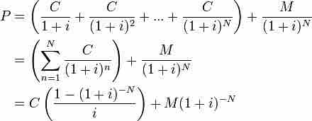
Bond price is the present value of all coupon payments and the face value paid at maturity.
Boundless vets and curates high-quality, openly licensed content from around the Internet. This particular resource used the following sources: