Influenza Activity — United States, 2015–16 Season and Composition of the 2016–17 Influenza Vaccine
Semanal / 10 de junio del 2016 / 65(22);567-575
Datos del artículo
Las vistas equivalen a las vistas de páginas más las descargas de PDFVistas:
Citas:
Métricas alternativas:
Detalles de la métricaStacy L. Davlin, PhD1,2; Lenee Blanton, MPH1; Krista Kniss, MPH1; Desiree Mustaquim, MPH1; Sophie Smith, MPH1; Natalie Kramer1; Jessica Cohen, MPH1,2; Charisse Nitura Cummings, MPH1,3; Shikha Garg, MD1; Brendan Flannery, PhD1; Alicia M. Fry, MD1; Lisa A. Grohskopf, MD1; Joseph Bresee, MD1; Teresa Wallis, MS1; Wendy Sessions, MPH1; Rebecca Garten, PhD1; Xiyan Xu, MD1; Anwar Isa Abd Elal1; Larisa Gubareva, PhD1; John Barnes, PhD1; David E. Wentworth, PhD1; Erin Burns, MA1; Jacqueline Katz, PhD1; Daniel Jernigan, MD1; Lynnette Brammer, MPH1 (ver las afiliaciones de los autores)
Ver la referencia bibliográfica sugeridaResumen
¿Qué se sabe sobre este tema?
CDC collects, compiles, and analyzes data on influenza activity year-round in the United States. Substantial influenza activity generally begins in the fall and continues through the winter and spring months. However, the timing and severity of influenza activity varies by geographic location and season.
¿Qué información agrega este informe?
The 2015-16 influenza season was less severe overall compared with the preceding three seasons. The cumulative hospitalization rate for all ages of 31.3 per 100 000 population was lower than those for the previous three seasons (64.1 in 2014-15, 35.1 in 2013-14, and 44 in 2012-13), and the number of influenza-associated pediatric deaths (74) also was lower compared with previous seasons (148 in 2014-15, 111 in 2013-14, and 171 in 2012-13). Influenza activity began later and continued for a longer period, peaking in mid-March. During the most recent 18 influenza seasons, only two other seasons have peaked in March (2011-12 and 2005-06). Influenza A (H1N1)pdm09 viruses predominated during the 2015-16 influenza season, with influenza B viruses, and to a lesser extent, influenza A (H3N2) viruses cocirculating. Antigenic and genetic characterization showed that most circulating viruses were well-matched to the 2015-16 Northern Hemisphere vaccine.
¿Cuáles son las consecuencias para la práctica de salud pública?
Influenza surveillance, including for novel influenza viruses, should continue throughout the summer months, and health care providers should consider influenza as a cause of respiratory illness even outside the typical season. Although influenza viruses typically circulate at low levels during the summer months, antiviral treatment is recommended for all patients with confirmed or suspected influenza who have severe, complicated, or progressive influenza-like illness; those who require hospitalization; and those at higher risk for influenza-related complications, including adults aged ≥65 years. These medications work best when administered early in the course of illness.
During the 2015–16 influenza season (October 4, 2015–May 21, 2016) in the United States, influenza activity* was lower and peaked later compared with the previous three seasons (2012–13, 2013–14, and 2014–15). Activity remained low from October 2015 until late December 2015 and peaked in mid-March 2016. During the most recent 18 influenza seasons (including this season), only two other seasons have peaked in March (2011–12 and 2005–06). Overall influenza activity was moderate this season, with a lower percentage of outpatient visits for influenza-like illness (ILI),† lower hospitalization rates, and a lower percentage of deaths attributed to pneumonia and influenza (P&I) compared with the preceding three seasons. Influenza A(H1N1)pdm09 viruses predominated overall, but influenza A(H3N2) viruses were more commonly identified from October to early December, and influenza B viruses were more commonly identified from mid-April through mid-May. The majority of viruses characterized this season were antigenically similar to the reference viruses representing the recommended components of the 2015–16 Northern Hemisphere influenza vaccine (1). This report summarizes influenza activity in the United States during the 2015–16 influenza season (October 4, 2015–May 21, 2016)§ and reports the vaccine virus components recommended for the 2016–17 Northern Hemisphere influenza vaccines.
Viral Surveillance
Approximately 350 public health and clinical laboratories in the United States report influenza test results to CDC through either the U.S. World Health Organization (WHO) Collaborating Laboratories System or the National Respiratory and Enteric Virus Surveillance System (NREVSS).¶ During October 4, 2015–May 21, 2016, U.S. WHO participating public health laboratories tested 68 886 specimens for influenza viruses, and 26 538 results were positive; 18 781 (70.8%) were influenza A, and 7 757 (29.2%) were influenza B viruses (figura 1). Of the 18 437 influenza A viruses subtyped, 14 877 (80.7%) were influenza A(H1N1)pdm09 viruses, and 3 560 (19.3%) were influenza A(H3N2) viruses. Lineage was determined for 4 912 (63.3%) influenza B viruses; 3 367 (68.5%) were B/Yamagata lineage, and 1 545 (31.5%) were B/Victoria lineage.
