Penfluridol
Penfluridol (Semap, Micefal, Longoperidol) is a highly potent, first generation diphenylbutylpiperidine antipsychotic.[1] It was discovered at Janssen Pharmaceutica in 1968.[2] Related to other diphenylbutylpiperidine antipsychotics, pimozide and fluspirilene, penfluridol has an extremely long elimination half-life and its effects last for many days after single oral dose. Its antipsychotic potency, in terms of dose needed to produce comparable effects, is similar to both haloperidol and pimozide. It is only slightly sedative, but often causes extrapyramidal side-effects, such as akathisia, dyskinesiae and pseudo-Parkinsonism. Penfluridol is indicated for antipsychotic treatment of chronic schizophrenia and similar psychotic disorders, it is, however, like most typical antipsychotics, being increasingly replaced by the atypical antipsychotics. Due to its extremely long-lasting effects, it is often prescribed to be taken orally as tablets only once a week (q 7 days). The once-weekly dose is usually 10–60 mg. A 2006 systematic review examined the use of penfluridol for people with schizophrenia:
| Summary | ||||||||||||||||||||||||||||||||||||||||
|---|---|---|---|---|---|---|---|---|---|---|---|---|---|---|---|---|---|---|---|---|---|---|---|---|---|---|---|---|---|---|---|---|---|---|---|---|---|---|---|---|
| Although there are shortcomings and gaps in the data, there appears to be enough overall consistency for different outcomes. The effectiveness and adverse effects profile of penfluridol are similar to other typical antipsychotics; both oral and depot. Furthermore, penfluridol is shown to be an adequate treatment option for people with schizophrenia, especially those who do not respond to oral medication on a daily basis and do not adapt well to depot drugs. One of the results favouring penfluridol was a lower drop out rate in medium term when compared to depot medications. It is also an option for people with long-term schizophrenia with residual psychotic symptoms who nevertheless need continuous use of antipsychotic medication. An additional benefit of penfluridol is that it is a low-cost intervention.[3] | ||||||||||||||||||||||||||||||||||||||||
| ||||||||||||||||||||||||||||||||||||||||
![]() | |
| Clinical data | |
|---|---|
| Trade names | Semap |
| AHFS/Drugs.com | International Drug Names |
| ATC code | |
| Identifiers | |
| |
| CAS Number | |
| PubChem CID | |
| ChemSpider | |
| UNII | |
| KEGG | |
| ChEMBL | |
| CompTox Dashboard (EPA) | |
| ECHA InfoCard | 100.043.689 |
| Chemical and physical data | |
| Formula | C28H27ClF5NO |
| Molar mass | 523.965 g·mol−1 |
| 3D model (JSmol) | |
| |
| |
| | |
Synthesis
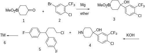
The Grignard reaction between Methyl 4-oxopiperidine-1-carboxylate [29976-54-3] (1) and 5-bromo-2-chlorobenzotrifluoride [445-01-2] (2) gives methyl 4-[4-chloro-3-(trifluoromethyl)phenyl]-4-hydroxypiperidine-1-carboxylate, CID:134990265 (3). Deprotection of the urethane gives 4-[4-Chloro-3-(trifluoromethyl)phenyl]-4-piperidinol [21928-50-7] (4). Lastly alkylation with 1,1'-(4-Chlorobutylidene)bis(4-fluorobenzene) [3312-04-7] (5) completed the synthesis of Penfluridol (6).
See also
- Typical antipsychotic
- Diphenylbutylpiperidine
- Fluspirilene
- Pimozide
- Carpipramine (atypical antipsychotic)
- Clocapramine (atypical antipsychotic)
References
- van Praag HM, Schut T, Dols L, van Schilfgaarden R (December 1971). "Controlled trial of penfluridol in acute psychosis". British Medical Journal. 4 (5789): 710–3. doi:10.1136/bmj.4.5789.710. PMC 1799991. PMID 4943034.
- Janssen PA, Niemegeers CJ, Schellekens KH, Lenaerts FM, Verbruggen FJ, Van Nueten JM, Schaper WK (July 1970). "The pharmacology of penfluridol (R 16341) a new potent and orally long-acting neuroleptic drug". European Journal of Pharmacology. 11 (2): 139–54. doi:10.1016/0014-2999(70)90043-9. PMID 5447800.
- Soares BG, Lima MS (April 2006). "Penfluridol for schizophrenia". The Cochrane Database of Systematic Reviews. 2 (2): CD002923. doi:10.1002/14651858.CD002923.pub2. PMID 16625563.
- Šindelář, K.; Rajšner, M.; Červená, I.; Valenta, V.; Jílek, J. O.; Kakáč, K.; Holubek, J.; Svátek, E.; Mikšík, F.; Protiva, M. (1973). "Neurotropic and psychotropic agents. LXVII. 1-[4,4-Bis(4-fluorophenyl)butyl]-4-hydroxy-4-(3-trifluoromethyl-4-chlorophenyl)piperidine and related compounds: New synthetic approaches". Collection of Czechoslovak Chemical Communications. 38 (12): 3879–3901. doi:10.1135/cccc19733879.
- Rajšner, Miroslav; Kopicová, Zdeňka; Holubek, Jiří; Svátek, Emil; Metyš, Jan; Bartošová, Marie; Mikšík, František; Protiva, Miroslav (1978). "4,4-Bis(4-fluorophenyl)butylamines and their cyclic analogues; an efficient synthesis of the neuroleptic penfluridol". Collection of Czechoslovak Chemical Communications. 43 (7): 1760–1777. doi:10.1135/cccc19781760.
- Rajšner, Miroslav; Dlabač, Antonín; Protiva, Miroslav (1981). "Esters of 1-[4,4-bis(4-fluorophenyl)butyl]-4-(4-chloro-3-trifluoromethylphenyl)-4-piperidinol". Collection of Czechoslovak Chemical Communications. 46 (6): 1530–1533. doi:10.1135/cccc19811530.
- DE2040231 idem Hubert Karel Frans Beerse Hermans, Carlos Jan Ernest Josef Deurne Niemegeers, Hubert Karel Frans Hermans, Carlos Jan Ernest J Niemegeers, U.S. Patent 3,575,990 (1971 to Janssen Pharmaceutica Nv).
- Cao Chunyu, et al. CN 106187863 (2016 to Hunan Zhongnan Pharmaceutical Co Ltd).
Further reading
- Benkert O, Hippius H (1976). Psychiatrische Pharmakotherapie (2nd ed.). Springer-Verlag. ISBN 3-540-07916-5.

