Algebra
Textbooks
Boundless Algebra
Algebra Textbooks Boundless Algebra
Algebra Textbooks
Algebra

Chapter 8

Exponents, Logarithms, and Inverse Functions

Book Version 13
By Boundless
Boundless Algebra
Algebra
by Boundless
View the full table of contents
Section 1
Inverse and Composite Functions
Thumbnail
Introduction to Inverse Functions

To find the inverse function, switch the $x$ and $y$ values, and then solve for $y$.

Composition of Functions and Decomposing a Function

Functional composition allows for the application of one function to another; this step can be undone by using functional decomposition.

Thumbnail
Restricting Domains to Find Inverses

Domain restriction is important for inverse functions of exponents and logarithms because sometimes we need to find an unique inverse.

Thumbnail
Inverses of Composite Functions

A composite function represents, in one function, the results of an entire chain of dependent functions.

Section 2
Introduction to Exponents and Logarithms
Thumbnail
Introduction to Exponential and Logarithmic Functions

Logarithmic functions and exponential functions are inverses of each other. That is, they undo each other. 

Logarithmic Functions

The logarithm of a number is the exponent by which another fixed value, the base, has to be raised to produce that number.

Thumbnail
Common Bases of Logarithms

Any positive number can be used as the base of a logarithm but certain bases ($10$, $e$, and $2$) have more widespread applications than others.

Converting between Exponential and Logarithmic Equations

Logarithmic and exponential forms are closely related, and an equation in either form can be freely converted into the other.

Section 3
Graphs of Exponential and Logarithmic Functions
Thumbnail
Basics of Graphing Exponential Functions

The exponential function $y=b^x$ where $b>0$ is a function that will remain proportional to its original value when it grows or decays.

Thumbnail
Graphs of Logarithmic Functions

Logarithmic functions can be graphed manually or electronically with points generally determined via a calculator or table.

Thumbnail
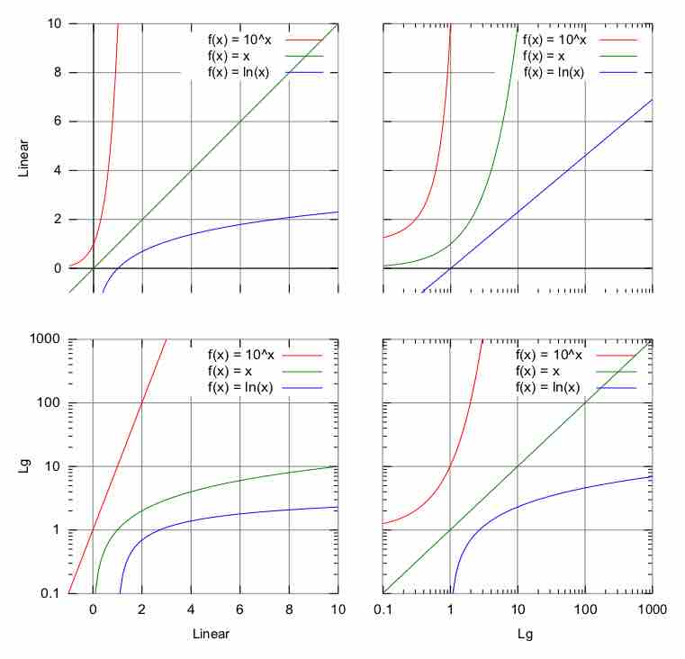
Solving Problems with Logarithmic Graphs

Some functions with rapidly changing shape are best plotted on a scale that increases exponentially, such as a logarithmic graph.

Section 4
Working With Logarithms
Logarithms of Products

A useful property of logarithms states that the logarithm of a product of two quantities is the sum of the logarithms of the two factors. In symbols, $\log_b(xy)=\log_b(x)+\log_b(y).$

Logarithms of Powers

A simplifying principle of logarithms is that the logarithm of the $p\text{th}$ power of a quantity is $p$ times the logarithm of the quantity. In symbols, $\log_b(x^p)=p\log_b(x).$

Logarithms of Quotients

The logarithm of the ratio of two quantities is the difference of the logarithms of the quantities. In symbols, $\log_b(x/y)=\log_b(x)-\log_b(y).$ 

Changing Logarithmic Bases

A logarithm written in one base can be converted to an equal quantity written in a different base. 

Section 5
The Real Number e
The Number e

The number $e$ is an important mathematical constant, approximately equal to $2.71828$. When used as the base for a logarithm, we call the logarithm a natural logarithm and write it as $\ln x$.

Thumbnail
Graphs of Exponential Functions, Base e

The function $f(x) = e^x$ is a basic exponential function with some very interesting properties.

Thumbnail
Natural Logarithms

The natural logarithm is the logarithm to the base e, where e is an irrational and transcendental constant approximately equal to 2.718281828.

Section 6
Applications of Exponential and Logarithmic Functions
Thumbnail
Population Growth

Population can fluctuate positively or negatively and can be modeled using an exponential function. 

Thumbnail
Limited Growth

A realistic model of exponential growth must dampen when approaching a certain value. This limited growth is modelled with the logistic growth model: $P(t)=\frac{c}{1+a\cdot e^{-bt}}$.

Thumbnail
Interest Compounded Continuously

Compound interest is accrued when interest is earned not only on principal, but on previously accrued interest: it is interest on interest.

Thumbnail
Exponential Decay

Exponential decay is the result of a function that decreases in proportion to its current value. 

You are in this book
Boundless Algebra by Boundless
Previous Chapter
Chapter 7
Polynomials and Rational Functions
  • Introduction to Polynomials
  • Graphing Polynomial Functions
  • Polynomial Division
  • Zeroes of Polynomial Functions
  • Rational Functions
and 1 more sections...
Current Chapter
Chapter 8
Exponents, Logarithms, and Inverse Functions
  • Inverse and Composite Functions
  • Introduction to Exponents and Logarithms
  • Graphs of Exponential and Logarithmic Functions
  • Working With Logarithms
  • The Real Number e
and 1 more sections...
Next Chapter
Chapter 9
Matrices
  • Introduction to Matrices
  • Using Matrices to Solve Systems of Equations
  • Inverses of Matrices
  • Determinants and Cramer's Rule
Subjects
  • Accounting
  • Algebra
  • Art History
  • Biology
  • Business
  • Calculus
  • Chemistry
  • Communications
  • Economics
  • Finance
  • Management
  • Marketing
  • Microbiology
  • Physics
  • Physiology
  • Political Science
  • Psychology
  • Sociology
  • Statistics
  • U.S. History
  • World History
  • Writing

Except where noted, content and user contributions on this site are licensed under CC BY-SA 4.0 with attribution required.