Clinical laboratories participating in NREVSS tested 639 456 specimens for influenza viruses; 64 921 (10.2%) were positive (figura 2). Of the positive specimens, 44 201 (68.1%) were influenza A viruses, and 20 720 (31.9%) were influenza B viruses. Based on the percentage of specimens testing positive for influenza, activity peaked during the week ending March 12, 2016 (surveillance week 10), when 23.7% of specimens tested in clinical laboratories were positive for influenza.
Age of the patient was reported for 23 338 (87.9%) of the influenza positive specimens tested by public health laboratories and included 2 657 (11.4%) children aged 0-4 years, 7 062 (30.3%) persons aged 5-24 years, 9 969 (42.7%) persons aged 25-64 years, and 3 650 (15.6%) persons aged ≥65 years. Influenza A(H1N1)pdm09 viruses predominated among all age groups, accounting for approximately half of influenza detections in persons aged 5-24 years and ≥65 years and 69% and 67% among persons aged 0-4 and 25-64 years, respectively. The largest number of influenza A(H3N2) and influenza B viruses were reported among persons aged 5-24 years.
Influenza A(H1N1)pdm09 virus was the most commonly reported influenza virus in all U.S. Department of Health and Human Services regions**; the proportion of influenza infections from influenza A(H1N1)pdm09 viruses ranged from 75% in Region 5 to 36% in Region 6. Influenza A(H3N2) viruses accounted for approximately 25% of viruses reported in Regions 6 and 9, and influenza B viruses accounted for approximately 43% of viruses reported in Region 10.
Nuevos virus de influenza A
During the 2015–16 influenza season, three human infections with novel influenza A viruses were reported to CDC. An influenza A(H1N1) variant (H1N1v) virus†† infection was reported by the Minnesota Department of Health during the week ending December 12, 2015. The patient reported no direct contact with swine in the week before illness onset but lived and worked in an area near where swine were housed. An influenza A(H3N2) variant (H3N2v) virus infection was reported by the New Jersey Department of Health during the week ending January 2, 2016, in a patient who reported no direct contact with swine during the week before symptom onset but who had visited a farm where swine were present. Neither of these patients were hospitalized, and both recovered fully. No evidence of human-to-human transmission was identified. An influenza A(H1N2) variant (H1N2v) virus infection was reported by the Minnesota Department of Health during the week ending May 7, 2016, in a patient who was hospitalized as a result of the illness, but who recovered fully. The patient refused to be interviewed during the investigation; therefore, the source of the infection could not be determined.
Antigenic and Genetic Characterization of Influenza Viruses
WHO collaborating laboratories in the United States are requested to submit a subset of their influenza-positive respiratory specimens to CDC for further virus characterization. CDC characterizes influenza viruses through one or more laboratory tests, including genome sequencing, hemagglutination inhibition, and neutralization assays. These data are used to monitor circulating influenza viruses for early identification of viruses that are antigenically different from the recommended influenza vaccine reference viruses. Most viruses analyzed are propagated in mammalian cell cultures because viruses propagated in tissue culture better represent viruses in circulation, and isolation rates of human influenza viruses are higher in mammalian cell cultures than in eggs, which is the substrate used for production of the majority of influenza vaccines (2,3). In addition, viruses are more likely to undergo adaptive changes when propagated in eggs. Antigenic and genetic characterization of circulating viruses is performed using both mammalian cell- and egg-propagated reference viruses.
Data obtained from antigenic characterization continue to be important in the assessment of the similarity between reference viruses and circulating viruses. Although vaccine effectiveness field studies must be conducted to determine how well a vaccine is working, these laboratory data are used to evaluate whether changes in the virus that could affect vaccine effectiveness might have occurred. Beginning with the 2014-15 season, a proportion of influenza A(H3N2) viruses have not yielded sufficient hemagglutination titers for antigenic characterization by hemagglutination inhibition. For nearly all viruses characterized at CDC laboratories, next-generation whole genome sequencing is performed to determine the genetic identity of circulating viruses. For the subset of viruses that do not yield sufficient hemagglutination titers, antigenic properties are inferred using results obtained from viruses within the same genetic group as those that have been characterized antigenically.
