | 2,166 (99.8) | |
| Missouri | 20 (0.4) | 643 (11.9) | 1,917 (35.4) | 1,347 (24.9) | 894 (16.5) | 427 (7.9) | 167 (3.1) | 5,415 (100.0) | |
| Montana | 10 (0.5) | 241 (13.1) | 609 (33.1) | 450 (24.4) | 296 (16.1) | 174 (9.4) | 62 (3.4) | 1,842 (100.0) | |
| Nebraska | 10 (0.5) | 256 (11.8) | 733 (33.7) | 568 (26.1) | 369 (16.9) | 177 (8.1) | 64 (2.9) | 2,177 (100.0) | |
| Nevada | 15 (0.2) | 615 (10.2) | 1,848 (30.5) | 1,472 (24.3) | 974 (16.1) | 652 (10.8) | 480 (7.9) | 6,056 (100.0) | |
| New Jersey§§ | 82 (0.4) | 2,327 (10.7) | 6,762 (31.2) | 5,709 (26.4) | 3,859 (17.8) | 2,081 (9.6) | 829 (3.8) | 21,649 (99.7) | |
| New Mexico | 24 (0.6) | 589 (14.7) | 1,319 (33.0) | 997 (24.9) | 626 (15.6) | 315 (7.9) | 131 (3.3) | 4,001 (95.3) | |
| New York | 322 (0.3) | 11,649 (11.9) | 30,686 (31.3) | 25,207 (25.7) | 16,983 (17.3) | 9,365 (9.6) | 3,741 (3.8) | 97,953 (99.9) | |
| New York City | 208 (0.3) | 7,855 (11.2) | 20,956 (30.0) | 18,066 (25.9) | 12,734 (18.2) | 7,175 (10.3) | 2,846 (4.1) | 69,840 (100.0) | |
| New York State | 114 (0.4) | 3,794 (13.5) | 9,730 (34.6) | 7,141 (25.4) | 4,249 (15.1) | 2,190 (7.8) | 895 (3.2) | 28,113 (99.7) | |
| North Carolina | 64 (0.3) | 2,343 (11.0) | 7,162 (33.5) | 5,528 (25.9) | 3,591 (16.8) | 1,974 (9.2) | 721 (3.4) | 21,383 (93.7) | |
| North Dakota | 5 (0.4) | 133 (11.3) | 427 (36.1) | 302 (25.5) | 191 (16.2) | 96 (8.1) | 28 (2.4) | 1,182 (100.0) | |
| Ohio | 111 (0.5) | 2,799 (12.1) | 8,004 (34.7) | 5,806 (25.2) | 3,693 (16.0) | 1,919 (8.3) | 712 (3.1) | 23,044 (99.3) | |
| Oklahoma | 26 (0.5) | 614 (12.3) | 1,628 (32.6) | 1,320 (26.4) | 813 (16.3) | 418 (8.4) | 182 (3.6) | 5,001 (99.8) | |
| Oregon | 17 (0.2) | 977 (11.9) | 2,571 (31.4) | 2,139 (26.1) | 1,400 (17.1) | 787 (9.6) | 306 (3.7) | 8,197 (98.9) | |
| Pennsylvania | 132 (0.4) | 3,608 (11.2) | 11,099 (34.6) | 8,509 (26.5) | 4,958 (15.4) | 2,736 (8.5) | 1,066 (3.3) | 32,108 (100.0) | |
| Rhode Island | 9 (0.3) | 377 (11.6) | 1,108 (34.1) | 818 (25.2) | 521 (16.1) | 301 (9.3) | 111 (3.4) | 3,245 (99.8) | |
| South Carolina | 15 (0.3) | 714 (12.1) | 1,931 (32.9) | 1,489 (25.3) | 1007 (17.1) | 520 (8.8) | 202 (3.4) | 5,878 (100.0) | |
| South Dakota | — | 66 (11.0) | 195 (32.4) | 174 (29.0) | 95 (15.8) | 48 (8.0) | — | 601 (100.0) | |
| Tennessee | 69 (0.5) | 1,529 (10.9) | 4,748 (33.9) | 3,719 (26.6) | 2,347 (16.8) | 1,124 (8.0) | 452 (3.2) | 13,988 (98.4) | |
| Texas | 194 (0.3) | 6,939 (11.0) | 20,268 (32.1) | 16,763 (26.6) | 10,700 (16.9) | 6,038 (9.6) | 2,226 (3.5) | 63,128 (99.9) | |
| Utah | 9 (0.3) | 365 (11.9) | 991 (32.2) | 724 (23.5) | 564 (18.3) | 301 (9.8) | 122 (4.0) | 3,076 (99.2) | |
| Vermont | — | 170 (14.0) | 399 (32.8) | 286 (23.5) | 186 (15.3) | 136 (11.2) | — | 1,217 (100.0) | |
| Virginia | 48 (0.2) | 1,949 (9.4) | 6,760 (32.6) | 5,473 (26.4) | 3,710 (17.9) | 2,046 (9.9) | 745 (3.6) | 20,731 (99.4) | |
| Washington | 47 (0.3) | 2,204 (12.5) | 5,664 (32.2) | 4,433 (25.2) | 2,934 (16.7) | 1,611 (9.2) | 683 (3.9) | 17,576 (99.9) | |
| West Virginia | 8 (0.4) | 225 (12.0) | 669 (35.7) | 451 (24.0) | 302 (16.1) | 163 (8.7) | 58 (3.1) | 1,876 (100.0) | |
| Wisconsin†† | 15 (0.2) | 707 (11.3) | 2,117 (33.9) | 1,656 (26.5) | 967 (15.5) | 580 (9.3) | 209 (3.3) | 6,251 (100.0) | |
| Total | 2,013 (0.3) | 66,954 (11.4) | 191,289 (32.7) | 151,394 (25.9) | 98,474 (16.8) | 53,822 (9.2) | 20,962 (3.6) | 584,908 (99.5)¶¶ | |
| Abortion rate*** | 0.6 | 8.2 | 21.8 | 18.2 | 11.8 | 7.0 | 2.5 | 11.8 | |
| Abortion ratio††† | 789 | 301 | 263 | 169 | 121 | 147 | 244 | 188 | |
* Data from 47 reporting areas; excludes five reporting areas (California, Florida, Maryland, New Hampshire, and Wyoming) that did not report, did not report by age, or did not meet reporting standards.
† Percentages for the individual component categories might not add to 100 because of rounding.
§ Percentage is calculated as the number of abortions reported by known age divided by the sum of abortions reported by known and unknown age.
¶ Because reporting is not mandatory, a complete number of abortions performed in the District of Columbia could not be obtained.
** Cell details are not displayed because of small numbers (n = 1–4).
†† Includes residents only.
§§ Data from hospitals and licensed ambulatory care facilities only; because reporting is not mandatory for private physicians and women’s centers, information could not be obtained for all abortions performed in New Jersey.
¶¶ Percentage based on a total of 587,977 abortions reported among the areas that met reporting standards for age.
*** Number of abortions obtained by women in a given age group per 1,000 women in that same age group. Women aged 13–14 years were used as the denominator for the group of women aged <15 years, and women aged 40–44 years were used as the denominator for the group of women aged ≥40 years. Women aged 15–44 years were used as the denominator for the overall rate. For each reporting area, abortions for women of unknown age were distributed according to the distribution of abortions among women of known age for that area.
††† Number of abortions obtained by women in a given age group per 1,000 live births to women in that same age group. For each reporting area, abortions for women of unknown age were distributed according to the distribution of abortions among women of known age for that area.
TABLE 4. Reported abortions, by known age group and year — selected reporting areas,* United States, 2004–2013
| Age group (yrs) | Year | % change | ||||||||||||
|---|---|---|---|---|---|---|---|---|---|---|---|---|---|---|
| 2004 | 2005 | 2006 | 2007 | 2008 | 2009 | 2010 | 2011 | 2012 | 2013 | 2004 to 2008 | 2009 to 2013 | 2012 to 2013 | 2004 to 2013 | |
| % of abortions | ||||||||||||||
| <15 | 0.6 | 0.6 | 0.5 | 0.5 | 0.5 | 0.5 | 0.5 | 0.4 | 0.4 | 0.3 | -16.7 | -40.0 | -25.0 | -50.0 |
| 15–19 | 16.6 | 16.5 | 16.5 | 16.5 | 16.1 | 15.5 | 14.6 | 13.4 | 12.2 | 11.4 | -3.0 | -26.5 | -6.6 | -31.3 |
| 20–24 | 33.2 | 32.8 | 32.7 | 32.6 | 32.7 | 32.6 | 32.8 | 32.9 | 32.8 | 32.7 | -1.5 | 0.3 | -0.3 | -1.5 |
| 25–29 | 23.1 | 23.5 | 24.1 | 24.2 | 24.4 | 24.4 | 24.5 | 24.9 | 25.3 | 25.9 | 5.6 | 6.1 | 2.4 | 12.1 |
| 30–34 | 14.8 | 14.6 | 14.2 | 14.1 | 14.4 | 14.8 | 15.3 | 15.8 | 16.4 | 16.8 | -2.7 | 13.5 | 2.4 | 13.5 |
| 35–39 | 8.5 | 8.8 | 8.9 | 8.9 | 8.8 | 8.9 | 8.9 | 8.9 | 9.1 | 9.2 | 3.5 | 3.4 | 1.1 | 8.2 |
| ≥40 | 3.2 | 3.2 | 3.2 | 3.2 | 3.1 | 3.3 | 3.4 | 3.6 | 3.7 | 3.6 | -3.1 | 9.1 | -2.7 | 12.5 |
| Abortion rate† | ||||||||||||||
| <15 | 1.3 | 1.2 | 1.2 | 1.2 | 1.2 | 1.1 | 1.0 | 0.9 | 0.8 | 0.6 | -7.7 | -45.5 | -25.0 | -53.8 |
| 15–19 | 15.1 | 14.5 | 14.7 | 14.4 | 14.0 | 12.9 | 11.8 | 10.6 | 9.3 | 8.2 | -7.3 | -36.4 | -11.8 | -45.7 |
| 20–24 | 30.3 | 29.4 | 30.2 | 29.6 | 29.7 | 28.0 | 27.1 | 25.2 | 23.6 | 22.0 | -2.0 | -21.4 | -6.8 | -27.4 |
| 25–29 | 22.8 | 22.3 | 22.9 | 22.2 | 22.1 | 21.0 | 20.4 | 19.6 | 19.0 | 18.3 | -3.1 | -12.9 | -3.7 | -19.7 |
| 30–34 | 13.9 | 13.7 | 14.0 | 13.8 | 14.0 | 13.5 | 13.4 | 12.8 | 12.5 | 11.9 | 0.7 | -11.9 | -4.8 | -14.4 |
| 35–39 | 7.6 | 7.8 | 8.0 | 7.9 | 8.0 | 7.7 | 7.7 | 7.5 | 7.4 | 7.0 | 5.3 | -9.1 | -5.4 | -7.9 |
| ≥40 | 2.6 | 2.6 | 2.7 | 2.7 | 2.7 | 2.8 | 2.8 | 2.9 | 2.8 | 2.6 | 3.8 | -7.1 | -7.1 | 0.0 |
| Abortion ratio§ | ||||||||||||||
| <15 | 781 | 774 | 764 | 785 | 818 | 842 | 858 | 850 | 817 | 801 | 4.7 | -4.9 | -2.0 | 2.6 |
| 15–19 | 372 | 363 | 356 | 344 | 345 | 334 | 338 | 331 | 310 | 305 | -7.3 | -8.7 | -1.6 | -18.0 |
| 20–24 | 297 | 287 | 284 | 279 | 289 | 287 | 295 | 289 | 276 | 266 | -2.7 | -7.3 | -3.6 | -10.4 |
| 25–29 | 194 | 189 | 191 | 185 | 189 | 185 | 186 | 180 | 176 | 170 | -2.6 | -8.1 | -3.4 | -12.4 |
| 30–34 | 144 | 142 | 143 | 139 | 142 | 139 | 138 | 133 | 128 | 122 | -1.4 | -12.2 | -4.7 | -15.3 |
| 35–39 | 173 | 172 | 174 | 171 | 175 | 173 | 172 | 165 | 158 | 147 | 1.2 | -15.0 | -7.0 | -15.0 |
| ≥40 | 293 | 285 | 285 | 281 | 274 | 276 | 274 | 275 | 270 | 244 | -6.5 | -11.6 | -9.6 | -16.7 |
| Total (no.) | 714,398 | 701,984 | 724,407 | 714,139 | 718,037 | 686,006 | 664,857 | 632,824 | 603,745 | 570,399 | — | — | — | — |
* Data from 42 reporting areas; by year, these reporting areas represent 96%–98% of all abortions reported to CDC by age during 2004–2013. Excludes 10 reporting areas (California, District of Columbia, Florida, Louisiana, Maine, Maryland, New Hampshire, Vermont, West Virginia, and Wyoming) that did not report, did not report by age, or did not meet reporting standards for ≥1 year.
† Number of abortions obtained by women in a given age group per 1,000 women in that same age group. Women aged 13–14 years were used as the denominator for the group of women aged <15 years, and women aged 40–44 years were used as the denominator for the group of women aged ≥40 years. Women aged 15–44 years were used as the denominator for the overall rate. For each reporting area, abortions for women of unknown age were distributed according to the distribution of abortions among women of known age for that area.
§ Number of abortions obtained by women in a given age group per 1,000 live births to women in that same age group. For each reporting area, abortions for women of unknown age were distributed according to the distribution of abortions among women of known age for that area.
