Cutamesine
Cutamesine (SA 4503) is a synthetic sigma receptor agonist which is selective for the σ1 receptor, a chaperone protein mainly found in the endoplasmic reticulum of cells in the central nervous system.[1][2][3][4] These σ1 receptors play a key role in the modulation of Ca2+ release and apoptosis.[3] Cutamesine's activation of the σ1 receptor is tied to a variety of physiological phenomena in the CNS, including activation of dopamine-releasing neurons and repression of the MAPK/ERK pathway.[5][6]
![]() | |
| Names | |
|---|---|
| Preferred IUPAC name
1-[2-(3,4-Dimethoxyphenyl)ethyl]-4-(3-phenylpropyl)piperazine | |
| Identifiers | |
| |
3D model (JSmol) |
|
PubChem CID |
|
| UNII |
|
| |
| Properties | |
| C23H32N2O2 | |
| Molar mass | 368.521 g·mol−1 |
Except where otherwise noted, data are given for materials in their standard state (at 25 °C [77 °F], 100 kPa).
Infobox references | |
Structure
The molecular formula for cutamesine is C23H32N2O2.[2] This particular agonist is a piperazine, meaning that its core functional group is a six-membered heterocycle with two oppositely-placed nitrogen atoms. Two phenalkyl groups act as substituents for the two nitrogen atoms. The phenethyl group has methoxy groups on the 3 and 4 locations of the aromatic ring, while the phenpropyl group has no additional functional groups attached.

Affinity
Causes of Affinity
The 3,4-methoxy groups located on the phenethyl group play an important role in σ receptor binding affinity, with alterations made to these groups leading to changes in affinity to σ1.[7] Replacement side groups that possess the most steric bulk have the lowest binding affinity for the σ1 receptor.[7] The nitrogen atoms in the molecule play a central role in its affinity, as removal of these nitrogen atoms results in a lack of affinity to σ1.[8] N(b) - the nitrogen in the piperazine attached to the longest substituent - plays a much greater role in binding affinity than N(a).[8] Sigma receptors are defined by the presence of one amine binding site and three hydrophobic binding sites nearby in the ligand-binding region.[4] Thus, the N(b) atom in the central piperazine ring serves to interact with the amine binding site and the two phenethyl groups serve to fill two out of the three hydrophobic pockets.[3]
Binding Trends
Cutamesine exhibits high binding affinity for the σ1 receptor, with greatly reduced affinity for the σ2 receptor.[9] It acts as a competitive inhibitor for (+)-[3H]pentazocine.[9] Haloperidol and NE-100 antagonize cutamesine-induced cholinergic (acetylcholine) facilitation.[9] Cutamesine likely does not interact directly with cholinergic receptors, as its binding affinity for them is nearly non-existent.[10] It can also bind to vertebral emopamil binding protein (EBP).[11] Although EBP exists at a lower density in the brain than σ1 receptors, cutamesine exhibits higher affinity for the former.[11]
Physiological Effects
Memory and Amnesia
It has been shown that cutamesine has anti-amnesic properties and could be used to reduce the effects of amnesia caused by REM sleep deprivation.[12] Decreases in the memory function of rats caused by the presence of scopolamine has been shown to be mitigated by the introduction of SA 4503.[13] The activation of the MAPK/ERK (mitogen-activated protein kinase/extracellular signal-regulated kinase) pathway in neurons is repressed by SA 4503, which in turn leads to reduced stress-related cell death.[6] The presence of SA 4503 has a positive impact on the number of active dopaminergic neurons in the frontal cortex, which is linked to improved memory function.[5]

Depression
