Pressurized heavy-water reactor
A pressurized heavy-water reactor (PHWR) is a nuclear reactor that uses heavy water (deuterium oxide D2O) as its coolant and neutron moderator.[1] PHWRs frequently use natural uranium as fuel, but sometimes also use very low enriched uranium. The heavy water coolant is kept under pressure to avoid boiling, allowing it to reach higher temperature (mostly) without forming steam bubbles, exactly as for a pressurized water reactor. While heavy water is very expensive to isolate from ordinary water (often referred to as light water in contrast to heavy water), its low absorption of neutrons greatly increases the neutron economy of the reactor, avoiding the need for enriched fuel. The high cost of the heavy water is offset by the lowered cost of using natural uranium and/or alternative fuel cycles. As of the beginning of 2001, 31 PHWRs were in operation, having a total capacity of 16.5 GW(e), representing roughly 7.76% by number and 4.7% by generating capacity of all current operating reactors.
Purpose of using heavy water
The key to maintaining a nuclear chain reaction within a nuclear reactor is to use, on average, exactly one of the neutrons released from each nuclear fission event to stimulate another nuclear fission event (in another fissionable nucleus). With careful design of the reactor's geometry, and careful control of the substances present so as to influence the reactivity, a self-sustaining chain reaction or "criticality" can be achieved and maintained.
Natural uranium consists of a mixture of various isotopes, primarily 238U and a much smaller amount (about 0.72% by weight) of 235U.[2] 238U can only be fissioned by neutrons that are relatively energetic, about 1 MeV or above. No amount of 238U can be made "critical" since it will tend to parasitically absorb more neutrons than it releases by the fission process. 235U, on the other hand, can support a self-sustained chain reaction, but due to the low natural abundance of 235U, natural uranium cannot achieve criticality by itself.
The trick to achieving criticality using only natural or low enriched uranium, for which there is no "bare" critical mass, is to slow down the emitted neutrons (without absorbing them) to the point where enough of them may cause further nuclear fission in the small amount of 235U which is available. (238U which is the bulk of natural uranium is also fissionable with fast neutrons.) This requires the use of a neutron moderator, which absorbs virtually all of the neutrons' kinetic energy, slowing them down to the point that they reach thermal equilibrium with surrounding material. It has been found beneficial to the neutron economy to physically separate the neutron energy moderation process from the uranium fuel itself, as 238U has a high probability of absorbing neutrons with intermediate kinetic energy levels, a reaction known as "resonance" absorption. This is a fundamental reason for designing reactors with separate solid fuel segments, surrounded by the moderator, rather than any geometry that would give a homogeneous mix of fuel and moderator.
Water makes an excellent moderator; the ordinary hydrogen or protium atoms in the water molecules are very close in mass to a single neutron, and so their collisions result in a very efficient transfer of momentum, similar conceptually to the collision of two billiard balls. However, as well as being a good moderator, ordinary water is also quite effective at absorbing neutrons. And so using ordinary water as a moderator will easily absorb so many neutrons that too few are left to sustain a chain reaction with the small isolated 235U nuclei in the fuel, thus precluding criticality in natural uranium. Because of this, a light-water reactor will require that the 235U isotope be concentrated in its uranium fuel, as enriched uranium, generally between 3% and 5% 235U by weight (the by-product from this process enrichment process is known as depleted uranium, and so consisting mainly of 238U, chemically pure). The degree of enrichment needed to achieve criticality with a light-water moderator depends on the exact geometry and other design parameters of the reactor.
One complication of this approach is the need for uranium enrichment facilities, which are generally expensive to build and operate. They also present a nuclear proliferation concern; the same systems used to enrich the 235U can also be used to produce much more "pure" weapons-grade material (90% or more 235U), suitable for producing a nuclear weapon. This is not a trivial exercise by any means, but feasible enough that enrichment facilities present a significant nuclear proliferation risk.
An alternative solution to the problem is to use a moderator that does not absorb neutrons as readily as water. In this case potentially all of the neutrons being released can be moderated and used in reactions with the 235U, in which case there is enough 235U in natural uranium to sustain criticality. One such moderator is heavy water, or deuterium-oxide. Although it reacts dynamically with the neutrons in a fashion similar to light water (albeit with less energy transfer on average, given that heavy hydrogen, or deuterium, is about twice the mass of hydrogen), it already has the extra neutron that light water would normally tend to absorb.
Advantages and disadvantages

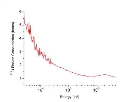
U fission cross section - while a nonlinear relationship is apparent, it is clear that in most cases lower neutron temperature will increase the likelihood of fission, thus explaining the need for a neutron moderator and the desirability of keeping its temperature as low as feasible.