TABLE 5. Reported abortions among adolescents, by known age and reporting area of occurrence — selected reporting areas,* United States, 2013
| State/Area | Age (yrs) | ||||||
|---|---|---|---|---|---|---|---|
| <15 | 15 | 16 | 17 | 18 | 19 | Total no. | |
| No. (%)† | No. (%) | No. (%) | No. (%) | No. (%) | No. (%) | ||
| Alabama | 54 (4.9) | 71 (6.4) | 90 (8.1) | 131 (11.8) | 333 (29.9) | 434 (39.0) | 1,113 |
| Alaska | 9 (4.5) | 12 (6.1) | 25 (12.6) | 31 (15.7) | 50 (25.3) | 71 (35.9) | 198 |
| Arizona | 20 (1.4) | 59 (4.1) | 121 (8.4) | 202 (14.0) | 419 (28.9) | 627 (43.3) | 1,448 |
| Arkansas | 14 (3.1) | 32 (7.1) | 54 (12.0) | 67 (14.9) | 122 (27.1) | 162 (35.9) | 451 |
| Colorado | 24 (2.0) | 65 (5.4) | 115 (9.5) | 173 (14.3) | 342 (28.4) | 487 (40.4) | 1,206 |
| Connecticut | 22 (1.8) | 57 (4.6) | 116 (9.3) | 238 (19.1) | 352 (28.3) | 460 (36.9) | 1,245 |
| Delaware | 12 (2.8) | 21 (4.9) | 44 (10.3) | 70 (16.4) | 118 (27.7) | 161 (37.8) | 426 |
| District of Columbia¶ | 12 (3.2) | 28 (7.5) | 51 (13.7) | 86 (23.1) | 88 (23.7) | 107 (28.8) | 372 |
| Georgia | 157 (4.7) | 195 (5.8) | 293 (8.8) | 457 (13.7) | 889 (26.6) | 1,354 (40.5) | 3,345 |
| Hawaii | —§ | — | 20 (8.4) | 39 (16.3) | 57 (23.8) | 112 (46.9) | 239 |
| Idaho | — | 8 (4.5) | — | 31 (17.6) | 53 (30.1) | 75 (42.6) | 176 |
| Indiana | 14 (1.5) | 61 (6.4) | 111 (11.6) | 137 (14.3) | 270 (28.2) | 366 (38.2) | 959 |
| Iowa | 17 (3.1) | 45 (8.3) | 45 (8.3) | 79 (14.5) | 131 (24.0) | 228 (41.8) | 545 |
| Kansas | 19 (2.3) | 43 (5.3) | 92 (11.3) | 104 (12.7) | 236 (28.9) | 322 (39.5) | 816 |
| Kentucky | 16 (3.3) | 25 (5.2) | 48 (10.0) | 68 (14.1) | 141 (29.3) | 183 (38.0) | 481 |
| Louisiana | 52 (4.8) | 93 (8.6) | 102 (9.4) | 165 (15.2) | 263 (24.2) | 411 (37.8) | 1,086 |
| Maine | — | — | 33 (12.8) | 47 (18.2) | 62 (24.0) | 102 (39.5) | 258 |
| Massachusetts | 35 (1.8) | 82 (4.2) | 169 (8.6) | 254 (12.9) | 582 (29.6) | 843 (42.9) | 1,965 |
| Michigan | 82 (2.6) | 161 (5.1) | 289 (9.1) | 439 (13.8) | 898 (28.3) | 1,309 (41.2) | 3,178 |
| Minnesota | 27 (2.6) | 56 (5.3) | 87 (8.3) | 125 (11.9) | 305 (29.1) | 447 (42.7) | 1,047 |
| Mississippi | 9 (3.4) | 22 (8.2) | 30 (11.2) | 38 (14.2) | 69 (25.7) | 100 (37.3) | 268 |
| Missouri | 20 (3.0) | 39 (5.9) | 54 (8.1) | 78 (11.8) | 171 (25.8) | 301 (45.4) | 663 |
| Montana | 10 (4.0) | 12 (4.8) | 26 (10.4) | 38 (15.1) | 74 (29.5) | 91 (36.3) | 251 |
| Nebraska | 10 (3.8) | 18 (6.8) | 27 (10.2) | 27 (10.2) | 68 (25.6) | 116 (43.6) | 266 |
| Nevada | 15 (2.4) | 31 (4.9) | 59 (9.4) | 104 (16.5) | 168 (26.7) | 253 (40.2) | 630 |
| New Jersey** | 82 (3.4) | 111 (4.6) | 250 (10.4) | 426 (17.7) | 628 (26.1) | 912 (37.9) | 2,409 |
| New Mexico | 24 (3.9) | 46 (7.5) | 71 (11.6) | 120 (19.6) | 149 (24.3) | 203 (33.1) | 613 |
| New York | 322 (2.7) | 580 (4.8) | 1,165 (9.7) | 2,158 (18.0) | 3,335 (27.9) | 4,411 (36.8) | 11,971 |
| New York City | 208 (2.6) | 393 (4.9) | 797 (9.9) | 1,487 (18.4) | 2,222 (27.6) | 2,956 (36.7) | 8,063 |
| New York State | 114 (2.9) | 187 (4.8) | 368 (9.4) | 671 (17.2) | 1,113 (28.5) | 1,455 (37.2) | 3,908 |
| North Carolina | 64 (2.7) | 117 (4.9) | 217 (9.0) | 357 (14.8) | 655 (27.2) | 997 (41.4) | 2,407 |
| North Dakota | 5 (3.6) | 9 (6.5) | 13 (9.4) | 18 (13.0) | 31 (22.5) | 62 (44.9) | 138 |
| Ohio | 111 (3.8) | 171 (5.9) | 265 (9.1) | 427 (14.7) | 824 (28.3) | 1,112 (38.2) | 2,910 |
| Oklahoma | 26 (4.1) | 36 (5.6) | 61 (9.5) | 92 (14.4) | 187 (29.2) | 238 (37.2) | 640 |
| Oregon | 17 (1.7) | 55 (5.5) | 87 (8.8) | 186 (18.7) | 270 (27.2) | 379 (38.1) | 994 |
| Pennsylvania | 132 (3.5) | 205 (5.5) | 322 (8.6) | 466 (12.5) | 1,096 (29.3) | 1,519 (40.6) | 3,740 |
| Rhode Island | 9 (2.3) | 16 (4.1) | 23 (6.0) | 45 (11.7) | 120 (31.1) | 173 (44.8) | 386 |
| South Carolina | 15 (2.1) | 28 (3.8) | 88 (12.1) | 150 (20.6) | 176 (24.1) | 272 (37.3) | 729 |
| South Dakota | — | — | — | 14 (20.3) | 26 (37.7) | 20 (29.0) | 69 |
| Tennessee | 69 (4.3) | 91 (5.7) | 172 (10.8) | 212 (13.3) | 438 (27.4) | 616 (38.5) | 1,598 |
| Texas | 194 (2.7) | 364 (5.1) | 661 (9.3) | 996 (14.0) | 2,061 (28.9) | 2,857 (40.1) | 7,133 |
| Utah | 9 (2.4) | 13 (3.5) | 34 (9.1) | 52 (13.9) | 96 (25.7) | 170 (45.5) | 374 |
| Vermont | — | — | 21 (12.1) | 29 (16.7) | 56 (32.2) | 57 (32.8) | 174 |
| Virginia | 48 (2.4) | 81 (4.1) | 157 (7.9) | 233 (11.7) | 636 (31.8) | 842 (42.2) | 1,997 |
| Washington | 47 (2.1) | 121 (5.4) | 250 (11.1) | 373 (16.6) | 652 (29.0) | 808 (35.9) | 2,251 |
| West Virginia | 8 (3.4) | 14 (6.0) | 31 (13.3) | 32 (13.7) | 59 (25.3) | 89 (38.2) | 233 |
| Wisconsin†† | 15 (2.1) | 38 (5.3) | 69 (9.6) | 93 (12.9) | 218 (30.2) | 289 (40.0) | 722 |
| Total | 1,864 (2.9) | 3,359 (5.2) | 6,068 (9.5) | 9,707 (15.1) | 17,974 (28.0) | 25,148 (39.2) | 64,120 |
| Abortion rate§§ | 0.6 | 2.2 | 4.0 | 6.4 | 11.5 | 15.6 | |
| Abortion ratio¶¶ | 768 | 459 | 348 | 292 | 304 | 265 | |
* Data from 46 reporting areas; excludes six reporting areas (California, Florida, Illinois, Maryland, New Hampshire, and Wyoming) that did not report, did not report age among adolescents by individual year, or did not meet reporting standards.
† Percentages for the individual component categories might not add to 100 because of rounding.
§ Cell details are not displayed because of small numbers (n = 1–4).
¶ Because reporting is not mandatory, a complete number of abortions performed in the District of Columbia could not be obtained.
** Data from hospitals and licensed ambulatory care facilities only; because reporting is not mandatory for private physicians and women’s centers, information could not be obtained for all abortions performed in New Jersey.
†† Includes residents only.
§§ Number of abortions obtained by adolescents in a given age group per 1,000 adolescents in that same age group. Adolescents aged 13–14 years were used as the denominator for adolescents aged <15 years.
¶¶ Number of abortions obtained by adolescents in a given age group per 1,000 live births to adolescents in that same age group.
TABLE 6. Reported abortions among adolescents, by known age and year — selected reporting areas,* United States, 2004–2013
| Age (yrs) | Year | % change | ||||||||||||
|---|---|---|---|---|---|---|---|---|---|---|---|---|---|---|
| 2004 | 2005 | 2006 | 2007 | 2008 | 2009 | 2010 | 2011 | 2012 | 2013 | 2004 to 2008 | 2009 to 2013 | 2012 to 2013 | 2004 to 2013 | |
| % of abortions | ||||||||||||||
| <15 | 3.3 | 3.4 | 3.1 | 3.1 | 3.0 | 3.0 | 3.0 | 3.0 | 3.1 | 2.9 | -9.1 | -3.3 | -6.5 | -12.1 |
| 15 | 6.1 | 6.4 | 6.1 | 5.9 | 5.8 | 5.6 | 5.8 | 5.5 | 5.5 | 5.2 | -4.9 | -7.1 | -5.5 | -14.8 |
| 16 | 11.6 | 11.4 | 11.6 | 11.3 | 10.8 | 10.6 | 10.3 | 10.0 | 9.8 | 9.4 | -6.9 | -11.3 | -4.1 | -19.0 |
| 17 | 16.9 | 17.1 | 17.3 | 17.4 | 17.1 | 16.9 | 16.3 | 16.1 | 15.6 | 15.1 | 1.2 | -10.7 | -3.2 | -10.7 |
| 18 | 28.3 | 27.8 | 28.0 | 28.1 | 28.3 | 28.0 | 27.7 | 28.1 | 27.8 | 28.1 | 0.0 | 0.4 | 1.1 | -0.7 |
| 19 | 33.8 | 33.9 | 34.0 | 34.1 | 34.9 | 35.9 | 36.8 | 37.2 | 38.2 | 39.3 | 3.3 | 9.5 | 2.9 | 16.3 |
| Abortion rate† | ||||||||||||||
| <15 | 1.2 | 1.2 | 1.2 | 1.2 | 1.1 | 1.0 | 1.0 | 0.8 | 0.7 | 0.6 | -8.3 | -40.0 | -14.3 | -50.0 |
| 15 | 4.7 | 4.6 | 4.6 | 4.4 | 4.3 | 3.9 | 3.6 | 3.1 | 2.6 | 2.2 | -8.5 | -43.6 | -15.4 | -53.2 |
| 16 | 9.0 | 8.5 | 8.6 | 8.3 | 7.8 | 7.1 | 6.3 | 5.5 | 4.7 | 4.0 | -13.3 | -43.7 | -14.9 | -55.6 |
| 17 | 13.3 | 13.0 | 13.2 | 12.6 | 12.3 | 11.2 | 9.9 | 8.7 | 7.3 | 6.4 | -7.5 | -42.9 | -12.3 | -51.9 |
| 18 | 22.0 | 21.0 | 21.4 | 20.8 | 19.6 | 18.0 | 16.2 | 14.9 | 12.8 | 11.6 | -10.9 | -35.6 | -9.4 | -47.3 |
| 19 | 25.9 | 25.3 | 26.0 | 25.4 | 24.9 | 22.5 | 21.1 | 19.0 | 17.2 | 15.7 | -3.9 | -30.2 | -8.7 | -39.4 |
| Abortion ratio§ | ||||||||||||||
| <15 | 764 | 776 | 747 | 770 | 795 | 810 | 833 | 820 | 781 | 777 | 4.1 | -4.1 | -0.5 | 1.7 |
| 15 | 531 | 545 | 529 | 504 | 520 | 505 | 540 | 514 | 480 | 457 | -2.1 | -9.5 | -4.8 | -13.9 |
| 16 | 440 | 434 | 432 | 414 | 397 | 391 | 393 | 384 | 355 | 348 | -9.8 | -11.0 | -2.0 | -20.9 |
| 17 | 361 | 359 | 354 | 345 | 339 | 332 | 329 | 328 | 301 | 294 | -6.1 | -11.4 | -2.3 | -18.6 |
| 18 | 381 | 367 | 359 | 346 | 345 | 329 | 335 | 334 | 309 | 308 | -9.4 | -6.4 | -0.3 | -19.2 |
| 19 | 324 | 316 | 311 | 299 | 304 | 295 | 300 | 288 | 271 | 268 | -6.2 | -9.2 | -1.1 | -17.3 |
| Total (no.) | 114,501 | 112,076 | 115,185 | 113,524 | 111,046 | 101,875 | 92,511 | 81,145 | 69,967 | 61,941 | — | — | — | — |
* Data from 40 reporting areas; by year, these areas represent 89%–97% of all abortions reported to CDC for adolescents during 2004–2013. Excludes 12 reporting areas (California, District of Columbia, Florida, Illinois, Louisiana, Maine, Maryland, New Hampshire, Rhode Island, Vermont, West Virginia, and Wyoming) that did not report, did not report age among adolescents by individual year, or did not meet reporting standards for ≥1 year.
† Number of abortions obtained by adolescents in a given age group per 1,000 adolescents in that same age group. Adolescents aged 13–14 years were used as the denominator for adolescents aged <15 years.
§ Number of abortions obtained by adolescents in a given age group per 1,000 live births to adolescents in that same age group.
