Finance
Textbooks
Boundless Finance
Finance Textbooks Boundless Finance
Finance Textbooks
Finance

Chapter 6

Bond Valuation

Book Version 3
By Boundless
Boundless Finance
Finance
by Boundless
View the full table of contents
Section 1
The Basics of Interest Rates
Thumbnail
Understanding the Cost of Money

The cost of money is the opportunity cost of holding money instead of investing it, depending on the rate of interest.

Thumbnail
Interest Rate Levels

An interest rate is the rate at which interest is paid by a borrower for the use of money that they borrow from a lender.

Thumbnail
Drivers of Market Interest Rates

Market interest rates are mostly driven by inflationary expectations, alternative investments, risk of investment, and liquidity preference.

Thumbnail
The Term Structure

Term structure of interest rates describes how rates change over time.

Section 2
Additional Detail on Interest Rates
Thumbnail
The Yield Curve

A yield curve shows the relation between interest rate levels (or cost of borrowing) and the time to maturity.

Thumbnail
Using the Yield Curve to Estimate Interest Rates in the Future

Yield curves on bonds and government provided securities are correlative, and are useful in projected future rates.

Thumbnail
Macroeconomic Factors Influencing the Interest Rate

Taylor explained the rule of determining interest rates using three variables: inflation rate, GDP growth, and the real interest rate.

Section 3
Key Characteristics of Bonds
Thumbnail
Par Value

Par value is the amount of money a holder will get back once a bond matures; a bond can be sold at par, at premium, or discount.

Thumbnail
Coupon Interest Rate

The coupon rate is the amount of interest that the bondholder will receive per payment, expressed as a percentage of the par value.

Thumbnail
Maturity Date

Maturity date refers to the final payment date of a loan or other financial instrument.

Thumbnail
Call Provisions

A callable bond allows the issuer to redeem the bond before the maturity date; this is likely to happen when interest rates go down.

Thumbnail
Sinking Funds

A sinking fund is a method by which an organization sets aside money to retire debts.

Thumbnail
Other Features

Other important features of bonds include the yield, market price and putability of a bond.

Section 4
Understanding Bonds
Thumbnail
The Nature of Bonds

A bond is an instrument of indebtedness of the bond issuer to the holders.

Thumbnail
Duration

Duration is the weighted average of the times until fixed cash flows of a financial asset are received.

Thumbnail
Indenture

A bond indenture is a legal contract issued to lenders that defines commitments and responsibilities of the seller and the buyer.

Thumbnail
Ratings

Bond credit rating agencies assess and report the credit worthiness of a corporation's or government's debt issues.

Section 5
Advantages and Disadvantages of Bonds
Thumbnail
Advantages of Bonds

Bonds have some advantages over stocks, including relatively low volatility, high liquidity, legal protection, and a variety of term structures.

Thumbnail
Disadvantages of Bonds

Bonds are subject to risks such as the interest rate risk, prepayment risk, credit risk, reinvestment risk, and liquidity risk.

Section 6
Types of Bonds
Thumbnail
Government Bonds

A government bond is a bond issued by a national government denominated in the country's domestic currency.

Thumbnail
Zero-Coupon Bonds

A zero-coupon bond is a bond with no coupon payments, bought at a price lower than its face value, with the face value repaid at the time of maturity.

Thumbnail
Floating-Rate Bonds

Floating rate bonds are bonds that have a variable coupon equal to a money market reference rate (e.g., LIBOR), plus a quoted spread.

Thumbnail
Other Types of Bonds

Other bonds include register vs. bearer bonds, convertible bonds, exchangeable bonds, asset-backed securities, and foreign currency bonds.

Section 7
Bond Markets
Thumbnail
Purchase Process

Most individuals purchase bonds via a broker or through bond funds.

Thumbnail
Price Transparency

Since bonds are traded in a decentralized, over-the-counter market dominated by dealers, there can be a lack of price transparency.

Section 8
Valuing Bonds
Thumbnail
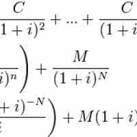
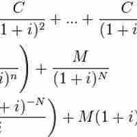
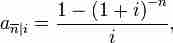
Present Value of Payments

The value of a bond is obtained by discounting the bond's expected cash flows to the present using an appropriate discount rate.

Thumbnail
Par Value at Maturity

Par value is stated value or face value, with a typical bond making a repayment of par value at maturity.

Thumbnail
Yield to Maturity

Yield to maturity is the discount rate at which the sum of all future cash flows from the bond are equal to the price of the bond.

Thumbnail
Inflation Premium

An inflation premium is the part of prevailing interest rates that results from lenders compensating for expected inflation.

Thumbnail
Differences Between Real and Nominal Rates

Nominal rate refers to the rate before adjustment for inflation; the real rate is the nominal rate minus inflation: r = R - i or, 1+r = (1+r)(1+E(r)).

Thumbnail
Time to Maturity

"Time to maturity" refers to the length of time before the par value of a bond must be returned to the bondholder.

Thumbnail
Calculating Yield to Maturity Using the Bond Price

The yield to maturity is the discount rate that returns the bond's market price: YTM = [(Face value/Bond price)1/Time period]-1.

Thumbnail
Impact of Payment Frequency on Bond Prices

Payment frequency can be annual, semi annual, quarterly, or monthly; the more frequently a bond makes coupon payments, the higher the bond price.

Thumbnail
Deciding to Refund Bonds

Refunding occurs when an entity that has issued callable bonds calls those debt securities to issue new debt at a lower coupon rate.

Section 9
Bond Risk
Thumbnail
Price Risk

Price risk is the risk that the market price of a bond will fall, usually due to a rise in the market interest rate.

Thumbnail
Reinvestment Risk

Reinvestment risk is the risk that a bond is repaid early, and an investor has to find a new place to invest with the risk of lower returns.

Thumbnail
Comparing Price Risk and Reinvestment Risk

Price risk is positively correlated to changes in interest rates, while reinvestment risk is inversely correlated.

Thumbnail
Default Risk

Default risk is the risk that a bond issuer will default on any type of debt by failing to make payments which it is obligated to make.

Thumbnail
Bond Rating System

The credit rating is a financial indicator assigned by credit rating agencies; bond ratings below BBB-/Baa are considered junk bonds.

Thumbnail
Bankruptcy and Bond Value

There is no guarantee of how much money will remain to repay bondholders in a bankruptcy, therefore, the value of the bond is uncertain.

You are in this book
Boundless Finance by Boundless
Previous Chapter
Chapter 5
The Time Value of Money
  • Introduction to the Time Value of Money
  • Future Value, Single Amount
  • Present Value, Single Amount
  • Annuities
  • Valuing Multiple Cash Flows
and 2 more sections...
Current Chapter
Chapter 6
Bond Valuation
  • The Basics of Interest Rates
  • Additional Detail on Interest Rates
  • Key Characteristics of Bonds
  • Understanding Bonds
  • Advantages and Disadvantages of Bonds
and 4 more sections...
Next Chapter
Chapter 7
Stock Valuation
  • Defining Stock
  • Types of Stock
  • Rules and Rights of Common and Preferred Stock
  • Stock Markets
  • Stock Valuation
and 1 more sections...
Subjects
  • Accounting
  • Algebra
  • Art History
  • Biology
  • Business
  • Calculus
  • Chemistry
  • Communications
  • Economics
  • Finance
  • Management
  • Marketing
  • Microbiology
  • Physics
  • Physiology
  • Political Science
  • Psychology
  • Sociology
  • Statistics
  • U.S. History
  • World History
  • Writing

Except where noted, content and user contributions on this site are licensed under CC BY-SA 4.0 with attribution required.