CDC has antigenically or genetically characterized 2 616 influenza viruses collected and submitted by U.S. laboratories since October 1, 2015, including 997 influenza A(H1N1)pdm09 viruses, 625 influenza A(H3N2) viruses, and 994 influenza B viruses. Among the 997 influenza A(H1N1)pdm09 viruses characterized, 996 (99.9%) were found to be antigenically similar to A/California/7/2009, the reference virus representing the influenza A(H1N1) component of the 2015-16 Northern Hemisphere influenza vaccine. One (0.1%) of the A(H1N1)pdm09 viruses tested showed a reduced titer to A/California/7/2009. Although all recent influenza A(H1N1)pdm09 viruses belong to hemagglutinin (HA) genetic group 6B, two genetic subgroups, 6B.1 and 6B.2, have emerged, with the majority of U.S. viruses belonging to 6B.1. To date, however, viruses from these genetic subgroups remain antigenically similar to the A/California/7/2009 virus component in the vaccine.
All 625 influenza A(H3N2) viruses were genetically sequenced, and all viruses belonged to genetic groups for which a majority of viruses antigenically characterized were similar to cell-propagated A/Switzerland/9715293/2013, the reference virus representing the influenza A(H3N2) component of the 2015-16 Northern Hemisphere vaccine. A subset of 318 influenza A(H3N2) viruses also was antigenically characterized; 309 of 318 (97.2%) were similar to A/Switzerland/9715293/2013.
A total of 548 influenza B/Yamagata-lineage viruses were characterized, and all were found to be similar to B/Phuket/3073/2013, the reference virus representing the influenza B/Yamagata-lineage component of the 2015-16 Northern Hemisphere trivalent and quadrivalent vaccines. A total of 446 influenza B/Victoria-lineage viruses were characterized, and 439 (98.4%) were found to be similar to B/Brisbane/60/2008, the reference virus representing the influenza B/Victoria-lineage component of the 2015-16 Northern Hemisphere quadrivalent vaccine. Seven (1.6%) of the B/Victoria-lineage viruses tested showed reduced titers to B/Brisbane/60/2008.
Antiviral Susceptibility of Influenza Viruses
Since October 1, 2015, a total of 2 408 influenza virus specimens have been tested for susceptibility to influenza antiviral medications. All 1 188 influenza B viruses and 658 influenza A(H3N2) viruses tested were susceptible to oseltamivir, zanamivir, and peramivir. Among 2 193 influenza A(H1N1)pdm09 viruses tested for susceptibility, 18 (0.8%) were found to be resistant to oseltamivir and peramivir. All 1 127 influenza A(H1N1)pdm09 viruses tested were susceptible to zanamivir. High levels of resistance to the adamantanes (amantadine and rimantadine) persist among influenza A viruses currently circulating globally; adamantanes are not effective against influenza B viruses. Adamantane drugs are not recommended for use against influenza at this time.
Composición de la vacuna contra la influenza 2016-17
The Food and Drug Administration’s Vaccines and Related Biological Products Advisory Committee has recommended that the 2016–17 influenza trivalent vaccines used in the United States contain an A/California/7/2009 (H1N1)pdm09-like virus, an A/Hong Kong/4801/2014 (H3N2)-like virus, and a B/Brisbane/60/2008-like virus (B/Victoria lineage). It is recommended that quadrivalent vaccines, which have two influenza B viruses, contain the viruses recommended for the trivalent vaccines, as well as a B/Phuket/3073/2013-like virus (B/Yamagata lineage) (4). This represents a change in the influenza A(H3N2) component and a change in the influenza B lineage included in the trivalent vaccine compared with the composition of the 2015–16 influenza vaccines. The vaccine viruses recommended for inclusion in the 2016–17 Northern Hemisphere influenza vaccines are the same vaccine viruses that were chosen for inclusion in 2016 Southern Hemisphere seasonal influenza vaccines. These vaccine recommendations were based on a number of factors, including global influenza virologic and epidemiologic surveillance, genetic and antigenic characterization, antiviral susceptibility, and the availability of candidate vaccine viruses for production.
Vigilancia de enfermedades en pacientes ambulatorios
Nationally, the weekly percentage of outpatient visits for ILI to health care providers participating in the U.S. Outpatient Influenza-Like Illness Surveillance Network (ILINet) exceeded the national baseline level§§ of 2.1% beginning the week ending December 26, 2015 (week 51) and remained at or above baseline for 17 consecutive weeks during the 2015–16 influenza season (figura 3). The increase in the percentage of patient visits for ILI during weeks 51 and 52 (the weeks ending December 26, 2015, and January 2, 2016) might have been influenced in part by a reduction in routine health care visits during the holidays, as has occurred during previous seasons. The peak percentage of outpatient visits for ILI was 3.6% and occurred during the week ending March 12, 2016 (week 10). During the 2001-02 through 2014-15 seasons, peak weekly percentages of outpatient visits for ILI ranged from 2.4% to 7.7% and remained at or above baseline levels for an average of 13 weeks (range = 1-20 weeks).
ILINet data are used to produce a weekly jurisdiction-level measure of ILI activity,¶¶ ranging from minimal to high. The number of jurisdictions experiencing elevated ILI activity peaked during the week ending March 12, 2016 (week 10) when a total of 14 states, Puerto Rico, and New York City experienced high ILI activity. A total of 23 jurisdictions experienced high ILI activity during at least 1 week this season. The peak number of jurisdictions experiencing high ILI activity in a single week during the last six influenza seasons has ranged from four during the 2011–12 season to 45 during the 2014–15 season.
Geographic Spread of Influenza Activity
State and territorial epidemiologists report the geographic distribution of influenza in their jurisdictions through a weekly influenza activity code.*** The geographic distribution of influenza activity was most extensive during the week ending March 12, 2016 (week 10), when a total of 41 jurisdictions reported influenza activity as widespread. During the previous six seasons, the peak number of jurisdictions reporting widespread activity ranged from 20 during the 2011-12 season to 49 during the 2010-11 season.
Hospitalizaciones asociadas a la influenza
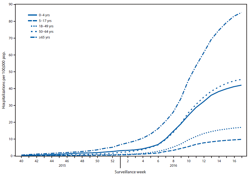
CDC monitors hospitalizations associated with laboratory-confirmed influenza virus infections using the FluSurv-NET††† surveillance system. Cumulative hospitalization rates per 100 000 population were calculated by age group based on 8 646 total hospitalizations resulting from influenza during October 1, 2015–April 30, 2016. The cumulative incidence§§§ for all age groups was 31.3 per 100 000 population. The cumulative hospitalization rates by age group for this period were 41.8 (0–4 years), 9.7 (5–17 years), 16.8 (18–49 years), 45.2 (50–64 years), and 84.8 (≥65 years) (figura 4). During the past five influenza seasons, age-specific hospitalization rates ranged from 16 to 67 (0–4 years), 4 to 16.6 (5–17 years), 4.1 to 21.4 (18–49 years), 8.1 to 53.7 (50–64 years), and 30.2 to 308.5 (≥65 years).
Among all hospitalizations, 6 462 (74.5%) were associated with influenza A, 2 131 (24.6%) with influenza B, and 45 (0.5%) with influenza A and B coinfection; 37 (0.4%) had no virus type information. Among those with influenza A subtype information, 2 441 (88.7%) were influenza A(H1N1)pdm09, and 310 (11.3%) were influenza A(H3N2) virus.
Among cases reported as of June 3, 2016, of FluSurv-NET adult patients for whom medical chart data were available, 91.8% had at least one reported underlying medical condition; the most frequently reported underlying conditions were obesity (41.8%), cardiovascular disease (39.6%), and metabolic disorders (38.4%). Among children hospitalized with laboratory-confirmed influenza and for whom medical chart data were available, 47.5% had at least one underlying medical condition. The most commonly reported underlying medical conditions were asthma or reactive airway disease (21.7%) and neurologic disorders (18.3%). Among the 377 hospitalized women of childbearing age (15-44 years) who had laboratory-confirmed influenza, 83 (22%) were pregnant.
Pneumonia and Influenza-Associated Mortality
During the 2015–16 influenza season, based on data from CDC’s National Center for Health Statistics Mortality Surveillance System,¶¶¶ the proportion of deaths attributed to P&I was at or slightly above the epidemic threshold**** for 3 consecutive weeks from the week ending January 2, 2016, through the week ending January 16, 2016 (weeks 52–2) and again for 4 consecutive weeks from the week ending February 27, 2016, through the week ending March 19, 2016 (weeks 8–11). The percentage of deaths attributed to P&I peaked at 7.9% during the week ending March 19, 2016 (week 11). During the past five influenza seasons, peak weekly percentages of deaths attributable to P&I have ranged from 8.7% during the 2011–12 season to 11.1% during the 2012–13 season.
De acuerdo con los datos del Sistema de Informes de Mortalidad de 122 Ciudades, el porcentaje de muertes semanal que se le atribuye a la neumonía y la influenza excedió el umbral de epidemia para las semanas que finalizan el 16 de enero del 2016 (semana 2) y 27 de febrero del 2016 (semana 8), y de nuevo por 5 semanas consecutivas desde la semana que finaliza el 19 de marzo del 2016, hasta la semana que finaliza el 16 de abril del 2016 (semanas 11-15), y finalmente, para las 2 semanas consecutivas desde la semana que finaliza el 7 de mayo del 2016, hasta la semana que finaliza el 14 de mayo del 2016 (semanas 18-19). La mortalidad a causa de la neumonía y la influenza en 7.8% durante la semana que finaliza el 26, 2016 (semana 12). Durante las últimas cinco temporadas de influenza, los porcentajes máximos semanales de las muertes atribuidas a la neumonía y la influenza alcanzaron el 7.9% durante la temporada 2011-12 hasta el 9.9% durante la temporada 2012-13.