TABLE 7. Reported abortions, by known weeks of gestation* and reporting area of occurrence — selected reporting areas,† United States, 2013
| State/Area | Weeks of gestation | Total abortions reported by known gestational age | |||||
|---|---|---|---|---|---|---|---|
| ≤8 | 9–13 | 14–15 | 16–17 | 18–20 | ≥21 | ||
| No. (%)§ | No. (%) | No. (%) | No. (%) | No. (%) | No. (%) | No. (% of all reported abortions)¶ | |
| Alabama | 4,857 (57.2) | 2,737 (32.3) | 407 (4.8) | 261 (3.1) | 212 (2.5) | 11 (0.1) | 8,485 (100.0) |
| Alaska | 915 (65.2) | 484 (34.5) | —** | — | 0 (0.0) | 0 (0.0) | 1,403 (96.8) |
| Arizona | 8,663 (64.8) | 3,518 (26.3) | 535 (4.0) | 282 (2.1) | 239 (1.8) | 138 (1.0) | 13,375 (99.8) |
| Arkansas | 2,260 (60.6) | 1,003 (26.9) | 156 (4.2) | 138 (3.7) | 173 (4.6) | 0 (0.0) | 3,730 (100.0) |
| Colorado | 6,979 (71.0) | 2,122 (21.6) | 253 (2.6) | 140 (1.4) | 76 (0.8) | 256 (2.6) | 9,826 (96.3) |
| Delaware | 2,036 (67.0) | 890 (29.3) | 88 (2.9) | 14 (0.5) | — | — | 3,039 (99.9) |
| Georgia | 18,976 (61.9) | 8,489 (27.7) | 958 (3.1) | 745 (2.4) | 800 (2.6) | 705 (2.3) | 30,673 (100.0) |
| Hawaii | 1,246 (63.9) | 601 (30.8) | 28 (1.4) | 56 (2.9) | 11 (0.6) | 7 (0.4) | 1,949 (99.1) |
| Idaho | 921 (67.0) | 438 (31.9) | — | 6 (0.4) | — | — | 1,375 (100.0) |
| Indiana | 4,793 (58.6) | 3,324 (40.6) | 42 (0.5) | — | 13 (0.2) | — | 8,178 (100.0) |
| Iowa | 3,203 (72.6) | 922 (20.9) | 111 (2.5) | 78 (1.8) | 82 (1.9) | 15 (0.3) | 4,411 (99.7) |
| Kansas | 4,908 (66.1) | 1,908 (25.7) | 226 (3.0) | 174 (2.3) | 174 (2.3) | 32 (0.4) | 7,422 (100.0) |
| Kentucky | 2,231 (61.4) | 1,011 (27.8) | 148 (4.1) | 87 (2.4) | 112 (3.1) | 46 (1.3) | 3,635 (99.9) |
| Louisiana | 6,348 (63.9) | 2,851 (28.7) | 388 (3.9) | 190 (1.9) | 114 (1.1) | 44 (0.4) | 9,935 (99.6) |
| Maine | 1,241 (64.0) | 594 (30.7) | 52 (2.7) | 22 (1.1) | 18 (0.9) | 11 (0.6) | 1,938 (99.9) |
| Michigan | 15,586 (60.0) | 7,547 (29.0) | 1,250 (4.8) | 680 (2.6) | 551 (2.1) | 380 (1.5) | 25,994 (99.5) |
| Minnesota | 6,217 (62.8) | 2,648 (26.8) | 413 (4.2) | 230 (2.3) | 299 (3.0) | 91 (0.9) | 9,898 (99.9) |
| Mississippi | 1,322 (61.0) | 674 (31.1) | 144 (6.6) | 27 (1.2) | 0 (0.0) | 0 (0.0) | 2,167 (99.9) |
| Missouri | 3,179 (58.7) | 1,624 (30.0) | 182 (3.4) | 210 (3.9) | 165 (3.0) | 56 (1.0) | 5,416 (100.0) |
| Montana | 1,268 (68.8) | 415 (22.5) | 73 (4.0) | 36 (2.0) | 39 (2.1) | 11 (0.6) | 1,842 (100.0) |
| Nebraska | 1,547 (71.1) | 515 (23.7) | 64 (2.9) | 34 (1.6) | 16 (0.7) | 0 (0.0) | 2,176 (100.0) |
| Nevada | 4,281 (70.7) | 1,284 (21.2) | 203 (3.4) | 106 (1.8) | 80 (1.3) | 102 (1.7) | 6,056 (100.0) |
| New Jersey†† | 12,626 (58.6) | 5,082 (23.6) | 1,331 (6.2) | 958 (4.4) | 838 (3.9) | 705 (3.3) | 21,540 (99.2) |
| New Mexico | 2,675 (64.6) | 838 (20.3) | 128 (3.1) | 122 (2.9) | 116 (2.8) | 259 (6.3) | 4,138 (98.6) |
| New York City | 47,493 (68.0) | 15,219 (21.8) | 2,034 (2.9) | 1,485 (2.1) | 1,821 (2.6) | 1,752 (2.5) | 69,804 (99.9) |
| North Carolina | 15,080 (67.4) | 5,818 (26.0) | 820 (3.7) | 380 (1.7) | 259 (1.2) | 23 (0.1) | 22,380 (98.1) |
| North Dakota | 808 (68.4) | 328 (27.7) | 41 (3.5) | — | 0 (0.0) | — | 1,182 (100.0) |
| Ohio | 13,128 (56.6) | 7,413 (31.9) | 1,190 (5.1) | 705 (3.0) | 600 (2.6) | 173 (0.7) | 23,209 (100.0) |
| Oklahoma | 3,600 (71.9) | 1,161 (23.2) | 133 (2.7) | 83 (1.7) | 32 (0.6) | 0 (0.0) | 5,009 (99.9) |
| Oregon | 5,287 (65.6) | 2,027 (25.1) | 239 (3.0) | 168 (2.1) | 192 (2.4) | 148 (1.8) | 8,061 (97.3) |
| Rhode Island | 2,204 (68.4) | 743 (23.0) | 135 (4.2) | 52 (1.6) | 63 (2.0) | 27 (0.8) | 3,224 (99.2) |
| South Carolina | 4,077 (69.4) | 1,692 (28.8) | 49 (0.8) | 10 (0.2) | 24 (0.4) | 26 (0.4) | 5,878 (100.0) |
| South Dakota | 393 (65.8) | 197 (33.0) | — | 0 (0.0) | — | — | 597 (99.3) |
| Tennessee | 9,645 (69.0) | 3,872 (27.7) | 380 (2.7) | 69 (0.5) | 5 (0.0) | 10 (0.1) | 13,981 (98.3) |
| Texas | 46,241 (73.2) | 13,556 (21.5) | 2,100 (3.3) | 443 (0.7) | 481 (0.8) | 313 (0.5) | 63,134 (99.9) |
| Utah | 2,208 (71.6) | 692 (22.5) | 62 (2.0) | 50 (1.6) | 52 (1.7) | 18 (0.6) | 3,082 (99.4) |
| Vermont | 875 (72.0) | 273 (22.5) | 36 (3.0) | 14 (1.2) | 12 (1.0) | 6 (0.5) | 1,216 (99.9) |
| Virginia | 14,338 (68.8) | 6,134 (29.5) | 194 (0.9) | 55 (0.3) | 87 (0.4) | 19 (0.1) | 20,827 (99.9) |
| Washington | 12,116 (68.9) | 3,927 (22.3) | 491 (2.8) | 320 (1.8) | 359 (2.0) | 367 (2.1) | 17,580 (99.9) |
| West Virginia | 1,010 (53.8) | 697 (37.2) | 94 (5.0) | 47 (2.5) | 21 (1.1) | 7 (0.4) | 1,876 (100.0) |
| Total | 296,781(66.0) | 115,268 (25.6) | 15,188 (3.4) | 8,484 (1.9) | 8,150 (1.8) | 5,770 (1.3) | 449,641 (99.6)§§ |
* Gestational age based on the clinician’s estimate (Alabama, Alaska, Arizona, Colorado, Georgia, Hawaii, Idaho, Indiana, Iowa, Kansas, Kentucky, Louisiana, Maine, Michigan, Minnesota, Missouri, Montana, Nebraska, Nevada, New Jersey, New Mexico, New York City, North Carolina, Ohio, Oregon, Rhode Island, South Carolina, South Dakota, Tennessee, Texas, Utah, Vermont, Washington, and West Virginia); gestational age calculated from the last normal menstrual period (Arkansas, Oklahoma, and Virginia); method of determining gestational age not specified (Delaware, Mississippi, and North Dakota).
† Data are from 40 reporting areas; excludes 12 areas (California, Connecticut, District of Columbia, Florida, Illinois, Maryland, Massachusetts, New Hampshire, New York State, Pennsylvania, Wisconsin, and Wyoming) that did not report, did not report by gestational age, or did not meet reporting standards.
§ Percentages for the individual component categories might not add to 100 because of rounding.
¶ Percentage is calculated as the number of abortions reported by known gestational age divided by the sum of abortions reported by known and unknown gestational age.
** Cell details are not displayed because of small numbers (n = 1–4).
†† Data from hospitals and licensed ambulatory care facilities only; because reporting is not mandatory for private physicians and women’s centers, information could not be obtained for all abortions performed in New Jersey.
§§ Percentage is based on a total of 451,613 abortions reported among the areas that met reporting standards for gestational age.
TABLE 8. Reported abortions, by known weeks of gestation and year — selected reporting areas,* United States, 2004–2013
| Weeks of gestation | Year | % change | ||||||||||||
|---|---|---|---|---|---|---|---|---|---|---|---|---|---|---|
| 2004 | 2005 | 2006 | 2007 | 2008 | 2009 | 2010 | 2011 | 2012 | 2013 | 2004 to 2008 | 2009 to 2013 | 2012 to 2013 | 2004 to 2013 | |
| ≤13 weeks’ gestation (%) | 91.5 | 91.5 | 91.6 | 91.6 | 91.5 | 91.9 | 91.9 | 91.5 | 91.5 | 91.5 | 0.0 | -0.4 | 0.0 | 0.0 |
| ≤8 | 63.2 | 63.5 | 63.7 | 64.0 | 64.4 | 65.5 | 66.0 | 65.9 | 66.1 | 66.0 | 1.9 | 0.8 | -0.2 | 4.4 |
| 9–13 | 28.3 | 28.0 | 27.9 | 27.6 | 27.1 | 26.4 | 25.9 | 25.6 | 25.4 | 25.5 | -4.2 | -3.4 | 0.4 | -9.9 |
| >13 weeks’ gestation (%) | 8.5 | 8.5 | 8.3 | 8.4 | 8.5 | 8.2 | 8.2 | 8.5 | 8.4 | 8.5 | 0.0 | 3.7 | 1.2 | 0.0 |
| 14–15 | 3.3 | 3.3 | 3.3 | 3.3 | 3.4 | 3.3 | 3.3 | 3.4 | 3.4 | 3.4 | 3.0 | 3.0 | 0.0 | 3.0 |
| 16–17 | 1.9 | 1.9 | 1.8 | 1.9 | 1.9 | 1.8 | 1.8 | 1.8 | 1.8 | 1.9 | 0.0 | 5.6 | 5.6 | 0.0 |
| 18–20 | 1.9 | 1.9 | 1.9 | 1.9 | 1.9 | 1.8 | 1.8 | 1.9 | 1.9 | 1.9 | 0.0 | 5.6 | 0.0 | 0.0 |
| ≥21 | 1.4 | 1.4 | 1.3 | 1.3 | 1.3 | 1.3 | 1.3 | 1.4 | 1.3 | 1.3 | -7.1 | 0.0 | 0.0 | -7.1 |
| Total (no.) | 524,250 | 512,867 | 526,806 | 520,385 | 522,843 | 499,093 | 488,635 | 462,746 | 437,338 | 416,611 | — | — | — | — |
* Data from 30 reporting areas; by year, these reporting areas represent 78%–83% of the abortions reported to CDC by gestational age during 2004–2013. Excludes 22 areas (Alaska, California, Connecticut, Delaware, District of Columbia, Florida, Illinois, Louisiana, Maine, Maryland, Massachusetts, Mississippi, Nebraska, Nevada, New Hampshire, New York State, Pennsylvania, Rhode Island, Vermont, West Virginia, Wisconsin, and Wyoming) that did not report, did not report by gestational age, or did not meet reporting standards for ≥1 year.
TABLE 9. Reported abortions obtained at ≤13 weeks’ gestation,* by weeks of gestation and reporting area of occurrence — selected reporting areas,† United States, 2013
| State/Area | Weeks of gestation | Total no. of abortions at ≤13 weeks | |||||||
|---|---|---|---|---|---|---|---|---|---|
| ≤6 | 7 | 8 | 9 | 10 | 11 | 12 | 13 | ||
| No. (%)§ | No. (%) | No. (%) | No. (%) | No. (%) | No. (%) | No. (%) | No. (%) | ||
| Alabama | 2,129 (28.0) | 1,581 (20.8) | 1,147 (15.1) | 827 (10.9) | 642 (8.5) | 515 (6.8) | 414 (5.5) | 339 (4.5) | 7,594 |
| Alaska | 446 (31.9) | 244 (17.4) | 225 (16.1) | 133 (9.5) | 108 (7.7) | 75 (5.4) | 84 (6.0) | 84 (6.0) | 1,399 |
| Arizona | 3,682 (30.2) | 2,900 (23.8) | 2,081 (17.1) | 1,170 (9.6) | 922 (7.6) | 731 (6.0) | 387 (3.2) | 308 (2.5) | 12,181 |
| Arkansas | 1,213 (37.2) | 523 (16.0) | 524 (16.1) | 327 (10.0) | 203 (6.2) | 233 (7.1) | 120 (3.7) | 120 (3.7) | 3,263 |
| Colorado | 3,848 (42.3) | 1,808 (19.9) | 1,323 (14.5) | 770 (8.5) | 478 (5.3) | 378 (4.2) | 253 (2.8) | 243 (2.7) | 9,101 |
| Delaware | 938 (32.1) | 580 (19.8) | 518 (17.7) | 346 (11.8) | 179 (6.1) | 156 (5.3) | 110 (3.8) | 99 (3.4) | 2,926 |
| Georgia | 9,183 (33.4) | 5,949 (21.7) | 3,844 (14.0) | 2,589 (9.4) | 1,842 (6.7) | 1,620 (5.9) | 1,371 (5.0) | 1,067 (3.9) | 27,465 |
| Hawaii | 598 (32.4) | 332 (18.0) | 316 (17.1) | 194 (10.5) | 128 (6.9) | 116 (6.3) | 89 (4.8) | 74 (4.0) | 1,847 |
| Idaho | 349 (25.7) | 336 (24.7) | 236 (17.4) | 143 (10.5) | 91 (6.7) | 87 (6.4) | 57 (4.2) | 60 (4.4) | 1,359 |
| Indiana | 1,623 (20.0) | 1,585 (19.5) | 1,585 (19.5) | 1,076 (13.3) | 781 (9.6) | 586 (7.2) | 432 (5.3) | 449 (5.5) | 8,117 |
| Iowa | 1,945 (47.2) | 697 (16.9) | 561 (13.6) | 300 (7.3) | 191 (4.6) | 160 (3.9) | 154 (3.7) | 117 (2.8) | 4,125 |
| Kansas | 2,560 (37.6) | 1,361 (20.0) | 987 (14.5) | 648 (9.5) | 422 (6.2) | 350 (5.1) | 303 (4.4) | 185 (2.7) | 6,816 |
| Kentucky | 693 (21.4) | 864 (26.7) | 674 (20.8) | 327 (10.1) | 232 (7.2) | 210 (6.5) | 153 (4.7) | 89 (2.7) | 3,242 |
| Louisiana | 3,366 (36.6) | 1,657 (18.0) | 1,325 (14.4) | 959 (10.4) | 654 (7.1) | 493 (5.4) | 412 (4.5) | 333 (3.6) | 9,199 |
| Maine | 547 (29.8) | 395 (21.5) | 299 (16.3) | 165 (9.0) | 150 (8.2) | 122 (6.6) | 94 (5.1) | 63 (3.4) | 1,835 |
| Michigan | 7,310 (31.6) | 4,487 (19.4) | 3,789 (16.4) | 2,634 (11.4) | 1,685 (7.3) | 1,295 (5.6) | 1,132 (4.9) | 801 (3.5) | 23,133 |
| Minnesota | 2,769 (31.2) | 1,958 (22.1) | 1,490 (16.8) | 992 (11.2) | 599 (6.8) | 444 (5.0) | 332 (3.7) | 281 (3.2) | 8,865 |
| Mississippi | 370 (18.5) | 560 (28.1) | 392 (19.6) | 209 (10.5) | 146 (7.3) | 153 (7.7) | 98 (4.9) | 68 (3.4) | 1,996 |
| Missouri | 1,287 (26.8) | 1,010 (21.0) | 882 (18.4) | 523 (10.9) | 379 (7.9) | 387 (8.1) | 213 (4.4) | 122 (2.5) | 4,803 |
| Montana | 673 (40.0) | 321 (19.1) | 274 (16.3) | 131 (7.8) | 88 (5.2) | 73 (4.3) | 57 (3.4) | 66 (3.9) | 1,683 |
| Nebraska | 1,048 (50.8) | 285 (13.8) | 214 (10.4) | 156 (7.6) | 121 (5.9) | 84 (4.1) | 95 (4.6) | 59 (2.9) | 2,062 |
| Nevada | 2,072 (37.2) | 1,228 (22.1) | 981 (17.6) | 593 (10.7) | 255 (4.6) | 231 (4.2) | 119 (2.1) | 86 (1.5) | 5,565 |
| New Jersey¶ | 6,584 (37.2) | 3,668 (20.7) | 2,374 (13.4) | 1,513 (8.5) | 1,119 (6.3) | 743 (4.2) | 807 (4.6) | 900 (5.1) | 17,708 |
| New Mexico | 1,541 (43.9) | 622 (17.7) | 512 (14.6) | 298 (8.5) | 190 (5.4) | 137 (3.9) | 122 (3.5) | 91 (2.6) | 3,513 |
| New York City | 26,242 (41.8) | 12,303 (19.6) | 8,948 (14.3) | 5,733 (9.1) | 3,485 (5.6) | 2,644 (4.2) | 2,072 (3.3) | 1,285 (2.0) | 62,712 |
| North Carolina | 7,077 (33.9) | 4,614 (22.1) | 3,389 (16.2) | 1,961 (9.4) | 1,316 (6.3) | 1,106 (5.3) | 826 (4.0) | 609 (2.9) | 20,898 |
| North Dakota | 392 (34.5) | 264 (23.2) | 152 (13.4) | 116 (10.2) | 79 (7.0) | 56 (4.9) | 48 (4.2) | 29 (2.6) | 1,136 |
| Ohio | 5,865 (28.6) | 4,287 (20.9) | 2,976 (14.5) | 2,302 (11.2) | 1,708 (8.3) | 1,514 (7.4) | 1,100 (5.4) | 789 (3.8) | 20,541 |
| Oklahoma | 2,386 (50.1) | 672 (14.1) | 542 (11.4) | 394 (8.3) | 324 (6.8) | 238 (5.0) | 120 (2.5) | 85 (1.8) | 4,761 |
| Oregon | 2,857 (39.1) | 1,382 (18.9) | 1,048 (14.3) | 664 (9.1) | 454 (6.2) | 340 (4.6) | 309 (4.2) | 260 (3.6) | 7,314 |
| Rhode Island | 1,317 (44.7) | 523 (17.7) | 364 (12.4) | 240 (8.1) | 188 (6.4) | 151 (5.1) | 79 (2.7) | 85 (2.9) | 2,947 |
| South Carolina | 2,144 (37.2) | 1,077 (18.7) | 856 (14.8) | 509 (8.8) | 436 (7.6) | 359 (6.2) | 209 (3.6) | 179 (3.1) | 5,769 |
| South Dakota | 170 (28.8) | 142 (24.1) | 81 (13.7) | 65 (11.0) | 45 (7.6) | 31 (5.3) | 24 (4.1) | 32 (5.4) | 590 |
| Tennessee | 5,193 (38.4) | 2,619 (19.4) | 1,833 (13.6) | 1,213 (9.0) | 877 (6.5) | 776 (5.7) | 598 (4.4) | 408 (3.0) | 13,517 |
| Texas | 29,940 (50.1) | 9,256 (15.5) | 7,045 (11.8) | 4,617 (7.7) | 3,020 (5.1) | 2,564 (4.3) | 1,720 (2.9) | 1,635 (2.7) | 59,797 |
| Utah | 1,133 (39.1) | 655 (22.6) | 420 (14.5) | 232 (8.0) | 143 (4.9) | 113 (3.9) | 82 (2.8) | 122 (4.2) | 2,900 |
| Vermont | 433 (37.7) | 266 (23.2) | 176 (15.3) | 97 (8.4) | 67 (5.8) | 41 (3.6) | 34 (3.0) | 34 (3.0) | 1,148 |
| Virginia | 6,982 (34.1) | 4,020 (19.6) | 3,336 (16.3) | 2,039 (10.0) | 1,512 (7.4) | 1,004 (4.9) | 967 (4.7) | 612 (3.0) | 20,472 |
| Washington | 6,574 (41.0) | 3,198 (19.9) | 2,344 (14.6) | 1,303 (8.1) | 897 (5.6) | 721 (4.5) | 528 (3.3) | 478 (3.0) | 16,043 |
| West Virginia | 325 (19.0) | 358 (21.0) | 327 (19.2) | 224 (13.1) | 170 (10.0) | 137 (8.0) | 102 (6.0) | 64 (3.7) | 1,707 |
| Total | 155,804 (37.8) | 80,587 (19.6) | 60,390 (14.7) | 38,732 (9.4) | 26,326 (6.4) | 21,174 (5.1) | 16,226 (3.9) | 12,810 (3.1) | 412,049 |
* Gestational age based on the clinician’s estimate (Alabama, Alaska, Arizona, Colorado, Georgia, Hawaii, Idaho, Indiana, Iowa, Kansas, Kentucky, Louisiana, Maine, Michigan, Minnesota, Missouri, Montana, Nebraska, Nevada, New Jersey, New Mexico, New York City, North Carolina, Ohio, Oregon, Rhode Island, South Carolina, South Dakota, Tennessee, Texas, Utah, Vermont, Washington, and West Virginia); gestational age calculated from the last normal menstrual period (Arkansas, Oklahoma, and Virginia); method of determining gestational age not specified (Delaware, Mississippi, and North Dakota).