Advantages
The use of heavy water as the moderator is the key to the PHWR (pressurized heavy water reactor) system, enabling the use of natural uranium as the fuel (in the form of ceramic UO2), which means that it can be operated without expensive uranium enrichment facilities. The mechanical arrangement of the PHWR, which places most of the moderator at lower temperatures, is particularly efficient because the resulting thermal neutrons have lower energies (neutron temperature after successive passes through a moderator roughly equals the temperature of the moderator) than in traditional designs, where the moderator normally is much hotter. The neutron cross section for fission is higher in 235
U the lower the neutron temperature is, and thus lower temperatures in the moderator make successful interaction between neutrons and fissile material more likely. These features mean that a PHWR can use natural uranium and other fuels, and does so more efficiently than light water reactors (LWRs). CANDU type PHWRs are claimed to be able to handle fuels including reprocessed uranium or even spent nuclear fuel from "conventional" light water reactors as well as MOX fuel and there is ongoing research into the ability of CANDU type reactors to operate exclusively on such fuels in a commercial setting. (More on that in the article on the CANDU reactor itself)
Disadvantages
Pressurised heavy-water reactors do have some drawbacks. Heavy water generally costs hundreds of dollars per kilogram, though this is a trade-off against reduced fuel costs. The reduced energy content of natural uranium as compared to enriched uranium necessitates more frequent replacement of fuel; this is normally accomplished by use of an on-power refuelling system. The increased rate of fuel movement through the reactor also results in higher volumes of spent fuel than in LWRs employing enriched uranium. Since unenriched uranium fuel accumulates a lower density of fission products than enriched uranium fuel, however, it generates less heat, allowing more compact storage.[3] While deuterium has a lower neutron capture cross section than Protium, this value isn't zero and thus part of the heavy water moderator will inevitably be converted to tritiated water. While tritium, a radioactive isotope of hydrogen, is also produced as a fission product in minute quantities in other reactors, tritium can more easily escape to the environment if it is also present in the cooling water, which is the case in those PHWRs which use heavy water both as moderator and as coolant. Some CANDU reactors separate out the tritium from their heavy water inventory at regular intervals and sell it at a profit, however.
While with typical CANDU derived fuel bundles, the reactor design has a slightly positive Void coefficient of reactivity, the Argentina designed CARA fuel bundles used in Atucha I, are capable of the preferred negative coefficient.[4]
Nuclear proliferation
While prior to India's development of nuclear weapons (see below), the ability to use natural uranium (and thus forego the need for uranium enrichment which is a dual use technology) was seen as hindering nuclear proliferation, this opinion has changed drastically in light of the ability of several countries to build atomic bombs out of plutonium, which can easily be produced in heavy water reactors. Heavy-water reactors may thus pose a greater risk of nuclear proliferation versus comparable light-water reactors due to the low neutron absorption properties of heavy water, discovered in 1937 by Hans von Halban and Otto Frisch.[5] Occasionally, when an atom of 238U is exposed to neutron radiation, its nucleus will capture a neutron, changing it to 239U. The 239U then rapidly undergoes two β− decays — both emitting an electron and an antineutrino, the first one transmuting the 239U into 239Np, and the second one transmuting the 239Np into 239Pu. Although this process takes place with other moderators such as ultra-pure graphite or beryllium, heavy water is by far the best.[5] The Manhattan Project ultimately used graphite moderated reactors to produce plutonium, while the German wartime nuclear project wrongfully dismissed graphite as a suitable moderator due to overlooking impurities and thus made unsuccessful attempts using heavy water (which they correctly identified as an excellent moderator). The Soviet nuclear program likewise used graphite as a moderator and ultimately developed the graphite moderated RBMK as a reactor capable of producing both large amounts of electric power and weapons grade plutonium without the need for heavy water or - at least according to initial design specifications - uranium enrichment.
239Pu is a fissile material suitable for use in nuclear weapons. As a result, if the fuel of a heavy-water reactor is changed frequently, significant amounts of weapons-grade plutonium can be chemically extracted from the irradiated natural uranium fuel by nuclear reprocessing.
In addition, the use of heavy water as a moderator results in the production of small amounts of tritium when the deuterium nuclei in the heavy water absorb neutrons, a very inefficient reaction. Tritium is essential for the production of boosted fission weapons, which in turn enable the easier production of thermonuclear weapons, including neutron bombs. This process is currently expected to provide (at least partially) tritium for ITER.[6]
The proliferation risk of heavy-water reactors was demonstrated when India produced the plutonium for Operation Smiling Buddha, its first nuclear weapon test, by extraction from the spent fuel of a heavy-water research reactor known as the CIRUS reactor.[7]
See also
- CANDU reactor: The predominant type of PHWR
- IPHWR-700 and IPHWR-220, PHWR types developed in India
- List of nuclear reactors
- Pressurized water reactor
References
- "Pocket Guide Reactors" (PDF). World-Nuclear.org. 2015. Retrieved 2021-12-24.
{{cite web}}: CS1 maint: url-status (link) - Marion Brünglinghaus. "Natural uranium". euronuclear.org. Archived from the original on 12 June 2018. Retrieved 11 September 2015.
- National Research Council (2005). An International Spent Nuclear Fuel Storage Facility - Exploring a Russian Site as a Prototype: Proceedings of an International Workshop. doi:10.17226/11320. ISBN 978-0-309-09688-1.
- Lestani, H.A.; González, H.J.; Florido, P.C. (2014). "Negative power coefficient on PHWRS with CARA fuel". Nuclear Engineering and Design. 270: 185–197. doi:10.1016/j.nucengdes.2013.12.056.
- Waltham, Chris (June 2002). "An Early History of Heavy Water". Department of Physics and Astronomy, University of British Columbia: 28. arXiv:physics/0206076. Bibcode:2002physics...6076W.
- Pearson, Richard J.; Antoniazzi, Armando B.; Nuttall, William J. (2018-11-01). "Tritium supply and use: a key issue for the development of nuclear fusion energy". Fusion Engineering and Design. 136: 1140–1148. doi:10.1016/j.fusengdes.2018.04.090. ISSN 0920-3796. S2CID 53560490.
- "India's Nuclear Weapons Program: Smiling Buddha: 1974". Retrieved 23 June 2017.