Skip directly to search Skip directly to A to Z list Skip directly to navigation Skip directly to page options Skip directly to site content

Criteria for Reporting Age-Adjusted Cancer Incidence Rates for U.S. Census Regions and Divisions

The annual age-adjusted cancer incidence rates for some U.S. Census regions and divisions are not available because the data from the cancer registries of some states in those regions or divisions do not meet the eligibility criteria for inclusion in this report. In contrast, the annual age-adjusted cancer death rates are available for all states in every Census region or division. However, the age-adjusted incidence rate for Census regions or divisions in which the data of less than 100% of the cancer registries meet eligibility criteria can be estimated by assuming that the incidence-to-mortality ratio for states without eligible cancer registry data in that Census region or division equals the incidence-to-mortality ratio for states with eligible cancer registry data in that Census region or division.

Let

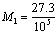
M1 = age-adjusted death rate in states with eligible cancer registries

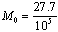
M0 = age-adjusted death rate in states without eligible cancer registries

I1 = age-adjusted incidence rate in states with eligible cancer registries

I0 = age-adjusted incidence rate in states without eligible cancer registries (incidence data are not available)

P1 = Proportion of the population in the Census region or division that resides in states with eligible cancer registries

R = (M subscript 0 divided by M subscript 1)

Îtotal = age-adjusted incidence rate for the entire Census region or division

where “eligible” refers to the state and metropolitan area cancer registries that meet this report’s data quality criteria for all invasive cancer sites combined.

Since we are assuming that I subscript 1 divided by M subscript 1 equals I subscript 0 divided by M subscript 0, the estimate of the age-adjusted incidence rate for states without eligible cancer registries is I subscript 0 equals I subscript 1 times M subscript 0 divided by M subscript 1 equals I subscript 1 times R. Thus, an estimate of the age-adjusted incidence rate for 100% of the Census region or division is computed as the following weighted average—

Îtotal = P1I1 + (1 – P1)I0 = P1I1 + (1 – P1)I1R = I1[P1+(1 – P1)R]

As an example, consider invasive female breast cancer in a hypothetical Census region with seven states. Incidence data for five states that cover 86.3% of the population (P1 = 0.863) are eligible for inclusion in the calculation of the regional incidence rate; data for two states are not eligible. The female breast cancer death rate for the five eligible states is M subscript 1 equals 27.3 divided by 10 to the fifth power, and the rate for the two ineligible states is M subscript 0 equals 27.7 divided by 10 to the fifth power.

The age-adjusted incidence rate for states with eligible cancer registries is I subscript 1 equals 145.1 divided by 10 to the fifth power.

The age-adjusted incidence rate for female invasive breast cancer in the entire Census region (in other words, corrected for the data not available from the ineligible registries) is

I circumflex subscript total equals 145.1 divided by 10 to the fifth power mutiplied by the sum of 0.863 plus 0.137 times 27.7 divided by 27.3, which equals 145.39 divided by 10 to the fifth power

The underlying assumptions for this method are that the age-adjusted death rates for states with and without eligible cancer registries are accurate and that the incidence-to-mortality ratio for states without eligible cancer registries in that Census region or division equals the incidence-to-mortality ratio for states with eligible cancer registries in that Census region or division.

For each Census region or division in which less than 100% of the registries provided data eligible for this report, we used the above-described method to estimate the age-adjusted incidence rates (Îtotal) for the six major cancer sex-site groups: breast (female only), prostate, male and female colorectal, and male and female lung and bronchus. If the estimate of the age-adjusted incidence rate for each of the six cancer sites for that Census region or division falls within the confidence interval of the observed age-adjusted incidence rate for states with eligible cancer registries, then the observed age-adjusted incidence rates for all cancer sites are published. If one or more of the six estimates of age-adjusted incidence rates falls outside the confidence interval, then the observed age-adjusted cancer incidence rates are not reported for that U.S. Census region or division.

We emphasize, however, that all cancer incidence rates in this report are based exclusively on data obtained from states with eligible cancer registries and are not the estimates of the age-adjusted incidence rates calculated using the methods described above.

TOP