† Data are from 40 reporting areas; excludes 12 areas (California, Connecticut, District of Columbia, Florida, Illinois, Maryland, Massachusetts, New Hampshire, New York State, Pennsylvania, Wisconsin, and Wyoming) that did not report, did not report by gestational age, or did not meet reporting standards.
§ Percentages for the individual component categories might not add to 100 because of rounding.
¶ Data from hospitals and licensed ambulatory care facilities only; because reporting is not mandatory for private physicians and women’s centers, information could not be obtained for all abortions performed in New Jersey.
TABLE 10. Reported abortions obtained at ≤13 weeks’ gestation, by weeks of gestation and year — selected reporting areas,* United States, 2004–2013
| Weeks of gestation | Year | % change | ||||||||||||
|---|---|---|---|---|---|---|---|---|---|---|---|---|---|---|
| 2004 | 2005 | 2006 | 2007 | 2008 | 2009 | 2010 | 2011 | 2012 | 2013 | 2004 to 2008 | 2009 to 2013 | 2012 to 2013 | 2004 to 2013 | |
| % distribution among abortions reported at ≤13 weeks | ||||||||||||||
| ≤6 | 32.8 | 34.1 | 34.2 | 35.2 | 35.7 | 36.9 | 38.0 | 37.8 | 38.6 | 38.0 | 8.8 | 3.0 | -1.6 | 15.9 |
| 7 | 20.0 | 19.8 | 20.1 | 20.1 | 19.9 | 19.5 | 19.3 | 19.6 | 19.4 | 19.5 | -0.5 | 0.0 | 0.5 | -2.5 |
| 8 | 16.3 | 15.5 | 15.2 | 14.7 | 14.8 | 14.9 | 14.5 | 14.6 | 14.3 | 14.6 | -9.2 | -2.0 | 2.1 | -10.4 |
| 9 | 10.5 | 10.4 | 10.4 | 10.2 | 9.9 | 9.7 | 9.7 | 9.5 | 9.4 | 9.3 | -5.7 | -4.1 | -1.1 | -11.4 |
| 10 | 7.6 | 7.5 | 7.3 | 7.3 | 7.1 | 6.8 | 6.6 | 6.5 | 6.3 | 6.4 | -6.6 | -5.9 | 1.6 | -15.8 |
| 11 | 5.5 | 5.4 | 5.3 | 5.4 | 5.4 | 5.3 | 5.1 | 5.2 | 5.1 | 5.1 | -1.8 | -3.8 | 0.0 | -7.3 |
| 12 | 4.2 | 4.2 | 4.3 | 4.2 | 4.2 | 4.1 | 3.9 | 4.0 | 3.9 | 3.9 | 0.0 | -4.9 | 0.0 | -7.1 |
| 13 | 3.1 | 3.1 | 3.1 | 3.1 | 3.0 | 2.9 | 2.8 | 2.9 | 3.0 | 3.1 | -3.2 | 6.9 | 3.3 | 0.0 |
| Total (no.) | 479,577 | 469,163 | 482,612 | 476,466 | 478,337 | 458,331 | 448,934 | 423,384 | 399,975 | 381,265 | — | — | — | — |
*Data from 30 reporting areas; by year, these reporting areas represent 83%–89% of the abortions reported to CDC at ≤13 weeks’ gestation during 2004–2013. Excludes 22 reporting areas (Alaska, California, Connecticut, Delaware, District of Columbia, Florida, Illinois, Louisiana, Maine, Maryland, Massachusetts, Mississippi, Nebraska, Nevada, New Hampshire, New York State, Pennsylvania, Rhode Island, Vermont, West Virginia, Wisconsin, and Wyoming) that did not report, did not report by gestational age, or did not meet reporting standards for ≥1 year.
TABLE 11. Reported abortions, by known method type and reporting area of occurrence — selected reporting areas,* United States, 2013
| State/Area | Curettage† | Medical | Intrauterine instillation§ | Hysterectomy/Hysterotomy | Total abortions by known method type | ||||
|---|---|---|---|---|---|---|---|---|---|
| Curettage, ≤13 weeks’ gestation | Curettage, >13 weeks’ gestation | Curettage, unknown gestational age | Medical, ≤8 weeks’ gestation | Medical, >8 weeks’ gestation | Medical, unknown gestational age | ||||
| No. (%)¶ | No. (%) | No. (%) | No. (%) | No. (%) | No. (%) | No. (%) | No. (%) | No. (% of all reported abortions)** | |
| Alabama | 5,381 (63.7) | 874 (10.3) | 0 (0.0) | 2,133 (25.3) | 53 (0.6) | 0 (0.0) | — | — | 8,445 (99.5) |
| Alaska | 1,082 (76.4) | —†† | 20 (1.4) | 279 (19.7) | 7 (0.5) | 25 (1.8) | 0 (0.0) | — | 1,417 (97.7) |
| Arizona | 8,385 (63.0) | 1,161 (8.7) | 15 (0.1) | 3,657 (27.5) | 86 (0.6) | — | 8 (0.1) | — | 13,313 (99.3) |
| Arkansas | 2,620 (70.2) | 464 (12.4) | 0 (0.0) | 595 (16.0) | 51 (1.4) | 0 (0.0) | 0 (0.0) | 0 (0.0) | 3,730 (100.0) |
| Colorado | 5,125 (51.4) | 487 (4.9) | 182 (1.8) | 3,799 (38.1) | 191 (1.9) | 191 (1.9) | — | — | 9,976 (97.8) |
| Connecticut§§ | NA | NA | 6,805 (64.4) | NA | NA | 3,753 (35.5) | — | — | 10,560 (100.0) |
| Delaware | 1,412 (46.7) | 107 (3.5) | — | 1,377 (45.5) | 123 (4.1) | 0 (0.0) | — | 0 (0.0) | 3,026 (99.5) |
| District of Columbia¶¶ | 1,500 (58.6) | 458 (17.9) | 24 (0.9) | 579 (22.6) | 0 (0.0) | 0 (0.0) | 0 (0.0) | 0 (0.0) | 2,561 (100.0) |
| Georgia | 22,107 (73.2) | 3,205 (10.6) | 0 (0.0) | 4,787 (15.9) | 102 (0.3) | 0 (0.0) | 0 (0.0) | 0 (0.0) | 30,201 (98.5) |
| Idaho | 847 (61.8) | 9 (0.7) | 0 (0.0) | 498 (36.3) | 15 (1.1) | 0 (0.0) | — | — | 1,371 (99.7) |
| Indiana | 6,484 (79.3) | 60 (0.7) | — | 1,521 (18.6) | 111 (1.4) | 0 (0.0) | 0 (0.0) | — | 8,177 (100.0) |
| Iowa | 1,804 (41.0) | 265 (6.0) | — | 2,230 (50.7) | 92 (2.1) | 7 (0.2) | 0 (0.0) | — | 4,402 (99.5) |
| Kansas | 3,915 (52.8) | 605 (8.2) | 0 (0.0) | 2,832 (38.2) | 69 (0.9) | 0 (0.0) | 0 (0.0) | 0 (0.0) | 7,421 (100.0) |
| Kentucky | 2,154 (59.4) | 389 (10.7) | — | 1,081 (29.8) | — | — | 0 (0.0) | 0 (0.0) | 3,628 (99.8) |
| Maine | 1,353 (69.9) | 81 (4.2) | 0 (0.0) | 468 (24.2) | 31 (1.6) | — | 0 (0.0) | — | 1,935 (99.8) |
| Massachusetts§§ | NA | NA | 14,448 (74.8) | NA | NA | 4,878 (25.2) | — | — | 19,328 (99.4) |
| Michigan | 18,058 (69.3) | 2,809 (10.8) | 93 (0.4) | 4,820 (18.5) | 250 (1.0) | 33 (0.1) | — | — | 26,070 (99.8) |
| Minnesota | 6,213 (62.7) | 1,004 (10.1) | 6 (0.1) | 2,453 (24.8) | 207 (2.1) | 0 (0.0) | 20 (0.2) | 0 (0.0) | 9,903 (100.0) |
| Mississippi | 1,276 (58.8) | 170 (7.8) | 0 (0.0) | 680 (31.3) | 41 (1.9) | — | 0 (0.0) | — | 2,170 (100.0) |
| Missouri | 3,456 (63.9) | 599 (11.1) | 0 (0.0) | 1,318 (24.4) | 39 (0.7) | 0 (0.0) | 0 (0.0) | 0 (0.0) | 5,412 (99.9) |
| Montana | 894 (48.6) | 158 (8.6) | 0 (0.0) | 766 (41.6) | 23 (1.2) | 0 (0.0) | 0 (0.0) | 0 (0.0) | 1,841 (99.9) |
| Nebraska | 1,150 (52.8) | 112 (5.1) | — | 890 (40.9) | 24 (1.1) | 0 (0.0) | 0 (0.0) | — | 2,177 (100.0) |
| Nevada | 3,851 (67.5) | 448 (7.8) | 0 (0.0) | 1,352 (23.7) | 57 (1.0) | 0 (0.0) | — | — | 5,709 (94.3) |
| New Jersey*** | 16,289 (75.0) | 3,796 (17.5) | 171 (0.8) | 1,341 (6.2) | 106 (0.5) | 9 (0.0) | 0 (0.0) | 8 (0.0) | 21,720 (100.0) |
| New Mexico | 2,461 (61.3) | 413 (10.3) | 24 (0.6) | 895 (22.3) | 208 (5.2) | 12 (0.3) | 0 (0.0) | 0 (0.0) | 4,013 (95.6) |
| New York | 66,696 (68.4) | 8,524 (8.7) | 4,412 (4.5) | 13,370 (13.7) | 2,224 (2.3) | 2,007 (2.1) | 206 (0.2) | 7 (0.0) | 97,446 (99.4) |
| New York City | 52,224 (74.9) | 6,704 (9.6) | 30 (0.0) | 9,977 (14.3) | 678 (1.0) | — | 57 (0.1) | — | 69,681 (99.8) |
| New York State | 14,472 (52.1) | 1,820 (6.6) | 4,382 (15.8) | 3,393 (12.2) | 1,546 (5.6) | — | 149 (0.5) | — | 27,765 (98.4) |
| North Carolina | 14,153 (65.6) | 1,400 (6.5) | 288 (1.3) | 5,468 (25.3) | 170 (0.8) | 106 (0.5) | — | — | 21,587 (94.6) |
| North Dakota | 948 (80.3) | 45 (3.8) | 0 (0.0) | 186 (15.7) | — | 0 (0.0) | 0 (0.0) | — | 1,181 (99.9) |
| Ohio | 19,271 (83.9) | 2,599 (11.3) | 6 (0.0) | 1,053 (4.6) | 18 (0.1) | 0 (0.0) | 0 (0.0) | 17 (0.1) | 22,964 (98.9) |
| Oklahoma | 2,804 (56.0) | 247 (4.9) | 0 (0.0) | 1,870 (37.3) | 85 (1.7) | — | — | 0 (0.0) | 5,011 (100.0) |
| Oregon | 4,979 (60.4) | 700 (8.5) | 167 (2.0) | 2,221 (26.9) | 118 (1.4) | 59 (0.7) | — | — | 8,246 (99.5) |
| Pennsylvania | 18,978 (59.1) | 4,129 (12.9) | 0 (0.0) | 8,506 (26.5) | 477 (1.5) | — | 6 (0.0) | — | 32,098 (100.0) |
| Rhode Island | 2,057 (63.3) | 269 (8.3) | — | 839 (25.8) | 55 (1.7) | 23 (0.7) | — | 0 (0.0) | 3,248 (99.9) |
| South Carolina | 3,412 (58.1) | 82 (1.4) | 0 (0.0) | 2,278 (38.8) | 95 (1.6) | 0 (0.0) | — | — | 5,872 (99.9) |
| South Dakota | 331 (55.1) | — | 0 (0.0) | 243 (40.4) | 19 (3.2) | — | 0 (0.0) | 0 (0.0) | 601 (100.0) |
| Texas | 43,141 (68.3) | 3,245 (5.1) | 17 (0.0) | 16,388 (25.9) | 349 (0.6) | 15 (0.0) | — | — | 63,159 (100.0) |
| Utah | 2,110 (68.2) | 167 (5.4) | — | 767 (24.8) | 28 (0.9) | 16 (0.5) | 0 (0.0) | — | 3,092 (99.7) |
| Vermont | 651 (53.7) | 61 (5.0) | 0 (0.0) | 466 (38.4) | 34 (2.8) | — | 0 (0.0) | — | 1,213 (99.7) |
| Virginia | 15,817 (76.2) | 326 (1.6) | 20 (0.1) | 4,498 (21.7) | 85 (0.4) | — | — | — | 20,753 (99.5) |
| Washington | 10,933 (62.2) | 1,524 (8.7) | 5 (0.0) | 5,029 (28.6) | 91 (0.5) | 7 (0.0) | — | — | 17,590 (100.0) |
| West Virginia | 1,435 (76.5) | 161 (8.6) | 0 (0.0) | 259 (13.8) | 19 (1.0) | 0 (0.0) | — | — | 1,875 (99.9) |
| Wisconsin§§,††† | NA | NA | 5,083 (81.3) | NA | NA | 1,168 (18.7) | NA | NA | 6,251 (96.7) |
| Total | 353,767 (67.9) | 44,731 (8.6) | —§§§ | 115,471 (22.2) | 6,405 (1.2) | —¶¶¶ | 271 (0.1) | 48 (0.0) | 520,693 (99.2)**** |
Abbreviation: NA = not available.