σ1 receptors are of interest to scientists studying the neurology of depression, as certain antidepressants (ADs) exhibit high affinity for these receptors and σ1 receptor agonists such as SA 4503 have displayed activity similar to that of ADs in non-human trials.[14] The function of dopaminergic systems has been linked to the effectiveness of ADs, and many experiments involving cutamesine have revolved around dopamine.[1] The presence of SA 4503 has been linked to increases in the concentration of dopamine and dihydroxyphenylacetic acid (a metabolite of dopamine) in the frontal cortex.[1] Cutamesine may assist with the release of dopamine from presynaptic neurons in the frontal cortex.[1] For rodents, there was a negative correlation between SA 4503 levels and immobility time during a forced swimming test.[1]
Heart
The administration of cutamesine has been shown to mitigate the effects of cardiac hypertrophy.[15] Angiotension II-induced hypertrophy results in lower ATP production and smaller mitochondrial size in cardiomyocytes, and introduction of SA 4503 returns both ATP production and mitochondrial size to baseline.[15]
Hearing
The presence of cutamesine is positively correlated with the presence of hippocampal brain‐derived neurotrophic factor (BDNF).[16] Due to the relationship between the presence of BDNF and ciliary neurotrophic factor and the preservation of auditory nerves, it is thought that cutamesine may have a positive effect on the health of the cochlea.[16] Despite the apparent auditory benefits of cutamesine treatment, it does not prevent hearing loss that is a result of aging.[16]
Synthesis
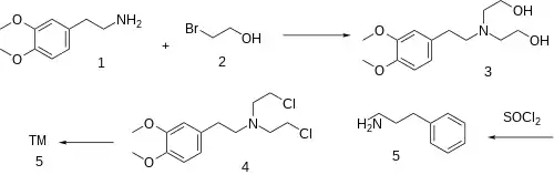
The reaction between DMPEA (homoveratrylamine) (1) and 2-bromoethanol [540-51-2] (2) give N,N-bis(2-hydroxyethyl)-2-(3,4-dimethoxyphenyl)ethylamine, CID:15008971 (3). Halogenation with thionyl chloride gives N,N-Bis(2-chloroethyl)-2-(3,4-dimethoxyphenyl)ethanamine, CID:15008972 (4). The reaction of this with 3-phenylpropylamine [2038-57-5] (5) completed the synthesis of cutamesine (5).
References
- Skuza, Grazyna (November 2003). "Potential antidepressant activity of sigma ligands". Polish Journal of Pharmacology. 55 (6): 923–934. ISSN 1230-6002. PMID 14730086.
- "cutamesine | C23H32N2O2 | ChemSpider". www.chemspider.com. Retrieved 2019-06-12.
- Hayashi, Teruo; Su, Tsung-Ping (November 2007). "Sigma-1 Receptor Chaperones at the ER- Mitochondrion Interface Regulate Ca2+ Signaling and Cell Survival". Cell. 131 (3): 596–610. doi:10.1016/j.cell.2007.08.036. PMID 17981125. S2CID 18885068.
- Weissman, A. D.; Su, T. P.; Hedreen, J. C.; London, E. D. (October 1988). "Sigma receptors in post-mortem human brains". The Journal of Pharmacology and Experimental Therapeutics. 247 (1): 29–33. ISSN 0022-3565. PMID 2845055.
- Skuza, G.; Wedzony, K. (November 2004). "Behavioral Pharmacology of σ-Ligands". Pharmacopsychiatry. 37 (S 3): 183–188. doi:10.1055/s-2004-832676. ISSN 0176-3679. PMID 15547784.
- Tuerxun, Tuerhong; Numakawa, Tadahiro; Adachi, Naoki; Kumamaru, Emi; Kitazawa, Hiromi; Kudo, Motoshige; Kunugi, Hiroshi (January 2010). "SA4503, a sigma-1 receptor agonist, prevents cultured cortical neurons from oxidative stress-induced cell death via suppression of MAPK pathway activation and glutamate receptor expression". Neuroscience Letters. 469 (3): 303–308. doi:10.1016/j.neulet.2009.12.013. PMID 20025928. S2CID 20552121.
- Xu, Rong; Lord, Sarah A.; Peterson, Ryan M.; Fergason-Cantrell, Emily A.; Lever, John R.; Lever, Susan Z. (January 2015). "Ether modifications to 1-[2-(3,4-dimethoxyphenyl)ethyl]-4-(3-phenylpropyl)piperazine (SA4503): Effects on binding affinity and selectivity for sigma receptors and monoamine transporters". Bioorganic & Medicinal Chemistry. 23 (1): 222–230. doi:10.1016/j.bmc.2014.11.007. PMC 4274187. PMID 25468036.
- Ablordeppey, Seth Y; Fischer, James B; Glennon, Richard A (August 2000). "Is a Nitrogen Atom an Important Pharmacophoric Element in Sigma Ligand Binding?". Bioorganic & Medicinal Chemistry. 8 (8): 2105–2111. doi:10.1016/S0968-0896(00)00148-6. PMID 11003156.
- Matsuno, Kiyoshi; Nakazawa, Minako; Okamoto, Kazuyoshi; Kawashima, Yoichi; Mita, Shiro (June 1996). "Binding properties of SA4503, a novel and selective σ1 receptor agonist". European Journal of Pharmacology. 306 (1–3): 271–279. doi:10.1016/0014-2999(96)00201-4. PMID 8813641.