Mortalidad infantil asociada a la influenza
For the 2015-16 influenza season, as of June 3, 2016, a total of 74 laboratory-confirmed, influenza-associated pediatric deaths had been reported from Puerto Rico, the District of Columbia, and 31 states. The deaths occurred in children aged 2 months-16 years; mean and median ages were 7 years and 6 years, respectively. Among the 74 deaths, 29 were associated with an influenza A (H1N1)pdm09 virus infection, three were associated with an influenza A(H3N2) virus infection, 17 were associated with an influenza A virus infection for which no subtyping was performed, 23 were associated with an influenza B virus infection, and two were associated with an influenza virus infection for which type was not determined.
Since influenza-associated pediatric mortality became a nationally notifiable condition in 2004, the total number of influenza-associated pediatric deaths has ranged from 37 to 171 per season; this excludes the 2009 pandemic, when 358 pediatric deaths occurring during April 15, 2009-October 2, 2010 were reported to CDC. The number of influenza-associated pediatric deaths reported during the 2015-16 influenza season was lower than the number reported for each of the three preceding influenza seasons (171 in 2012-13, 111 in 2013-14, and 148 in 2014-15).
Discusión
The 2015–16 influenza season peaked in mid-March, somewhat later than usual. Influenza A(H1N1)pdm09 viruses predominated overall, but influenza A(H3N2) and influenza B viruses also circulated. The season was less severe overall compared with the preceding three seasons, including 2013–14, the last influenza season when influenza A(H1N1)pdm09 was the predominant virus. Whereas influenza A(H3N2)–predominant seasons are typically more severe overall than influenza A(H1N1)pdm09–predominant seasons, and are especially severe among the elderly and the very young, influenza A(H1N1)pdm09 viruses have been associated with severe illness in younger adults since the virus emerged during the 2009 pandemic, when mortality rates were highest in adults aged 50–64 years, and again during the 2013–14 season, when adults aged <65 years were at high risk for severe influenza illness (5). For this season, and the 2013–14 season, cumulative hospitalization rates for adults aged 50–64 years were 45.2 and 53.7 per 100 000 population, respectively, demonstrating that although some age groups are at high risk for developing influenza-related complications every year (6), influenza can cause severe illness in persons of any age, including adults aged 50–64 years.
Testing for seasonal influenza viruses and monitoring for novel influenza A virus infections should continue throughout the summer. Although summer influenza activity in the United States typically is low, influenza cases and outbreaks have occurred during summer months, and clinicians should remain vigilant in considering influenza in the differential diagnosis of summer respiratory illnesses. Health care providers also are reminded to consider novel influenza virus infections in persons with ILI, with swine or poultry exposure, or with severe acute respiratory infection after travel to areas where avian influenza viruses have been detected, especially if there was recent close contact with animals such as wild birds, poultry, or pigs. Providers should alert the local and state public health department if a human infection with a novel influenza virus infection is suspected.
Although vaccination is the best method for preventing and reducing the impact of influenza, prompt treatment with influenza antiviral medications remains an important adjunct for lessening both the severity and duration of influenza (7–9). Patients with confirmed or suspected influenza who have severe illness, require hospitalization, or are at high risk for influenza-related complications should be treated with antivirals as soon as possible. Treatment of severely ill patients or those at high risk should not be delayed or withheld pending confirmatory influenza test results because early treatment is most effective and rapid antigen detection influenza diagnostic tests can be insensitive (7–9).
Influenza surveillance reports for the United States are posted online weekly and are available at http://www.cdc.gov/flu/weekly. Additional information regarding influenza viruses, influenza surveillance, influenza vaccine, influenza antiviral medications, and novel influenza A infections in humans is available at http://espanol.cdc.gov/enes/flu.
Reconocimientos
State, county, city, and territorial health departments and public health laboratories; U.S. World Health Organization collaborating laboratories; National Respiratory and Enteric Virus Surveillance System laboratories; U.S. Outpatient Influenza-Like Illness Surveillance Network sites; FluSurv-NET; National Center for Health Statistics, CDC; 122 Cities Mortality Reporting System; World Health Organization, FluNet; Angie Foust, Elisabeth Blanchard, Priya Budhathoki, Thomas Rowe, Lizheng Guo, Ewelina Lyszkowicz, Shoshona Le, Malania Wilson, Juliana DaSilva, Alma Trujillo, Michael Hillman, Thomas Stark, Samuel Shepard, Sujatha Seenu, Ha Nguyen, Vasiliy Mishin, Erin Hodges, Lori Lollis, Michelle Adamczyk, Juan De la Cruz, Influenza Division, National Center for Immunization and Respiratory Diseases, CDC.
Corresponding author: Stacy Davlin, lxz6@cdc.gov, 404-639-3747.
1Influenza Division, National Center for Immunization and Respiratory Diseases, CDC; 2Atlanta Research and Education Foundation, Georgia; 3Oak Ridge Institute of Science and Technology, Tennessee.
Referencias
- Russell K, Blanton L, Kniss K, et al. Update: influenza activity-United States, October 4, 2015-February 6, 2016. MMWR Morb Mortal Wkly Rep 2016;65:146-53. . CrossRef PubMed
- Schild GC, Oxford JS, de Jong JC, Webster RG. Evidence for host-cell selection of influenza virus antigenic variants. Nature 1983;303:706-9. CrossRef PubMed
- Katz JM, Wang M, Webster RG. Direct sequencing of the HA gene of influenza (H3N2) virus in original clinical samples reveals sequence identity with mammalian cell-grown virus. J Virol 1990;64:1808-11. PubMed
- Administración de Alimentos y Medicamentos. Summary minutes: meeting of the Vaccines and Related Biological Products Advisory Committee. Silver Spring, MD: Departamento de Salud y Servicios Humanos de los EE. UU., Administración de Alimentos y Medicamentos; 2016. http://www.fda.gov/downloads/AdvisoryCommittees/CommitteesMeetingMaterials/BloodVaccinesandOtherBiologics/VaccinesandRelatedBiologicalProductsAdvisoryCommittee/UCM494071.pdf
- Epperson S, Blanton L, Kniss K, et al. . Influenza activity-United States, 2013-14 season and composition of the 2014-15 influenza vaccines. Informe Semanal de Morbilidad y Mortalidad (MMWR) 2014;63:483-90. PubMed
- Grohskopf LA, Sokolow LZ, Olsen SJ, Bresee JS, Broder KR, Karron RA. Prevention and control of influenza with vaccines: recommendations of the Advisory Committee on Immunization Practices-United States, 2015-16 influenza season. MMWR Morb Mortal Wkly Rep 2015;64:818-25. CrossRef PubMed
- Fiore AE, Fry A, Shay D, Gubareva L, Bresee JS, Uyeki TM. Antiviral agents for the treatment and chemoprophylaxis of influenza-recommendations of the Advisory Committee on Immunization Practices (ACIP). Informe de rec. del MMWR 2011;60(N°. RR-1). PubMed
- Dobson J, Whitley RJ, Pocock S, Monto AS. Oseltamivir treatment for influenza in adults: a meta-analysis of randomised controlled trials. Lancet 2015;385:1729-37. CrossRef PubMed
- CDC. Why CDC recommends influenza antiviral drugs. Atlanta, GA: Departamento de Salud y Servicios Humanos de los EE. UU., CDC; 2015. http://www.cdc.gov/media/haveyouheard/hyh-antiviraldrugs.html
* The CDC influenza surveillance system collects information in five categories from nine data sources: 1) viral surveillance (U.S. World Health Organization collaborating laboratories, the National Respiratory and Enteric Virus Surveillance System, and novel influenza A virus case reporting); 2) outpatient illness surveillance (U.S. Outpatient Influenza-Like Illness Surveillance Network); 3) mortality (National Center for Health Statistics Mortality Surveillance System, 122 Cities Mortality Reporting System, and influenza-associated pediatric mortality reports); 4) hospitalizations (Influenza Hospitalization Surveillance Network [FluSurv-NET], which includes the Emerging Infections Program and surveillance in three additional states); and 5) a summary of the geographic spread of influenza (state and territorial epidemiologist reports).
† Defined as a temperature of ≥100°F (≥37.8°C), oral or equivalent, and cough or sore throat, in the absence of a known cause other than influenza.
§ Data reported as of June 3, 2016.
¶ World Health Organization and National Respiratory and Enteric Virus Surveillance System laboratories include both public health and clinical laboratories located throughout all 50 states, Puerto Rico, and the District of Columbia that contribute to virologic surveillance for influenza. Clinical laboratories test respiratory specimens for diagnostic purposes, whereas public health laboratories primarily test specimens for surveillance purposes. Because of differences in these testing practices, virologic data for clinical and public health laboratories is being presented separately beginning with the 2015–16 influenza season.