* Data from 43 reporting areas; excludes nine reporting areas (California, Florida, Hawaii, Illinois, Louisiana, Maryland, New Hampshire, Tennessee, and Wyoming) that did not report, did not report by method type, or did not meet reporting standards.
† Includes aspiration curettage, suction curettage, manual vacuum aspiration, menstrual extraction, sharp curettage, and dilation and evacuation procedures.
§ Intrauterine instillations reported at ≤12 weeks’ gestation are not presented with abortions reported by known method type.
¶ Percentages for the individual component categories might not add to 100 because of rounding.
** Percentage is calculated as the number of abortions reported by known method type divided by the sum of abortions reported by known and unknown method type.
†† Cell details are not displayed because of small numbers (n = 1–4).
§§ Numbers for curettage procedures at ≤13 weeks versus >13 weeks and for medical abortion at ≤8 weeks versus >8 weeks are not presented because gestational age data were not provided or were provided in incompatible categories.
¶¶ Because reporting is not mandatory, a complete number of abortions performed in the District of Columbia could not be obtained.
*** Data from hospitals and licensed ambulatory care facilities only; because reporting is not mandatory for private physicians and women’s centers, information could not be obtained for all abortions performed in New Jersey.
††† All abortions were reported as surgical or chemically induced. For this report, all surgical abortions were classified as curettage and all chemical abortions as medical.
§§§ Curettage abortions reported without a gestational age were distributed among the curettage categories according to the distribution of abortions performed by curettage at known gestational age.
¶¶¶ Medical abortions reported without a gestational age were distributed among the medical abortion categories according to the distribution of medical abortions at known gestational age.
**** Percentage is based on a total of 524,798 abortions reported among the areas that met reporting standards for method type.
TABLE 12. Reported abortions, by known race/ethnicity of women who obtained an abortion and reporting area of occurrence — selected reporting areas,* United States, 2013
| State/Area | Non-Hispanic | Hispanic | Total abortions reported by known race/ethnicity | ||
|---|---|---|---|---|---|
| White | Black | Other | No. (% of all reported abortions)§ | ||
| No. (%)† | No. (%) | No. (%) | No. (%) | ||
| Alabama | 2,883 (34.3) | 4,985 (59.3) | 241 (2.9) | 293 (3.5) | 8,402 (99.0) |
| Alaska | 777 (61.1) | 81 (6.4) | 390 (30.7) | 23 (1.8) | 1,271 (87.7) |
| Arkansas | 1,852 (49.7) | 1,527 (41.0) | 161 (4.3) | 187 (5.0) | 3,727 (99.9) |
| Colorado | 5,652 (58.8) | 704 (7.3) | 856 (8.9) | 2,402 (25.0) | 9,614 (94.3) |
| Delaware | 1,255 (41.4) | 1,283 (42.3) | 160 (5.3) | 336 (11.1) | 3,034 (99.7) |
| District of Columbia¶ | 547 (21.4) | 1,542 (60.2) | 209 (8.2) | 263 (10.3) | 2,561 (100.0) |
| Hawaii | 383 (20.5) | 75 (4.0) | 1,233 (66.0) | 177 (9.5) | 1,868 (95.0) |
| Idaho | 1,018 (77.0) | 20 (1.5) | 82 (6.2) | 202 (15.3) | 1,322 (96.1) |
| Indiana | 4,442 (58.0) | 2,145 (28.0) | 474 (6.2) | 603 (7.9) | 7,664 (93.7) |
| Kansas | 4,341 (59.6) | 1,571 (21.6) | 643 (8.8) | 730 (10.0) | 7,285 (98.2) |
| Michigan | 11,038 (42.7) | 12,966 (50.2) | 963 (3.7) | 868 (3.4) | 25,835 (98.9) |
| Minnesota | 5,067 (56.0) | 2,197 (24.3) | 1,256 (13.9) | 533 (5.9) | 9,053 (91.4) |
| Mississippi | 356 (16.5) | 1,570 (72.6) | 198 (9.2) | 39 (1.8) | 2,163 (99.7) |
| Missouri | 2,684 (50.0) | 2,262 (42.2) | 255 (4.8) | 165 (3.1) | 5,366 (99.1) |
| Montana | 1,575 (85.5) | 18 (1.0) | 187 (10.2) | 62 (3.4) | 1,842 (100.0) |
| New Jersey** | 4,702 (23.8) | 6,674 (33.8) | 3,952 (20.0) | 4,410 (22.3) | 19,738 (90.9) |
| New York | 22,871 (24.9) | 35,749 (39.0) | 7,808 (8.5) | 25,305 (27.6) | 91,733 (93.6) |
| New York City†† | 9,422 (14.0) | 29,007 (43.2) | 7,206 (10.7) | 21,555 (32.1) | 67,190 (96.2) |
| New York State | 13,449 (54.8) | 6,742 (27.5) | 602 (2.5) | 3,750 (15.3) | 24,543 (87.0) |
| North Carolina | 7,691 (37.2) | 9,950 (48.1) | 828 (4.0) | 2,222 (10.7) | 20,691 (90.7) |
| Ohio | 10,928 (51.0) | 8,497 (39.7) | 1,149 (5.4) | 842 (3.9) | 21,416 (92.2) |
| Oregon | 5,866 (74.7) | 501 (6.4) | 613 (7.8) | 874 (11.1) | 7,854 (94.8) |
| South Carolina | 2,939 (50.1) | 2,404 (41.0) | 232 (4.0) | 294 (5.0) | 5,869 (99.8) |
| South Dakota | 418 (69.9) | 57 (9.5) | 99 (16.6) | 24 (4.0) | 598 (99.5) |
| Tennessee | 5,929 (43.4) | 6,770 (49.6) | 403 (3.0) | 550 (4.0) | 13,652 (96.0) |
| Texas§§ | 17,321 (27.4) | 15,893 (25.2) | 5,179 (8.2) | 24,717 (39.2) | 63,110 (99.9) |
| Utah | 1,985 (68.1) | 90 (3.1) | 298 (10.2) | 542 (18.6) | 2,915 (94.0) |
| Vermont | 1,094 (90.9) | 20 (1.7) | 64 (5.3) | 26 (2.2) | 1,204 (98.9) |
| Virginia | 7,573 (38.0) | 8,916 (44.7) | 1,376 (6.9) | 2,063 (10.4) | 19,928 (95.6) |
| West Virginia | 1,627 (86.7) | 215 (11.5) | 25 (1.3) | 9 (0.5) | 1,876 (100.0) |
| Total | 134,814 (37.3) | 128,682 (35.6) | 29,334 (8.1) | 68,761 (19.0) | 361,591 (95.4)¶¶ |
| Abortion rate*** | 7.2 | 27.0 | 15.0 | 13.8 | 11.9 |
| Abortion ratio††† | 121 | 420 | 242 | 178 | 187 |
* Data from 29 reporting areas; excludes 23 reporting areas (Arizona, California, Connecticut, Florida, Georgia, Illinois, Iowa, Kentucky, Louisiana, Maine, Maryland, Massachusetts, Nebraska, Nevada, New Hampshire, New Mexico, North Dakota, Oklahoma, Pennsylvania, Rhode Island, Washington, Wisconsin, and Wyoming) that did not report, did not report by race/ethnicity, or did not meet reporting standards.
† Percentages for the individual component categories might not add to 100 because of rounding.
§ Percentage is calculated as the number of abortions reported by known race/ethnicity divided by the sum of abortions reported by known and unknown race/ethnicity.
¶ Because reporting is not mandatory, a complete number of abortions performed in the District of Columbia could not be obtained.
** Data from hospitals and licensed ambulatory care facilities only; because reporting is not mandatory for private physicians and women’s centers, information could not be obtained for all abortions performed in New Jersey.
†† Non-Hispanic categories include abortions for women whose ethnicity was reported as unknown; previous evaluation has shown that most reports without ethnicity are for non-Hispanic women.
§§ Reporting form contains only one question for race and ethnicity; therefore, abortions reported for women of white, black, and other races (Asian and Native American) are not explicitly identified as non-Hispanic.
¶¶ Percentage is based on a total of 378,861 abortions reported among the areas that met reporting standards for race/ethnicity.
*** Number of abortions obtained by women in a given race/ethnicity group per 1,000 women in that same group. For each reporting area, abortions for women of unknown race/ethnicity were distributed according to the distribution of abortions among women of known race/ethnicity for that area.
††† Number of abortions obtained by women in a given race/ethnicity group per 1,000 live births to women in that same race/ethnicity group. For each reporting area, abortions for women of unknown race/ethnicity were distributed according to the distribution of abortions among women of known race/ethnicity for that area.
TABLE 13. Reported abortions, by known race of women who obtained an abortion and reporting area of occurrence — selected reporting areas,* United States, 2013
| State/Area | Race | Total abortions reported by known race | ||
|---|---|---|---|---|
| White | Black | Other | ||
| No. (%)† | No. (%) | No. (%) | No. (% of all reported abortions)§ | |
| Alabama | 3,142 (37.2) | 5,018 (59.4) | 283 (3.4) | 8,443 (99.5) |
| Alaska | 824 (60.8) | 87 (6.4) | 445 (32.8) | 1,356 (93.5) |
| Arkansas | 1,894 (50.8) | 1,528 (41.0) | 308 (8.3) | 3,730 (100.0) |
| Colorado | 6,234 (64.7) | 739 (7.7) | 2,667 (27.7) | 9,640 (94.5) |
| Delaware | 1,503 (49.4) | 1,368 (45.0) | 171 (5.6) | 3,042 (100.0) |
| District of Columbia¶ | 734 (28.7) | 1,573 (61.4) | 254 (9.9) | 2,561 (100.0) |
| Georgia | 7,895 (28.6) | 18,078 (65.4) | 1,655 (6.0) | 27,628 (90.1) |
| Hawaii | 465 (24.4) | 82 (4.3) | 1,360 (71.3) | 1,907 (96.9) |
| Idaho | 1,178 (88.2) | 20 (1.5) | 138 (10.3) | 1,336 (97.2) |
| Indiana | 4,781 (60.1) | 2,355 (29.6) | 823 (10.3) | 7,959 (97.3) |
| Iowa | 3,309 (75.1) | 547 (12.4) | 553 (12.5) | 4,409 (99.7) |
| Kansas | 4,685 (64.2) | 1,657 (22.7) | 951 (13.0) | 7,293 (98.3) |
| Louisiana | 3,053 (31.1) | 6,000 (61.2) | 755 (7.7) | 9,808 (98.3) |
| Maine | 1,748 (90.8) | 80 (4.2) | 98 (5.1) | 1,926 (99.3) |
| Massachusetts | 8,990 (52.3) | 3,398 (19.8) | 4,788 (27.9) | 17,176 (88.3) |
| Michigan | 11,450 (44.9) | 13,032 (51.1) | 1,033 (4.0) | 25,515 (97.7) |
| Minnesota | 5,329 (56.9) | 2,285 (24.4) | 1,754 (18.7) | 9,368 (94.6) |
| Mississippi | 395 (18.3) | 1,570 (72.6) | 198 (9.2) | 2,163 (99.7) |
| Missouri | 2,850 (52.6) | 2,300 (42.5) | 264 (4.9) | 5,414 (100.0) |
| Montana | 1,630 (88.5) | 18 (1.0) | 194 (10.5) | 1,842 (100.0) |
| Nebraska | 1,511 (70.7) | 332 (15.5) | 295 (13.8) | 2,138 (98.2) |
| New Jersey** | 7,244 (36.0) | 8,792 (43.7) | 4,081 (20.3) | 20,117 (92.6) |
| North Carolina | 8,680 (42.2) | 10,899 (53.0) | 966 (4.7) | 20,545 (90.0) |
| North Dakota | 894 (76.7) | 79 (6.8) | 193 (16.6) | 1,166 (98.6) |
| Ohio | 11,797 (53.1) | 9,075 (40.9) | 1,327 (6.0) | 22,199 (95.6) |
| Oklahoma | 3,145 (62.7) | 881 (17.6) | 986 (19.7) | 5,012 (100.0) |
| Oregon | 6,581 (84.5) | 514 (6.6) | 690 (8.9) | 7,785 (93.9) |
| Pennsylvania | 15,951 (50.2) | 13,423 (42.2) | 2,403 (7.6) | 31,777 (99.0) |
| Rhode Island | 2,398 (76.5) | 538 (17.2) | 199 (6.3) | 3,135 (96.4) |
| South Carolina | 3,213 (54.7) | 2,418 (41.2) | 242 (4.1) | 5,873 (99.9) |
| South Dakota | 437 (73.1) | 57 (9.5) | 104 (17.4) | 598 (99.5) |
| Tennessee | 6,402 (46.9) | 6,780 (49.6) | 477 (3.5) | 13,659 (96.1) |
| Utah | 2,197 (80.4) | 97 (3.6) | 438 (16.0) | 2,732 (88.1) |
| Vermont | 1,117 (92.3) | 21 (1.7) | 72 (6.0) | 1,210 (99.4) |
| Virginia | 9,280 (47.1) | 9,029 (45.8) | 1,403 (7.1) | 19,712 (94.5) |
| West Virginia | 1,636 (87.2) | 215 (11.5) | 25 (1.3) | 1,876 (100.0) |
| Wisconsin†† | 4,120 (68.0) | 1,546 (25.5) | 389 (6.4) | 6,055 (96.9) |
| Total | 158,692 (49.9) | 126,431 (39.7) | 32,982 (10.4) | 318,105 (95.2)§§ |
| Rate¶¶ | 6.7 | 23.9 | 16.8 | 10.3 |
| Ratio*** | 109 | 355 | 273 | 165 |
* Data from 37 reporting areas; excludes 15 areas (Arizona, California, Connecticut, Florida, Illinois, Kentucky, Maryland, Nevada, New Hampshire, New Mexico, New York State, New York City, Texas, Washington, and Wyoming) that did not report, did not report by race, or did not meet reporting standards.
† Percentages for the individual component categories might not add to 100 because of rounding.
§ Percentage is calculated as the number of abortions reported by known race, divided by the sum of abortions reported by known and unknown race.
¶ Because reporting is not mandatory, a complete number of abortions performed in the District of Columbia could not be obtained.
** Data from hospitals and licensed ambulatory care facilities only; because reporting is not mandatory for private physicians and women’s centers, information could not be obtained for all abortions performed in New Jersey.
†† Includes residents only.
§§ Percentage is based on a total of 334,089 abortions reported among the areas that met reporting standards for race.
¶¶ Number of abortions obtained by women in a given racial group per 1,000 women in that same group. For each reporting area, abortions for women of unknown race were distributed according to the distribution of abortions among women of known race for that area.
*** Number of abortions obtained by women in a given racial group per 1,000 live births to women in that same racial group. For each reporting area, abortions for women of unknown race were distributed according to the distribution of abortions among women of known race for that area.
