PRE-084
PRE-084 is a sigma receptor agonist, selective for the σ1 subtype. It has nootropic and antidepressant actions in animal studies, as well as antitussive and reinforcing effects.[1][2][3][4][5] PRE-084 increases the expression of GDNF.[6]
![]() | |
| Clinical data | |
|---|---|
| ATC code |
|
| Identifiers | |
| |
| CAS Number | |
| PubChem CID | |
| IUPHAR/BPS | |
| ChemSpider | |
| CompTox Dashboard (EPA) | |
| Chemical and physical data | |
| Formula | C19H27NO3 |
| Molar mass | 317.429 g·mol−1 |
| 3D model (JSmol) | |
| |
| |
| | |
Synthesis

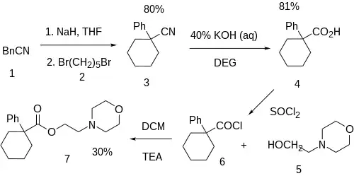
Sodium hydride mediated alkylation between Benzyl cyanide (1) and 1,5-dibromopentane [111-24-0] (2) gives 1-phenylcyclohexanecarbonitrile [2201-23-2] (3). Hydrolysis of the nitrile by treatment with aqueous potassium hydroxide in DEG gives 1-phenylcyclohexanecarboxylic acid [1135-67-7] (4). Halogenation with thionyl chloride gives 1-phenylcyclohexanecarbonyl chloride [2890-42-8]. This intermediate was not isolated but reacted with 2-morpholinoethanol [622-40-2] (5) to give the ester and hence, completing the synthesis of PRE084 (6).
References
- Maurice T, Su TP, Parish DW, Nabeshima T, Privat A (December 1994). "PRE-084, a sigma selective PCP derivative, attenuates MK-801-induced impairment of learning in mice". Pharmacology Biochemistry and Behavior. 49 (4): 859–69. doi:10.1016/0091-3057(94)90235-6. PMID 7886099. S2CID 54306053.
- Maurice T (November 2001). "Beneficial effect of the sigma(1) receptor agonist PRE-084 against the spatial learning deficits in aged rats". European Journal of Pharmacology. 431 (2): 223–7. doi:10.1016/S0014-2999(01)01436-4. PMID 11728429.
- Brown C, Fezoui M, Selig WM, Schwartz CE, Ellis JL (January 2004). "Antitussive activity of sigma-1 receptor agonists in the guinea-pig". British Journal of Pharmacology. 141 (2): 233–40. doi:10.1038/sj.bjp.0705605. PMC 1574192. PMID 14691051.
- Skuza G, Rogóz Z (2009). "Antidepressant-like effect of PRE-084, a selective sigma1 receptor agonist, in Albino Swiss and C57BL/6J mice". Pharmacological Reports. 61 (6): 1179–83. doi:10.1016/S1734-1140(09)70181-1. PMID 20081254.
- Hiranita T, Soto PL, Tanda G, Katz JL (February 2010). "Reinforcing effects of sigma-receptor agonists in rats trained to self-administer cocaine". The Journal of Pharmacology and Experimental Therapeutics. 332 (2): 515–24. doi:10.1124/jpet.109.159236. PMC 2812106. PMID 19892920.
- Penas C, Pascual-Font A, Mancuso R, Forés J, Casas C, Navarro X (May 2011). "Sigma receptor agonist 2-(4-morpholinethyl)1 phenylcyclohexanecarboxylate (Pre084) increases GDNF and BiP expression and promotes neuroprotection after root avulsion injury". J. Neurotrauma. 28 (5): 831–40. doi:10.1089/neu.2010.1674. PMID 21332255.
- Daniel W. Parish, U.S. Patent 5,086,054 & U.S. Patent 5,223,530 (1992 & 1993 both to SRI International).