** The 10 regions include the following jurisdictions. Region 1: Connecticut, Maine, Massachusetts, New Hampshire, Rhode Island, and Vermont; Region 2: New Jersey, New York, Puerto Rico, and the U.S. Virgin Islands; Region 3: Delaware, District of Columbia, Maryland, Pennsylvania, Virginia, and West Virginia; Region 4: Alabama, Florida, Georgia, Kentucky, Mississippi, North Carolina, South Carolina, and Tennessee; Region 5: Illinois, Indiana, Michigan, Minnesota, Ohio, and Wisconsin; Region 6: Arkansas, Louisiana, New Mexico, Oklahoma, and Texas; Region 7: Iowa, Kansas, Missouri, and Nebraska; Region 8: Colorado, Montana, North Dakota, South Dakota, Utah, and Wyoming; Region 9: Arizona, California, Hawaii, Nevada, American Samoa, Northern Mariana Islands, Federated States of Micronesia, Guam, Marshall Islands, and Palau; Region 10: Alaska, Idaho, Oregon, and Washington.
†† Influenza viruses that circulate in swine are called swine influenza viruses when isolated from swine, but are called variant influenza viruses when isolated from humans. Seasonal influenza viruses that circulate worldwide in human populations have important antigenic and genetic differences from influenza viruses circulating in swine.
§§ The national and regional baselines are the mean percentage of visits for ILI during weeks with little or no influenza virus circulation (noninfluenza weeks) for the previous three seasons plus two standard deviations. Noninfluenza weeks are defined as periods of ≥2 consecutive weeks in which each week accounted for <2% of the season’s total number of specimens that tested positive for influenza. National and regional percentages of patient visits for ILI are weighted on the basis of state population. Use of the national baseline for regional data is not appropriate.
¶¶ Activity levels are based on the percentage of outpatient visits in a jurisdiction attributed to ILI and are compared with the average percentage of ILI outpatient visits that occur during weeks with little or no influenza virus circulation. Activity levels range from minimal, which corresponds to ILI activity from outpatient clinics being at or below the average, to high, which corresponds to ILI activity from outpatient clinics being much higher than the average. Because the clinical definition of ILI is nonspecific, not all ILI is caused by influenza; however, when combined with laboratory data, the information on ILI activity provides a clearer picture of influenza activity in the United States.
*** Levels of activity are 1) no activity; 2) sporadic: isolated laboratory-confirmed influenza cases or a laboratory-confirmed outbreak in one institution, with no increase in activity; 3) local: increased ILI, or two or more institutional outbreaks (ILI or laboratory-confirmed influenza) in one region of the state, with recent laboratory evidence of influenza in that region; virus activity no greater than sporadic in other regions; 4) regional: increased ILI activity or institutional outbreaks (ILI or laboratory-confirmed influenza) in more than two, but less than half of the regions in the state with recent laboratory evidence of influenza in those regions; 5) widespread: increased ILI activity or institutional outbreaks (ILI or laboratory-confirmed influenza) in at least half the regions in the state, with recent laboratory evidence of influenza in the state.
††† FluSurv-NET conducts population-based surveillance for laboratory-confirmed influenza-associated hospitalizations among children aged <18 years (since the 2003–04 influenza season) and adults aged ≥18 years (since the 2005–06 influenza season). FluSurv-NET covers approximately 70 counties in the 10 Emerging Infections Program states (California, Colorado, Connecticut, Georgia, Maryland, Minnesota, New Mexico, New York, Oregon, and Tennessee) and additional Influenza Hospitalization Surveillance Project (IHSP) states. IHSP began during the 2009–10 season to enhance surveillance during the 2009 H1N1 pandemic. IHSP sites included Idaho, Iowa, Michigan, Oklahoma, and South Dakota during the 2009–10 season; Idaho, Michigan, Ohio, Oklahoma, Rhode Island, and Utah during the 2010–11 season; Michigan, Ohio, Rhode Island, and Utah during the 2011–12 season; Iowa, Michigan, Ohio, Rhode Island, and Utah during the 2012–13 season; and Michigan, Ohio, and Utah during the 2013–14, 2014–15, and 2015–16 seasons.
§§§ Incidence rates are calculated using CDC’s National Center for Health Statistics population estimates for the counties included in the surveillance catchment area. Laboratory confirmation is dependent on clinician-ordered influenza testing, and testing for influenza often is underutilized because of the poor reliability of rapid influenza diagnostic test results and greater reliance on clinical diagnosis for influenza. As a consequence, the number of cases identified as part of influenza hospitalization surveillance likely is an underestimate of the actual number of persons hospitalized with influenza.
¶¶¶ Pneumonia and influenza (P&I)–associated deaths are tracked through two systems, the National Center for Health Statistics (NCHS) Mortality Surveillance System, which reports the week the death occurred, and the 122 Cities Mortality Reporting System, which reports the week that the death certificate was registered. Because of these differences in reporting, the two data sources produce different percentages. Beginning with the 2015–16 influenza season, the NCHS Mortality Surveillance System has been the principal component of the U.S. Mortality Surveillance System.