TABLE 14. Reported abortions, by known ethnicity of women who obtained an abortion and reporting area of occurrence — selected reporting areas,* United States, 2013
| State/Area | Ethnicity | Total abortions reported by known ethnicity | |
|---|---|---|---|
| Hispanic | Non-Hispanic | ||
| No. (%)† | No. (%) | No. (% of all reported abortions)§ | |
| Alabama | 293 (3.5) | 8,134 (96.5) | 8,427 (99.3) |
| Alaska | 23 (1.8) | 1,265 (98.2) | 1,288 (88.8) |
| Arkansas | 187 (5.0) | 3,540 (95.0) | 3,727 (99.9) |
| Colorado | 2,402 (24.6) | 7,343 (75.4) | 9,745 (95.5) |
| Delaware | 336 (11.1) | 2,698 (88.9) | 3,034 (99.7) |
| District of Columbia¶ | 263 (10.3) | 2,298 (89.7) | 2,561 (100.0) |
| Georgia | 1,995 (7.5) | 24,777 (92.5) | 26,772 (87.3) |
| Hawaii | 177 (9.3) | 1,731 (90.7) | 1,908 (97.0) |
| Idaho | 202 (15.1) | 1,135 (84.9) | 1,337 (97.2) |
| Indiana | 603 (7.8) | 7,084 (92.2) | 7,687 (94.0) |
| Kansas | 730 (10.0) | 6,579 (90.0) | 7,309 (98.5) |
| Kentucky | 169 (4.6) | 3,468 (95.4) | 3,637 (100.0) |
| Michigan | 868 (3.3) | 25,112 (96.7) | 25,980 (99.5) |
| Minnesota | 533 (5.8) | 8,605 (94.2) | 9,138 (92.3) |
| Mississippi | 39 (1.8) | 2,130 (98.2) | 2,169 (100.0) |
| Missouri | 165 (3.1) | 5,203 (96.9) | 5,368 (99.1) |
| Montana | 62 (3.4) | 1,780 (96.6) | 1,842 (100.0) |
| New Jersey** | 4,410 (21.3) | 16,277 (78.7) | 20,687 (95.2) |
| New Mexico | 2,107 (58.6) | 1,488 (41.4) | 3,595 (85.6) |
| New York | 25,305 (25.8) | 72,741 (74.2) | 98,046 (100.0) |
| New York City†† | 21,555 (30.9) | 48,285 (69.1) | 69,840 (100.0) |
| New York State | 3,750 (13.3) | 24,456 (86.7) | 28,206 (100.0) |
| North Carolina | 2,222 (10.6) | 18,761 (89.4) | 20,983 (92.0) |
| Ohio | 842 (3.9) | 20,803 (96.1) | 21,645 (93.2) |
| Oregon | 874 (10.7) | 7,316 (89.3) | 8,190 (98.8) |
| Pennsylvania | 2,944 (9.3) | 28,849 (90.7) | 31,793 (99.0) |
| South Carolina | 294 (5.0) | 5,576 (95.0) | 5,870 (99.9) |
| South Dakota | 24 (4.0) | 577 (96.0) | 601 (100.0) |
| Tennessee | 550 (4.0) | 13,355 (96.0) | 13,905 (97.8) |
| Texas†† | 24,717 (39.2) | 38,393 (60.8) | 63,110 (99.9) |
| Utah | 542 (18.1) | 2,445 (81.9) | 2,987 (96.3) |
| Vermont | 26 (2.2) | 1,183 (97.8) | 1,209 (99.3) |
| Virginia | 2,063 (10.1) | 18,458 (89.9) | 20,521 (98.4) |
| West Virginia | 9 (0.5) | 1,867 (99.5) | 1,876 (100.0) |
| Wisconsin§§ | 595 (9.5) | 5,656 (90.5) | 6,251 (100.0) |
| Total | 76,571 (17.3) | 366,627 (82.7) | 443,198 (97.3)¶¶ |
| Abortion rate*** | 13.2 | 11.5 | 11.8 |
| Abortion ratio††† | 171 | 190 | 187 |
* Data from 34 reporting areas; excludes 18 areas (Arizona, California, Connecticut, Florida, Illinois, Iowa, Louisiana, Maine, Maryland, Massachusetts, Nebraska, Nevada, New Hampshire, North Dakota, Oklahoma, Rhode Island, Washington, and Wyoming) that did not report, did not report by ethnicity, or did not meet reporting standards.
† Percentages for the individual component categories might not add to 100 because of rounding.
§ Percentage is calculated as the number of abortions reported by known ethnicity divided by the sum of abortions reported by known and unknown ethnicity.
¶ Because reporting is not mandatory, a complete number of abortions performed in the District of Columbia could not be obtained.
** Data from hospitals and licensed ambulatory care facilities only; because reporting is not mandatory for private physicians and women’s centers, information could not be obtained for all abortions performed in New Jersey.
†† Non-Hispanic category includes abortions for women whose ethnicity was reported as unknown; previous evaluation has shown that most reports without ethnicity are for non-Hispanic women.
§§ Includes residents only.
¶¶ Percentage is based on a total of 455,728 abortions reported among the areas that met reporting standards for ethnicity.
*** Number of abortions obtained by women in a given ethnic group per 1,000 women in that same group. For each reporting area, abortions for women of unknown ethnicity were distributed according to the distribution of abortions among women of known ethnicity for that area.
††† Number of abortions obtained by women in a given ethnic group per 1,000 live births to women in that same ethnic group. For each reporting area, abortions for women of unknown ethnicity were distributed according to the distribution of abortions among women of known ethnicity for that area.
TABLE 15. Reported abortions, by known marital status and reporting area of occurrence — selected reporting areas,* United States, 2013
| State/Area | Marital status | Total abortions reported by known marital status | |
|---|---|---|---|
| Married | Unmarried | ||
| No. (%)† | No. (%) | No. (% of all reported abortions)§ | |
| Alabama | 935 (11.1) | 7,515 (88.9) | 8,450 (99.6) |
| Alaska | 248 (18.2) | 1,117 (81.8) | 1,365 (94.1) |
| Arizona | 2,053 (16.1) | 10,684 (83.9) | 12,737 (95.0) |
| Arkansas | 454 (12.3) | 3,252 (87.7) | 3,706 (99.4) |
| Colorado | 1,772 (17.9) | 8,112 (82.1) | 9,884 (96.9) |
| Delaware | 371 (12.2) | 2,671 (87.8) | 3,042 (100.0) |
| Georgia | 4,678 (17.2) | 22,495 (82.8) | 27,173 (88.6) |
| Hawaii | 381 (19.5) | 1,568 (80.5) | 1,949 (99.1) |
| Idaho | 225 (16.4) | 1,143 (83.6) | 1,368 (99.5) |
| Illinois | 4,300 (12.5) | 30,152 (87.5) | 34,452 (92.5) |
| Indiana | 1,152 (14.3) | 6,908 (85.7) | 8,060 (98.5) |
| Iowa | 755 (17.1) | 3,668 (82.9) | 4,423 (100.0) |
| Kansas | 990 (13.5) | 6,366 (86.5) | 7,356 (99.1) |
| Kentucky | 486 (13.4) | 3,151 (86.6) | 3,637 (100.0) |
| Louisiana | 1,117 (12.0) | 8,229 (88.0) | 9,346 (93.7) |
| Maine | 285 (15.4) | 1,570 (84.6) | 1,855 (95.7) |
| Massachusetts | 2,438 (14.6) | 14,235 (85.4) | 16,673 (85.7) |
| Michigan | 2,761 (10.6) | 23,314 (89.4) | 26,075 (99.8) |
| Minnesota | 1,316 (14.6) | 7,670 (85.4) | 8,986 (90.7) |
| Mississippi | 187 (8.8) | 1,941 (91.2) | 2,128 (98.1) |
| Missouri | 821 (15.7) | 4,392 (84.3) | 5,213 (96.3) |
| Montana | 298 (16.5) | 1,507 (83.5) | 1,805 (98.0) |
| Nebraska | 338 (16.2) | 1,744 (83.8) | 2,082 (95.6) |
| New Jersey¶ | 2,239 (10.8) | 18,449 (89.2) | 20,688 (95.2) |
| New Mexico | 584 (14.6) | 3,421 (85.4) | 4,005 (95.4) |
| New York City | 10,028 (15.3) | 55,631 (84.7) | 65,659 (94.0) |
| North Carolina | 3,960 (18.6) | 17,350 (81.4) | 21,310 (93.4) |
| North Dakota | 163 (13.8) | 1,019 (86.2) | 1,182 (100.0) |
| Ohio | 2,886 (13.1) | 19,069 (86.9) | 21,955 (94.6) |
| Oklahoma | 956 (19.1) | 4,055 (80.9) | 5,011 (100.0) |
| Oregon | 1,363 (18.8) | 5,883 (81.2) | 7,246 (87.4) |
| Pennsylvania | 3,822 (11.9) | 28,262 (88.1) | 32,084 (99.9) |
| Rhode Island | 551 (18.8) | 2,374 (81.2) | 2,925 (90.0) |
| South Carolina | 573 (9.8) | 5,292 (90.2) | 5,865 (99.8) |
| South Dakota | 92 (15.3) | 509 (84.7) | 601 (100.0) |
| Tennessee | 1,912 (14.2) | 11,522 (85.8) | 13,434 (94.5) |
| Texas | 10,930 (17.3) | 52,122 (82.7) | 63,052 (99.8) |
| Utah | 746 (27.4) | 1,978 (72.6) | 2,724 (87.8) |
| Vermont | 143 (11.8) | 1,064 (88.2) | 1,207 (99.2) |
| Virginia | 3,326 (16.8) | 16,499 (83.2) | 19,825 (95.1) |
| West Virginia | 312 (16.6) | 1,564 (83.4) | 1,876 (100.0) |
| Wisconsin | 891 (13.8) | 5,555 (86.2) | 6,446 (99.8) |
| Total | 73,838 (14.8) | 425,022 (85.2) | 498,860 (95.3)** |
| Abortion ratio†† | 46 | 387 | 184 |
* Data from 42 reporting areas; excludes 10 areas (California, Connecticut, District of Columbia, Florida, Maryland, Nevada, New Hampshire, New York State, Washington, and Wyoming) that did not report, did not report by marital status, or did not meet reporting standards.
† Percentages for the individual component categories might not add to 100 because of rounding.
§ Percentage is calculated as the number of abortions reported by known marital status divided by the sum of abortions reported by known and unknown marital status.
¶ Data from hospitals and licensed ambulatory care facilities only; because reporting is not mandatory for private physicians and women’s centers, information could not be obtained for all abortions performed in New Jersey.
** Percentage is based on a total of 523,213 abortions reported among the areas that met reporting standards for marital status.
†† Number of abortions obtained by women by marital status per 1,000 live births to women of the same marital status. For each reporting area, abortions for women of unknown marital status were distributed according to the distribution of abortions among women of known marital status for that area.
TABLE 16. Reported abortions, by known number of previous live births and reporting area of occurrence — selected reporting areas,* United States, 2013
| State/Area | No. of previous live births | Total reported by known no. of previous live births | ||||
|---|---|---|---|---|---|---|
| 0 | 1 | 2 | 3 | ≥4 | ||
| No. (%)† | No. (%) | No. (%) | No. (%) | No. (%) | No. (% of all reported abortions)§ | |
| Alabama | 3,186 (37.6) | 2,461 (29.0) | 1,766 (20.8) | 711 (8.4) | 352 (4.2) | 8,476 (99.9) |
| Alaska | 606 (45.5) | 306 (23.0) | 223 (16.7) | 110 (8.3) | 87 (6.5) | 1,332 (91.9) |
| Arizona | 5,890 (44.1) | 3,040 (22.8) | 2,434 (18.2) | 1,136 (8.5) | 842 (6.3) | 13,342 (99.6) |
| Arkansas | 1,321 (35.4) | 1,034 (27.7) | 818 (21.9) | 359 (9.6) | 198 (5.3) | 3,730 (100.0) |
| Colorado | 5,219 (51.6) | 2,187 (21.6) | 1,609 (15.9) | 713 (7.1) | 381 (3.8) | 10,109 (99.1) |
| Delaware | 1,160 (38.1) | 834 (27.4) | 527 (17.3) | 295 (9.7) | 226 (7.4) | 3,042 (100.0) |
| Georgia | 10,818 (41.3) | 6,542 (25.0) | 5,151 (19.7) | 2,323 (8.9) | 1,367 (5.2) | 26,201 (85.4) |
| Hawaii | 1,033 (54.5) | 386 (20.4) | 277 (14.6) | 112 (5.9) | 88 (4.6) | 1,896 (96.4) |
| Idaho | 645 (47.6) | 305 (22.5) | 222 (16.4) | 120 (8.8) | 64 (4.7) | 1,356 (98.6) |
| Indiana | 2,945 (36.6) | 2,158 (26.8) | 1,681 (20.9) | 790 (9.8) | 467 (5.8) | 8,041 (98.3) |
| Iowa | 1,843 (41.7) | 993 (22.5) | 876 (19.8) | 430 (9.7) | 279 (6.3) | 4,421 (100.0) |
| Kansas | 2,969 (40.0) | 1,827 (24.6) | 1,486 (20.0) | 715 (9.6) | 425 (5.7) | 7,422 (100.0) |
| Kentucky | 1,473 (40.5) | 985 (27.1) | 740 (20.4) | 288 (7.9) | 150 (4.1) | 3,636 (100.0) |
| Louisiana | 3,190 (32.3) | 2,841 (28.8) | 2,277 (23.1) | 983 (10.0) | 572 (5.8) | 9,863 (98.9) |
| Maine | 958 (49.5) | 493 (25.5) | 319 (16.5) | 105 (5.4) | 60 (3.1) | 1,935 (99.8) |
| Michigan¶ | 9,765 (37.4) | 7,313 (28.0) | 5,240 (20.1) | 2,396 (9.2) | 1,406 (5.4) | 26,120 (100.0) |
| Minnesota | 4,216 (42.7) | 2,253 (22.8) | 1,912 (19.4) | 873 (8.8) | 620 (6.3) | 9,874 (99.7) |
| Mississippi | 642 (29.7) | 670 (31.0) | 519 (24.0) | 216 (10.0) | 117 (5.4) | 2,164 (99.7) |
| Missouri | 1,376 (25.4) | 1,669 (30.8) | 1,210 (22.3) | 709 (13.1) | 452 (8.3) | 5,416 (100.0) |
| Montana | 928 (50.4) | 412 (22.4) | 295 (16.0) | 137 (7.4) | 70 (3.8) | 1,842 (100.0) |
| Nebraska | 865 (39.7) | 548 (25.2) | 413 (19.0) | 219 (10.1) | 132 (6.1) | 2,177 (100.0) |
| Nevada | 2,474 (41.3) | 1,446 (24.2) | 1,126 (18.8) | 507 (8.5) | 434 (7.2) | 5,987 (98.9) |
| New Jersey** | 8,827 (41.6) | 5,856 (27.6) | 3,781 (17.8) | 1,622 (7.6) | 1,153 (5.4) | 21,239 (97.8) |
| New Mexico | 1,450 (37.5) | 1,016 (26.3) | 797 (20.6) | 397 (10.3) | 210 (5.4) | 3,870 (92.2) |
| New York City | 29,965 (44.3) | 17,621 (26.0) | 12,411 (18.3) | 4,929 (7.3) | 2,760 (4.1) | 67,686 (96.9) |
| North Carolina | 7,592 (39.0) | 4,811 (24.7) | 3,709 (19.1) | 1,836 (9.4) | 1,506 (7.7) | 19,454 (85.2) |
| North Dakota | 487 (41.2) | 301 (25.5) | 215 (18.2) | 108 (9.1) | 71 (6.0) | 1,182 (100.0) |
| Ohio | 7,871 (35.4) | 6,168 (27.8) | 4,710 (21.2) | 2,214 (10.0) | 1,244 (5.6) | 22,207 (95.7) |
| Oklahoma | 1,978 (39.5) | 1,296 (25.9) | 1,016 (20.3) | 464 (9.3) | 258 (5.1) | 5,012 (100.0) |
| Oregon | 3,788 (48.1) | 1,799 (22.9) | 1,369 (17.4) | 600 (7.6) | 317 (4.0) | 7,873 (95.0) |
| Pennsylvania | 12,599 (39.2) | 8,790 (27.4) | 6,239 (19.4) | 2,817 (8.8) | 1,663 (5.2) | 32,108 (100.0) |
| Rhode Island | 1,486 (45.9) | 790 (24.4) | 603 (18.6) | 246 (7.6) | 111 (3.4) | 3,236 (99.5) |
| South Carolina | 2,499 (42.5) | 1,569 (26.7) | 1,137 (19.3) | 443 (7.5) | 230 (3.9) | 5,878 (100.0) |
| South Dakota | 237 (39.4) | 147 (24.5) | 116 (19.3) | 66 (11.0) | 35 (5.8) | 601 (100.0) |
| Tennessee | 4,680 (34.1) | 3,771 (27.5) | 2,890 (21.0) | 1,447 (10.5) | 943 (6.9) | 13,731 (96.6) |
| Texas | 22,829 (36.1) | 16,575 (26.2) | 13,509 (21.4) | 6,408 (10.1) | 3,832 (6.1) | 63,153 (100.0) |
| Utah | 1,376 (44.7) | 669 (21.7) | 575 (18.7) | 264 (8.6) | 197 (6.4) | 3,081 (99.3) |
| Vermont | 639 (53.6) | 261 (21.9) | 189 (15.8) | 75 (6.3) | 29 (2.4) | 1,193 (98.0) |
| Virginia | 8,233 (39.7) | 5,542 (26.7) | 4,309 (20.8) | 1,794 (8.6) | 883 (4.3) | 20,761 (99.6) |
| Washington | 8,193 (46.6) | 4,196 (23.9) | 3,159 (18.0) | 1,289 (7.3) | 755 (4.3) | 17,592 (100.0) |
| West Virginia | 623 (33.2) | 583 (31.1) | 420 (22.4) | 159 (8.5) | 91 (4.9) | 1,876 (100.0) |
| Total | 188,874 (40.2) | 122,464 (26.0) | 92,275 (19.6) | 41,425 (8.8) | 25,077 (5.3) | 470,115 (97.2)†† |
* Data from 41 reporting areas; excludes 11 areas (California, Connecticut, District of Columbia, Florida, Illinois, Maryland, Massachusetts, New Hampshire, New York State, Wisconsin, and Wyoming) that did not report, did not report by number of previous births, or did not meet reporting standards.