- Horan, Bryan; Gifford, Andrew N.; Matsuno, Kiyoshi; Mita, Shiro; Ashby, Charles R. (October 2002). "Effect of SA4503 on the electrically evoked release of3H-acetylcholine from striatal and hippocampal rat brain slices". Synapse. 46 (1): 1–3. doi:10.1002/syn.10107. ISSN 0887-4476. PMID 12211092. S2CID 41458292.
- Toyohara, Jun; Sakata, Muneyuki; Ishiwata, Kiichi (October 2012). "Re-evaluation of in vivo selectivity of [11C]SA4503 to σ1 receptors in the brain: Contributions of emopamil binding protein". Nuclear Medicine and Biology. 39 (7): 1049–1052. doi:10.1016/j.nucmedbio.2012.03.002. PMID 22497960.
- Ramakrishnan, Nisha K.; Schepers, Marianne; Luurtsema, Gert; Nyakas, Csaba J.; Elsinga, Philip H.; Ishiwata, Kiichi; Dierckx, Rudi A. J. O.; van Waarde, Aren (June 2015). "Cutamesine Overcomes REM Sleep Deprivation-Induced Memory Loss: Relationship to Sigma-1 Receptor Occupancy". Molecular Imaging and Biology. 17 (3): 364–372. doi:10.1007/s11307-014-0808-2. ISSN 1536-1632. PMID 25449772. S2CID 826030.
- Matsuno, Kiyoshi; Senda, Toshihiko; Kobayashi, Tetsuya; Okamoto, Kazuyoshi; Nakata, Katsuhiko; Mita, Shiro (February 1997). "SA4503, a novel cognitive enhancer, with σ1 receptor agonistic properties". Behavioural Brain Research. 83 (1–2): 221–224. doi:10.1016/S0166-4328(97)86074-3. PMID 9062689. S2CID 54240821.
- Rogóż, Zofia; Skuza, Grażyna; Maj, Jerzy; Danysz, Wojciech (June 2002). "Synergistic effect of uncompetitive NMDA receptor antagonists and antidepressant drugs in the forced swimming test in rats". Neuropharmacology. 42 (8): 1024–1030. doi:10.1016/S0028-3908(02)00055-2. PMID 12128003. S2CID 20376278.
- Hirano, Kohga; Tagashira, Hideaki; Fukunaga, Kohji (2014). "Cardioprotective Effect of the Selective Sigma-1 Receptor Agonist, SA4503". Yakugaku Zasshi. 134 (6): 707–713. doi:10.1248/yakushi.13-00255-3. ISSN 0031-6903. PMID 24882645.
- Yamashita, Daisuke; Sun, Guang-wei; Cui, Yong; Mita, Shiro; Otsuki, Naoki; Kanzaki, Sho; Nibu, Ken-ichi; Ogawa, Kaoru; Matsunaga, Tatsuo (May 2015). "Neuroprotective effects of cutamesine, a ligand of the sigma-1 receptor chaperone, against noise-induced hearing loss: Cutamesine Protects Against Hearing Loss". Journal of Neuroscience Research. 93 (5): 788–795. doi:10.1002/jnr.23543. PMID 25612541. S2CID 206130476.
- Fujimura, Ken-ichi; Matsumoto, Junzo; Niwa, Masashi; Kobayashi, Tadayuki; Kawashima, Yoichi; In, Yasuko; Ishida, Toshimasa (1997). "Synthesis, structure and quantitative structure-activity relationships of σ receptor ligands, 1-[2-(3,4-dimethoxyphenyl)ethyl]-4-(3-phenylpropyl)piperazines". Bioorganic & Medicinal Chemistry. 5 (8): 1675–1683. doi:10.1016/S0968-0896(97)00093-X.
- Li, Yan; Wang, Xia; Zhang, Jinming; Deuther-Conrad, Winnie; Xie, Fang; Zhang, Xiaojun; Liu, Jian; Qiao, Jinping; Cui, Mengchao; Steinbach, Jörg; Brust, Peter; Liu, Boli; Jia, Hongmei (2013). "Synthesis and Evaluation of Novel18F-Labeled Spirocyclic Piperidine Derivatives as σ1Receptor Ligands for Positron Emission Tomography Imaging". Journal of Medicinal Chemistry. 56 (9): 3478–3491. doi:10.1021/jm301734g.
- Yoichi Kawashima, U.S. Patent 5,736,546 (1998 to M's Science Corp).
External links
- SA+4503 at the U.S. National Library of Medicine Medical Subject Headings (MeSH)