**** The seasonal baseline proportion of P&I deaths is projected using a robust regression procedure, in which a periodic regression model is applied to the observed percentage of deaths from P&I that were reported by the National Center for Health Statistics Mortality Surveillance System and the 122 Cities Mortality Reporting System during the preceding 5 years. The epidemic threshold is set at 1.65 standard deviations above the seasonal baseline. Users of the data should not expect the NCHS mortality surveillance data and the 122 Cities Mortality Reporting System to produce the same percentages, and the percent P&I deaths from each system should be compared with the corresponding system specific baselines and thresholds.
FIGURA 1. Number* of influenza positive tests reported to CDC by public health laboratories, by virus subtype/lineage and surveillance week — United States, 2015–16 influenza season†

* N = 26,538.
† Data reported as of June 3, 2016.
FIGURA 2. Number* and percentage of respiratory specimens testing positive for influenza reported by clinical laboratories, by type and surveillance week — United States, 2015–16 influenza season†

* N = 64,921.
† Data reported as of June 3, 2016.
FIGURA 3. Percentage of visits for influenza-like illness (ILI)* reported to CDC — U.S. Outpatient Influenza-Like Illness Surveillance Network, United States, 2015–16 influenza season and selected previous seasons†

* Defined as a temperature of =100°F (=37.8°C), oral or equivalent, and cough or sore throat, in the absence of a known cause other than influenza.
† Data reported as of June 3, 2016.
FIGURA 4. Cumulative rates of hospitalization for laboratory-confirmed influenza, by age group and surveillance week — FluSurv-NET,* United States, 2015–16 influenza season†

* FluSurv-NET conducts population-based surveillance for laboratory-confirmed influenza-associated hospitalizations among children aged <18 years (since the 2003-04 influenza season) and adults aged =18 years (since the 2005-06 influenza season). FluSurv-NET covers approximately 70 counties in the 10 Emerging Infections Program states (California, Colorado, Connecticut, Georgia, Maryland, Minnesota, New Mexico, New York, Oregon, and Tennessee) and additional Influenza Hospitalization Surveillance Project (IHSP) states. IHSP began during the 2009-10 season to enhance surveillance during the 2009 H1N1 pandemic. IHSP sites included Idaho, Iowa, Michigan, Oklahoma, and South Dakota during the 2009-10 season; Idaho, Michigan, Ohio, Oklahoma, Rhode Island, and Utah during the 2010-11 season; Michigan, Ohio, Rhode Island, and Utah during the 2011-12 season; Iowa, Michigan, Ohio, Rhode Island, and Utah during the 2012-13 season; and Michigan, Ohio, and Utah during the 2013-14, 2014-15, and 2015-16 seasons.
† Data reported as of June 3, 2016.
Suggested citation for this article: Davlin SL, Blanton L, Kniss K, et al. Influenza Activity — United States, 2015–16 Season and Composition of the 2016–17 Influenza Vaccine. Informe Semanal de Morbilidad y Mortalidad (MMWR) 2016;65:567–575. DOI: http://dx.doi.org/10.16/mmwr.mm6522a3.
El uso de nombres de marcas y fuentes comerciales se utiliza solamente para efectos de identificación y no constituye aval alguno por parte del Departamento de Salud y Servicios Humanos de los EE. UU.
Las referencias de sitios en Internet que no son de los CDC se ofrecen como un servicio a los lectores del MMWR y no constituyen ni implican el aval de estas organizaciones o sus programas por parte de los CDC o del Departamento de Salud y Servicios Humanos de los EE. UU. Los CDC no son responsables por el contenido de las páginas de estos sitios. Las direcciones URL enumeradas en el MMWR estaban actualizadas hasta la fecha de la publicación.
Todas las versiones HTML de los artículos del MMWR son generadas de pruebas finales a través de procesos automatizados. Esta conversión podría resultar en la traducción de caracteres o errores de formato en la versión HTML. Los usuarios deben remitirse a la versión en PDF (https://www.cdc.gov/mmwr) o a la copia original en papel del MMWR para obtener versiones para imprimir del texto, las cifras y las tablas oficiales.
Las preguntas o mensajes con respecto a errores en el formato deben dirigirse a mmwrq@cdc.gov.
Ayuda con los formatos de archivos:
¿Cómo se visualizan los diferentes formatos de archivos (PDF, DOC, PPT, MPEG) en este sitio?- Esta página fue revisada el 24 de agosto de 2017
- Esta página fue modificada el 24 de agosto de 2017
- Fuente del contenido:
CompartirCompartir