† Percentages for the individual component categories might not add to 100 because of rounding.
§ Percentage is calculated as the number of abortions reported by known number of previous live births, divided by the sum of abortions reported by known and unknown number of previous live births.
¶ Recorded as the number of previous pregnancies carried to term.
** Data from hospitals and licensed ambulatory care facilities only; because reporting is not mandatory for private physicians and women’s centers, information could not be obtained for all abortions performed in New Jersey.
†† Percentage is based on a total of 483,721 abortions reported among the areas that met reporting standards for the number of previous births.
TABLE 17. Reported abortions, by known number of previous induced abortions and reporting area of occurrence — selected reporting areas,* United States, 2013
| State/Area | No. of previous induced abortions | Total abortions reported by known no. of previous induced abortions | |||
|---|---|---|---|---|---|
| 0 | 1 | 2 | ≥3 | ||
| No. (%)† | No. (%) | No. (%) | No. (%) | No. (% of all reported abortions)§ | |
| Alabama | 5,467 (64.5) | 1,978 (23.3) | 730 (8.6) | 297 (3.5) | 8,472 (99.8) |
| Alaska | 913 (65.7) | 286 (20.6) | 124 (8.9) | 66 (4.8) | 1,389 (95.8) |
| Arizona | 8,544 (64.4) | 3,210 (24.2) | 1,020 (7.7) | 492 (3.7) | 13,266 (99.0) |
| Arkansas | 2,205 (61.2) | 847 (23.5) | 397 (11.0) | 153 (4.2) | 3,602 (96.6) |
| Colorado | 6,482 (64.0) | 2,534 (25.0) | 765 (7.6) | 340 (3.4) | 10,121 (99.2) |
| Delaware | 1,748 (57.5) | 760 (25.0) | 338 (11.1) | 196 (6.4) | 3,042 (100.0) |
| Hawaii | 1,065 (56.6) | 536 (28.5) | 162 (8.6) | 118 (6.3) | 1,881 (95.6) |
| Idaho | 1,014 (74.7) | 251 (18.5) | 64 (4.7) | 28 (2.1) | 1,357 (98.7) |
| Indiana | 5,061 (62.4) | 1,946 (24.0) | 664 (8.2) | 434 (5.4) | 8,105 (99.1) |
| Iowa | 2,735 (61.9) | 1,132 (25.6) | 384 (8.7) | 170 (3.8) | 4,421 (100.0) |
| Kansas | 4,738 (63.8) | 1,769 (23.8) | 610 (8.2) | 305 (4.1) | 7,422 (100.0) |
| Kentucky | 2,284 (62.8) | 847 (23.3) | 287 (7.9) | 219 (6.0) | 3,637 (100.0) |
| Louisiana | 5,939 (60.2) | 2,640 (26.7) | 887 (9.0) | 405 (4.1) | 9,871 (98.9) |
| Maine | 1,267 (66.6) | 431 (22.7) | 155 (8.2) | 48 (2.5) | 1,901 (98.0) |
| Massachusetts | 9,599 (51.9) | 4,803 (26.0) | 2,334 (12.6) | 1,745 (9.4) | 18,481 (95.0) |
| Michigan | 12,812 (49.1) | 6,789 (26.0) | 3,647 (14.0) | 2,872 (11.0) | 26,120 (100.0) |
| Minnesota | 5,873 (59.4) | 2,362 (23.9) | 970 (9.8) | 685 (6.9) | 9,890 (99.9) |
| Mississippi | 1,377 (63.6) | 527 (24.3) | 180 (8.3) | 82 (3.8) | 2,166 (99.8) |
| Missouri | 3,353 (61.9) | 1,392 (25.7) | 451 (8.3) | 218 (4.0) | 5,414 (100.0) |
| Montana | 612 (33.2) | 831 (45.1) | 266 (14.4) | 133 (7.2) | 1,842 (100.0) |
| Nebraska | 1,458 (67.0) | 470 (21.6) | 167 (7.7) | 82 (3.8) | 2,177 (100.0) |
| Nevada | 3,293 (55.2) | 1,557 (26.1) | 648 (10.9) | 468 (7.8) | 5,966 (98.5) |
| New Jersey¶ | 14,323 (67.4) | 3,549 (16.7) | 1,852 (8.7) | 1,524 (7.2) | 21,248 (97.8) |
| New York City | 26,993 (40.2) | 15,637 (23.3) | 11,334 (16.9) | 13,103 (19.5) | 67,067 (96.0) |
| North Dakota | 786 (66.6) | 254 (21.5) | 89 (7.5) | 51 (4.3) | 1,180 (99.8) |
| Ohio | 11,701 (54.1) | 6,138 (28.4) | 2,347 (10.9) | 1,436 (6.6) | 21,622 (93.1) |
| Oklahoma | 3,321 (67.3) | 1,143 (23.2) | 359 (7.3) | 110 (2.2) | 4,933 (98.4) |
| Oregon | 4,695 (58.3) | 1,971 (24.5) | 750 (9.3) | 633 (7.9) | 8,049 (97.1) |
| Pennsylvania | 17,389 (54.2) | 7,917 (24.7) | 3,850 (12.0) | 2,952 (9.2) | 32,108 (100.0) |
| Rhode Island | 1,722 (53.6) | 809 (25.2) | 370 (11.5) | 311 (9.7) | 3,212 (98.8) |
| South Carolina | 3,228 (54.9) | 1,455 (24.8) | 690 (11.7) | 505 (8.6) | 5,878 (100.0) |
| South Dakota | 432 (71.9) | 118 (19.6) | 32 (5.3) | 19 (3.2) | 601 (100.0) |
| Tennessee | 7,078 (51.6) | 3,651 (26.6) | 1,688 (12.3) | 1,309 (9.5) | 13,726 (96.6) |
| Texas | 35,799 (56.7) | 16,906 (26.8) | 6,679 (10.6) | 3,759 (6.0) | 63,143 (100.0) |
| Utah | 2,251 (72.6) | 596 (19.2) | 165 (5.3) | 90 (2.9) | 3,102 (100.0) |
| Vermont | 799 (66.8) | 240 (20.1) | 97 (8.1) | 60 (5.0) | 1,196 (98.3) |
| Virginia | 11,529 (55.4) | 5,446 (26.2) | 2,341 (11.3) | 1,485 (7.1) | 20,801 (99.8) |
| Washington | 10,024 (57.0) | 4,399 (25.0) | 1,801 (10.2) | 1,368 (7.8) | 17,592 (100.0) |
| West Virginia | 1,060 (56.5) | 502 (26.8) | 191 (10.2) | 123 (6.6) | 1,876 (100.0) |
| Total | 240,969 (55.0) | 108,629 (24.8) | 49,885 (11.4) | 38,394 (8.8) | 437,877 (98.3)** |
* Data from 39 reporting areas; excludes 13 areas (California, Connecticut, District of Columbia, Florida, Georgia, Illinois, Maryland, New Hampshire, New Mexico, New York State, North Carolina, Wisconsin, and Wyoming) that did not report, did not report by the number of previous induced abortions, or did not meet reporting standards.
† Percentages for the individual component categories might not add to 100 because of rounding.
§ Percentage is calculated as the number of abortions reported by known number of previous induced abortions divided by the sum of abortions reported by known and unknown number of previous induced abortions.
¶ Data from hospitals and licensed ambulatory care facilities only; because reporting is not mandatory for private physicians and women’s centers, information could not be obtained for all abortions performed in New Jersey.
** Percentage is based on a total of 445,478 abortions reported among the areas that met reporting standards for the number of previous abortions.
TABLE 18. Reported abortions, by known race, age group, and marital status of women who obtained an abortion — selected reporting areas, United States, 2013
| Characteristic | Race | Total | ||
|---|---|---|---|---|
| White | Black | Other | ||
| No. (%)* | No. (%) | No. (%) | No. (%) | |
| Age group (yrs)† | ||||
| <15 | 364 (0.3) | 532 (0.5) | 82 (0.3) | 978 (0.4) |
| 15–19 | 15,332 (11.5) | 12,240 (11.2) | 2,656 (10.3) | 30,228 (11.3) |
| 15 | 820 (0.6) | 756 (0.7) | 148 (0.6) | 1,724 (0.6) |
| 16 | 1,489 (1.1) | 1,231 (1.1) | 239 (0.9) | 2,959 (1.1) |
| 17 | 2,298 (1.7) | 1,888 (1.7) | 364 (1.4) | 4,550 (1.7) |
| 18 | 4,395 (3.3) | 3,436 (3.2) | 781 (3.0) | 8,612 (3.2) |
| 19 | 6,330 (4.8) | 4,929 (4.5) | 1,124 (4.4) | 12,383 (4.6) |
| 20–24 | 43,911 (33.0) | 37,636 (34.6) | 7,719 (30.0) | 89,266 (33.4) |
| 25–29 | 33,728 (25.4) | 29,056 (26.7) | 6,488 (25.3) | 69,272 (25.9) |
| 30–34 | 22,062 (16.6) | 18,016 (16.6) | 4,711 (18.3) | 44,789 (16.7) |
| 35–39 | 12,473 (9.4) | 8,651 (7.9) | 2,805 (10.9) | 23,929 (8.9) |
| ≥40 | 5,140 (3.9) | 2,694 (2.5) | 1,228 (4.8) | 9,062 (3.4) |
| Total | 133,010 (100.0) | 108,825 (100.0) | 25,689 (100.0) | 267,524 (100.0) |
| Marital status§ | ||||
| Married | 20,993 (16.9) | 8,363 (8.2) | 6,664 (27.5) | 36,020 (14.4) |
| Unmarried | 102,907 (83.1) | 93,485 (91.8) | 17,593 (72.5) | 213,985 (85.6) |
| Total | 123,900 (100.0) | 101,848 (100.0) | 24,257 (100.0) | 250,005 (100.0) |
* Percentages for the individual component categories might not add to 100 because of rounding.
† Data from 35 reporting areas; excludes 17 areas (Arizona, California, Connecticut, Florida, Illinois, Kentucky, Maryland, Massachusetts, Nevada, New Hampshire, New Mexico, New York State, New York City, Pennsylvania, Texas, Washington, and Wyoming) that did not report, did not report by race or age, or did not meet reporting standards.
§ Data from 33 reporting areas; excludes 19 areas (Arizona, California, Connecticut, District of Columbia, Florida, Illinois, Kentucky, Maryland, Massachusetts, Nevada, New Hampshire, New Mexico, New York State, New York City, Pennsylvania, Texas, Washington, Wisconsin, and Wyoming) that did not report, did not report by race or marital status, or did not meet reporting standards.
TABLE 19. Reported abortions, by known race/ethnicity, age group, and marital status of women who obtained an abortion — selected reporting areas, United States, 2013
| Characteristic | Non-Hispanic | Hispanic | Total | ||
|---|---|---|---|---|---|
| White | Black | Other | |||
| No. (%)* | No. (%) | No. (%) | No. (%) | No. (%) | |
| Age group (yrs)† | |||||
| <15 | 338 (0.3) | 566 (0.4) | 57 (0.2) | 228 (0.3) | 1,189 (0.3) |
| 15–19 | 15,043 (11.2) | 15,208 (11.9) | 2,644 (9.0) | 8,282 (12.1) | 41,177 (11.4) |
| 15 | 740 (0.6) | 889 (0.7) | 118 (0.4) | 435 (0.6) | 2,182 (0.6) |
| 16 | 1,479 (1.1) | 1,584 (1.2) | 232 (0.8) | 755 (1.1) | 4,050 (1.1) |
| 17 | 2,341 (1.7) | 2,502 (2.0) | 384 (1.3) | 1,287 (1.9) | 6,514 (1.8) |
| 18 | 4,367 (3.3) | 4,316 (3.4) | 783 (2.7) | 2,449 (3.6) | 11,915 (3.3) |
| 19 | 6,116 (4.6) | 5,917 (4.6) | 1,127 (3.9) | 3,356 (4.9) | 16,516 (4.6) |
| 20–24 | 43,946 (32.8) | 43,596 (34.1) | 8,137 (27.8) | 22,294 (32.5) | 117,973 (32.8) |
| 25–29 | 34,562 (25.8) | 33,534 (26.2) | 7,464 (25.5) | 17,615 (25.7) | 93,175 (25.9) |
| 30–34 | 22,204 (16.6) | 21,192 (16.6) | 5,683 (19.4) | 11,691 (17.1) | 60,770 (16.9) |
| 35–39 | 12,612 (9.4) | 10,434 (8.2) | 3,634 (12.4) | 6,296 (9.2) | 32,976 (9.2) |
| ≥40 | 5,457 (4.1) | 3,431 (2.7) | 1,635 (5.6) | 2,096 (3.1) | 12,619 (3.5) |
| Total | 134,162 (100.0) | 127,961 (100.0) | 29,254 (100.0) | 68,502 (100.0) | 359,879 (100.0) |
| Marital status§ | |||||
| Married | 20,107 (17.2) | 9,687 (8.3) | 8,740 (31.4) | 10,028 (15.9) | 48,562 (14.9) |
| Unmarried | 96,896 (82.8) | 107,561 (91.7) | 19,128 (68.6) | 53,014 (84.1) | 276,599 (85.1) |
| Total | 117,003 (100.0) | 117,248 (100.0) | 27,868 (100.0) | 63,042 (100.0) | 325,161 (100.0) |
* Percentages for the individual component categories might not add to 100 because of rounding.
† Data from 29 reporting areas; excludes 23 areas (Arizona, California, Connecticut, Florida, Georgia, Illinois, Iowa, Kentucky, Louisiana, Maine, Maryland, Massachusetts, Nebraska, Nevada, New Hampshire, New Mexico, North Dakota, Oklahoma, Pennsylvania, Rhode Island, Washington, Wisconsin and Wyoming) that did not report, did not report by race/ethnicity or age, or did not meet reporting standards.
§ Data from 27 reporting areas; excludes 25 reporting areas (Arizona, California, Connecticut, District of Columbia, Florida, Georgia, Illinois, Iowa, Kentucky, Louisiana, Maine, Maryland, Massachusetts, Nebraska, Nevada, New Hampshire, New Mexico, New York State, North Dakota, Oklahoma, Pennsylvania, Rhode Island, Washington, Wisconsin, and Wyoming) that did not report, did not report by race/ethnicity or gestational age, or did not meet reporting standards.
TABLE 20. Reported abortions, by known weeks of gestation, age group, and race/ethnicity of women who obtained an abortion — selected reporting areas, United States, 2013
| Characteristic | Weeks of gestation | |||||
|---|---|---|---|---|---|---|
| ≤8 | 9–13 | 14–15 | 16–17 | 18–20 | ≥21 | |
| No. (%) | No. (%) | No. (%) | No. (%) | No. (%) | No. (%) | |
| Age group (yrs)*,† | ||||||
| <15 | 677 (44.9) | 520 (34.5) | 90 (6.0) | 74 (4.9) | 73 (4.8) | 74 (4.9) |
| 15–19 | 28,540 (57.1) | 15,444 (30.9) | 2,302 (4.6) | 1,363 (2.7) | 1,302 (2.6) | 1,018 (2.0) |
| 20–24 | 92,145 (63.9) | 39,434 (27.4) | 5,269 (3.7) | 2,929 (2.0) | 2,662 (1.8) | 1,690 (1.2) |
| 25–29 | 77,980 (67.9) | 28,335 (24.7) | 3,526 (3.1) | 1,903 (1.7) | 1,770 (1.5) | 1,251 (1.1) |
| 30–34 | 52,650 (69.5) | 17,621 (23.3) | 2,144 (2.8) | 1,172 (1.5) | 1,237 (1.6) | 937 (1.2) |
| 35–39 | 29,357 (70.9) | 9,027 (21.8) | 1,178 (2.8) | 625 (1.5) | 673 (1.6) | 555 (1.3) |
| ≥40 | 11,588 (72.2) | 3,264 (20.3) | 431 (2.7) | 287 (1.8) | 296 (1.8) | 176 (1.1) |
| Total | 292,937 (66.0) | 113,645 (25.6) | 14,940 (3.4) | 8,353 (1.9) | 8,013 (1.8) | 5,701 (1.3) |
| Race/Ethnicity*,§ | ||||||
| Non-Hispanic | ||||||
| White | 82,465 (68.7) | 29,003 (24.2) | 3,534 (2.9) | 1,904 (1.6) | 1,907 (1.6) | 1,196 (1.0) |
| Black | 72,291 (60.3) | 36,431 (30.4) | 4,900 (4.1) | 2,589 (2.2) | 2,379 (2.0) | 1,363 (1.1) |
| Other | 20,360 (71.7) | 5,776 (20.3) | 865 (3.0) | 557 (2.0) | 492 (1.7) | 361 (1.3) |
| Hispanic | 45,382 (70.3) | 14,410 (22.3) | 2,023 (3.1) | 1,000 (1.5) | 1,056 (1.6) | 683 (1.1) |
| Total | 220,498 (66.2) | 85,620 (25.7) | 11,322 (3.4) | 6,050 (1.8) | 5,834 (1.8) | 3,603 (1.1) |
* Row percentages might not add to 100 because of rounding.
† Data from 39 reporting areas; excludes 13 reporting areas (California, Connecticut, District of Columbia, Florida, Illinois, Kentucky, Maryland, Massachusetts, New Hampshire, New York State, Pennsylvania, Wisconsin, and Wyoming) that did not report, did not report by age or gestational age, or did not meet reporting standards.
§ Data from 27 reporting areas; excludes 25 reporting areas (Arizona, California, Connecticut, District of Columbia, Florida, Georgia, Illinois, Iowa, Kentucky, Louisiana, Maine, Maryland, Massachusetts, Nebraska, Nevada, New Hampshire, New Mexico, New York State, North Dakota, Oklahoma, Pennsylvania, Rhode Island, Washington, Wisconsin, and Wyoming) that did not report, did not report by race/ethnicity or gestational age, or did not meet reporting standards.
TABLE 21. Reported abortions obtained at ≤13 weeks’ gestation, by known weeks of gestation, age group, and race/ethnicity of women who obtained an abortion — selected reporting areas, United States, 2013
| Characteristic | Weeks of gestation | |||||||
|---|---|---|---|---|---|---|---|---|
| ≤6 | 7 | 8 | 9 | 10 | 11 | 12 | 13 | |
| No. (%) | No. (%) | No. (%) | No. (%) | No. (%) | No. (%) | No. (%) | No. (%) | |
| Age group (yrs)*,† | ||||||||
| <15 | 319 (26.6) | 193 (16.1) | 165 (13.8) | 154 (12.9) | 103 (8.6) | 92 (7.7) | 99 (8.3) | 72 (6.0) |
| 15–19 | 13,656 (31.0) | 8,074 (18.4) | 6,810 (15.5) | 4,728 (10.7) | 3,491 (7.9) | 3,068 (7.0) | 2,325 (5.3) | 1,832 (4.2) |
| 20–24 | 47,472 (36.1) | 25,161 (19.1) | 19,512 (14.8) | 12,951 (9.8) | 8,997 (6.8) | 7,328 (5.6) | 5,683 (4.3) | 4,475 (3.4) |
| 25–29 | 41,669 (39.2) | 21,164 (19.9) | 15,147 (14.2) | 9,696 (9.1) | 6,528 (6.1) | 5,179 (4.9) | 3,852 (3.6) | 3,080 (2.9) |
| 30–34 | 28,440 (40.5) | 14,023 (20.0) | 10,187 (14.5) | 6,199 (8.8) | 4,086 (5.8) | 3,074 (4.4) | 2,377 (3.4) | 1,885 (2.7) |
| 35–39 | 16,030 (41.8) | 7,792 (20.3) | 5,535 (14.4) | 3,268 (8.5) | 1,989 (5.2) | 1,562 (4.1) | 1,235 (3.2) | 973 (2.5) |
| ≥40 | 6,717 (45.2) | 2,840 (19.1) | 2,031 (13.7) | 1,206 (8.1) | 762 (5.1) | 542 (3.6) | 410 (2.8) | 344 (2.3) |
| Total | 154,303 (38.0) | 79,247 (19.5) | 59,387 (14.6) | 38,202 (9.4) | 25,956 (6.4) | 20,845 (5.1) | 15,981 (3.9) | 12,661 (3.1) |
| Race/Ethnicity*,§ | ||||||||
| Non-Hispanic | ||||||||
| White | 44,643 (40.1) | 21,705 (19.5) | 16,117 (14.5) | 9,839 (8.8) | 6,601 (5.9) | 5,350 (4.8) | 4,015 (3.6) | 3,198 (2.9) |
| Black | 34,000 (31.3) | 21,162 (19.5) | 17,129 (15.8) | 11,985 (11.0) | 8,365 (7.7) | 6,671 (6.1) | 5,483 (5.0) | 3,927 (3.6) |
| Other | 11,910 (45.6) | 5,041 (19.3) | 3,409 (13.0) | 2,025 (7.7) | 1,285 (4.9) | 947 (3.6) | 755 (2.9) | 764 (2.9) |
| Hispanic | 26,407 (44.2) | 10,932 (18.3) | 8,043 (13.5) | 5,115 (8.6) | 3,249 (5.4) | 2,620 (4.4) | 1,759 (2.9) | 1,667 (2.8) |
| Total | 116,960 (38.2) | 58,840 (19.2) | 44,698 (14.6) | 28,964 (9.5) | 19,500 (6.4) | 15,588 (5.1) | 12,012 (3.9) | 9,556 (3.1) |
* Row percentages might not add to 100 because of rounding.
† Data from 39 reporting areas; excludes 13 reporting areas (California, Connecticut, District of Columbia, Florida, Illinois, Kentucky, Maryland, Massachusetts, New Hampshire, New York State, Pennsylvania, Wisconsin, and Wyoming) that did not report, did not report by age or gestational age, or did not meet reporting standards.
§ Data from 27 reporting areas; excludes 25 reporting areas (Arizona, California, Connecticut, District of Columbia, Florida, Georgia, Illinois, Iowa, Kentucky, Louisiana, Maine, Maryland, Massachusetts, Nebraska, Nevada, New Hampshire, New Mexico, New York State, North Dakota, Oklahoma, Pennsylvania, Rhode Island, Washington, Wisconsin, and Wyoming) that did not report, did not report by race or gestational age, or did not meet reporting standards.
FIGURE 3. Percentage* distribution of gestational ages at time of abortion, by age of woman — selected reporting areas,† United States, 2013

* Based on the total number of abortions reported with known weeks of gestation.
† Data from 39 reporting areas; excludes 13 reporting areas (California, Connecticut, District of Columbia, Florida, Illinois, Kentucky, Maryland, Massachusetts, New Hampshire, New York State, Pennsylvania, Wisconsin, and Wyoming) that did not report, did not report by age or gestational age, or did not meet reporting standards.
TABLE 22. Reported abortions, by known weeks of gestation and method type — selected reporting areas,* United States, 2013
| Method type | Weeks of gestation | Total | |||||
|---|---|---|---|---|---|---|---|
| ≤8 | 9–13 | 14–15 | 16–17 | 18–20 | ≥21 | ||
| No. (%)† | No. (%) | No. (%) | No. (%) | No. (%) | No. (%) | No. (%) | |
| Curettage§ | |||||||
| ≤13 weeks’ gestation | 184,988 (67.2) | 103,441 (97.3) | NA | NA | NA | NA | 288,429 (69.2) |
| >13 weeks’ gestation | NA | NA | 14,014 (99.1) | 7,895 (98.5) | 7,566 (96.7) | 4,890 (90.8) | 34,365 (8.2) |
| Medical¶ | |||||||
| ≤8 weeks’ gestation | 90,233 (32.8) | NA | NA | NA | NA | NA | 90,233 (21.6) |
| >8 weeks’ gestation | NA | 2,854 (2.7) | 108 (0.8) | 106 (1.3) | 222 (2.8) | 442 (8.2) | 3,732 (0.9) |
| Intrauterine instillation | —** | 13 (0.0) | 14 (0.1) | 8 (0.1) | 33 (0.4) | 45 (0.8) | 113 (0.0) |
| Hysterectomy/Hysterotomy | 13 (0.0) | 10 (0.0) | 0 (0.0) | 7 (0.1) | 6 (0.1) | 9 (0.2) | 45 (0.0) |
| Total | 275,234 (100.0) | 106,318 (100.0) | 14,136 (100.0) | 8,016 (100.0) | 7,827 (100.0) | 5,386 (100.0) | 416,917 (100.0) |
Abbreviation: NA = not applicable.
* Data from 36 reporting areas; excludes 16 areas (California, Connecticut, District of Columbia, Florida, Hawaii, Illinois, Kentucky, Louisiana, Maryland, Massachusetts, New Hampshire, New York State, Pennsylvania, Tennessee, Wisconsin, and Wyoming) that did not report, did not report by method type or gestational age, did not meet reporting standards, or did not have medical abortion as a specific category on their reporting form.
† For each gestational age category, percentages of all method types might not add to 100 because of rounding.
§ Includes aspiration curettage, suction curettage, manual vacuum aspiration, menstrual extraction, sharp curettage, and dilation and evacuation procedures.
¶ The administration of medication or medications to induce an abortion; at ≤8 weeks’ gestation, typically involves the use of mifepristone and misoprostol; at >8 weeks’ gestation, typically involves the use of vaginal prostaglandins.
** Intrauterine instillations reported at ≤12 weeks’ gestation have not been included with known values.
TABLE 23. Number of deaths and case-fatality rates* for abortion-related deaths reported to CDC, by type of abortion — United States, 1973–2012†
| Year | Type of abortion | CFR per 100,000 legal abortions | |||
|---|---|---|---|---|---|
| Induced | Unknown** | Total | |||
| Legal§ | Illegal¶ | ||||
| 1973–1977 | 2.09 | ||||
| 1973 | 25 | 19 | 3 | 47 | — |
| 1974 | 26 | 6 | 1 | 33 | — |
| 1975 | 29 | 4 | 1 | 34 | — |
| 1976 | 11 | 2 | 1 | 14 | — |
| 1977 | 17 | 4 | 0 | 21 | — |
| 1978–1982 | 0.78 | ||||
| 1978 | 9 | 7 | 0 | 16 | — |
| 1979 | 22 | 0 | 0 | 22 | — |
| 1980 | 9 | 1 | 2 | 12 | — |
| 1981 | 8 | 1 | 0 | 9 | — |
| 1982 | 11 | 1 | 0 | 12 | — |
| 1983–1987 | 0.66 | ||||
| 1983 | 11 | 1 | 0 | 12 | — |
| 1984 | 12 | 0 | 0 | 12 | — |
| 1985 | 11 | 1 | 1 | 13 | — |
| 1986 | 11 | 0 | 2 | 13 | — |
| 1987 | 7 | 2 | 0 | 9 | — |
| 1988–1992 | 0.74 | ||||
| 1988 | 16 | 0 | 0 | 16 | — |
| 1989 | 12 | 1 | 0 | 13 | — |
| 1990 | 9 | 0 | 0 | 9 | — |
| 1991 | 11 | 1 | 0 | 12 | — |
| 1992 | 10 | 0 | 0 | 10 | — |
| 1993–1997 | 0.52 | ||||
| 1993 | 6 | 1 | 2 | 9 | — |
| 1994 | 10 | 2 | 0 | 12 | — |
| 1995 | 4 | 0 | 0 | 4 | — |
| 1996 | 9 | 0 | 0 | 9 | — |
| 1997 | 7 | 0 | 0 | 7 | — |
| 1998–2002 | 0.63 | ||||
| 1998 | 9 | 0 | 0 | 9 | — |
| 1999 | 4 | 0 | 0 | 4 | — |
| 2000 | 11 | 0 | 0 | 11 | — |
| 2001 | 7 | 1 | 0 | 8 | — |
| 2002 | 10 | 0 | 0 | 10 | — |
| 2003–2007 | 0.60 | ||||
| 2003 | 10 | 0 | 0 | 10 | — |
| 2004 | 7 | 1 | 0 | 8 | — |
| 2005 | 7 | 0 | 0 | 7 | — |
| 2006 | 7 | 0 | 0 | 7 | — |
| 2007 | 6 | 0 | 0 | 6 | — |
| 2008–2012 | 0.65 | ||||
| 2008 | 12 | 0 | 0 | 12 | — |
| 2009 | 8 | 0 | 0 | 8 | — |
| 2010 | 10 | 0 | 0 | 10 | — |
| 2011 | 2 | 0 | 0 | 2 | — |
| 2012 | 4 | 0 | 0 | 4 | — |
| Total | 427 | 56 | 13 | 496 | 0.80 |
Abbreviation: CFR = case-fatality rate.
* Number of legal induced abortion-related deaths per 100,000 reported legal induced abortions. Because a substantial number of legal induced abortions occurred outside reporting areas that provided data to CDC, national case-fatality rates (i.e., number of legal induced abortion-related deaths per 100,000 reported legal induced abortions in the United States) were calculated with denominator data from a more complete source (15,67). Case-fatality rates were computed for consecutive 5-year periods during 1973–2012 because rates based on <20 cases are highly variable (38).
† Certain numbers might differ from those in reports published previously because additional information has been supplied to CDC subsequent to publication.
§ An abortion is defined as legal if it was performed by a licensed clinician within the limits of state law.
¶ An abortion is defined as illegal if it was performed by any person other than a licensed clinician.
** Unknown whether abortion was induced or spontaneous.
Suggested citation for this article: Jatlaoui TC, Ewing A, Mandel MG, et al. Abortion Surveillance — United States, 2013. MMWR Surveill Summ 2016;65(No. SS-12):1–44. DOI: http://dx.doi.org/10.15585/mmwr.ss6512a1.
Use of trade names and commercial sources is for identification only and does not imply endorsement by the U.S. Department of
Health and Human Services.
References to non-CDC sites on the Internet are
provided as a service to MMWR readers and do not constitute or imply
endorsement of these organizations or their programs by CDC or the U.S.
Department of Health and Human Services. CDC is not responsible for the content
of pages found at these sites. URL addresses listed in MMWR were current as of
the date of publication.
All HTML versions of MMWR articles are generated from final proofs through an automated process. This conversion might result in character translation or format errors in the HTML version. Users are referred to the electronic PDF version (https://www.cdc.gov/mmwr) and/or the original MMWR paper copy for printable versions of official text, figures, and tables.
Questions or messages regarding errors in formatting should be addressed to mmwrq@cdc.gov.
- Page last reviewed: June 21, 2017
- Page last updated: June 21, 2017
- Content source:
ShareCompartir