Hydroxychloroquine
Hydroxychloroquine, sold under the brand name Plaquenil among others, is a medication used to prevent and treat malaria in areas where malaria remains sensitive to chloroquine. Other uses include treatment of rheumatoid arthritis, lupus, and porphyria cutanea tarda. It is taken by mouth, often in the form of hydroxychloroquine sulfate.[2]
![]() Skeletal formula of hydroxychloroquine | |
![]() Ball-and-stick model of the hydroxychloroquine freebase molecule | |
| Clinical data | |
|---|---|
| Trade names | Plaquenil, others |
| Other names | HCQ |
| AHFS/Drugs.com | Monograph |
| MedlinePlus | a601240 |
| License data | |
| Pregnancy category |
|
| Routes of administration | By mouth (tablets) |
| ATC code | |
| Legal status | |
| Legal status | |
| Pharmacokinetic data | |
| Bioavailability | Variable (74% on average); Tmax = 2–4.5 hours |
| Protein binding | 45% |
| Metabolism | Liver |
| Elimination half-life | 32–50 days |
| Excretion | Mostly kidney (23–25% as unchanged drug), also biliary (<10%) |
| Identifiers | |
| |
| CAS Number | |
| PubChem CID | |
| IUPHAR/BPS | |
| DrugBank | |
| ChemSpider | |
| UNII | |
| KEGG | |
| ChEBI | |
| ChEMBL | |
| CompTox Dashboard (EPA) | |
| ECHA InfoCard | 100.003.864 |
| Chemical and physical data | |
| Formula | C18H26ClN3O |
| Molar mass | 335.88 g·mol−1 |
| 3D model (JSmol) | |
| |
| |
| | |
Common side effects may include vomiting, headache, changes in vision, and muscle weakness.[2] Severe side effects may include allergic reactions, vision problems, and heart problems.[2][3] Although all risk cannot be excluded, it remains a treatment for rheumatic disease during pregnancy.[4] Hydroxychloroquine is in the antimalarial and 4-aminoquinoline families of medication.[2]
Hydroxychloroquine was approved for medical use in the United States in 1955.[2] It is on the World Health Organization's List of Essential Medicines.[5] In 2020, it was the 126th most commonly prescribed medication in the United States, with 4.99 million prescriptions.[6][7]
Hydroxychloroquine has been studied for an ability to prevent and treat coronavirus disease 2019 (COVID-19), but clinical trials found it ineffective for this purpose and a possible risk of dangerous side effects.[8] Among studies that deemed hydroxychloroquine intake to cause harmful side effects, a publication by The Lancet was retracted due to data flaws.[9] The speculative use of hydroxychloroquine for COVID-19 threatens its availability for people with established indications.[10]
Medical uses
Hydroxychloroquine treats rheumatic disorders such as systemic lupus erythematosus, rheumatoid arthritis, and porphyria cutanea tarda, and certain infections such as Q fever and certain types of malaria.[2] It is considered the first-line treatment for systemic lupus erythematosus.[11] Certain types of malaria, resistant strains, and complicated cases require different or additional medication.[2]
It is widely used to treat primary Sjögren syndrome but does not appear to be effective.[12] Hydroxychloroquine is widely used in the treatment of post-Lyme arthritis. It may have both an anti-spirochete activity and an anti-inflammatory activity, similar to the treatment of rheumatoid arthritis.[13]
Contraindications
The drug label advises that hydroxychloroquine should not be prescribed to individuals with known hypersensitivity to 4-aminoquinoline compounds.[14] There are several other contraindications,[15][16] and caution is required if the person considered for treatment has certain heart conditions, diabetes, or psoriasis.
Adverse effects
Hydroxychloroquine has a narrow therapeutic index, meaning there is little difference between toxic and therapeutic doses.[17] The most common adverse effects are nausea, stomach cramps, and diarrhea. Other common adverse effects include itching and headache.[10] The most serious adverse effects affect the eye, with dose-related retinopathy as a concern even after hydroxychloroquine use is discontinued.[2] Serious reported neuropsychiatric adverse effects of hydroxychloroquine use include agitation, mania, difficulty sleeping, hallucinations, psychosis, catatonia, paranoia, depression, and suicidal thoughts.[10] In rare situations, hydroxychloroquine has been implicated in cases of serious skin reactions such as Stevens–Johnson syndrome, toxic epidermal necrolysis, and Drug reaction with eosinophilia and systemic symptoms.[10] Reported blood abnormalities with its use include lymphopenia, eosinophilia, and atypical lymphocytosis.[10]
For short-term treatment of acute malaria, adverse effects can include abdominal cramps, diarrhea, heart problems, reduced appetite, headache, nausea and vomiting.[2] Other adverse effects noted with short-term use of Hydroxychloroquine include low blood sugar and QT interval prolongation.[18] Idiosyncratic hypersensitivity reactions have occurred.[10]
For prolonged treatment of lupus or rheumatoid arthritis, adverse effects include the acute symptoms, plus altered eye pigmentation, acne, anemia, bleaching of hair, blisters in mouth and eyes, blood disorders, cardiomyopathy,[18] convulsions, vision difficulties, diminished reflexes, emotional changes, excessive coloring of the skin, hearing loss, hives, itching, liver problems or liver failure, loss of hair, muscle paralysis, weakness or atrophy, nightmares, psoriasis, reading difficulties, tinnitus, skin inflammation and scaling, skin rash, vertigo, weight loss, and occasionally urinary incontinence.[2] Hydroxychloroquine can worsen existing cases of both psoriasis and porphyria.[2]
Children may be especially vulnerable to developing adverse effects from hydroxychloroquine overdoses.[2]
Eyes
One of the most serious side effects is retinopathy (generally with chronic use).[2][19] People taking 400 mg of hydroxychloroquine or less per day generally have a negligible risk of macular toxicity, whereas the risk begins to increase when a person takes the medication over five years or has a cumulative dose of more than 1000 grams. The daily safe maximum dose for eye toxicity can be estimated from a person's height and weight.[20] Macular toxicity is related to the total cumulative dose rather than the daily dose. Regular eye screening, even in the absence of visual symptoms, is recommended to begin when either of these risk factors occurs.[21]
Toxicity from hydroxychloroquine may be seen in two distinct areas of the eye: the cornea and the macula. The cornea may become affected (relatively commonly) by an innocuous cornea verticillata or vortex keratopathy and is characterized by whorl-like corneal epithelial deposits. These changes bear no relationship to dosage and are usually reversible on cessation of hydroxychloroquine.
The macular changes are potentially serious. Advanced retinopathy is characterized by reduction of visual acuity and a "bull's eye" macular lesion which is absent in early involvement.
Overdose
Overdoses of hydroxychloroquine are extremely rare, but extremely toxic.[10] Eight people are known to have overdosed since the drug's introduction in the mid-1950s, of which three have died.[22][23] Chloroquine has a risk of death in overdose in adults of about 20%, while hydroxychloroquine is estimated to be two or threefold less toxic.[24]
Serious signs and symptoms of overdose generally occur within an hour of ingestion.[24] These may include sleepiness, vision changes, seizures, coma, stopping of breathing, and heart problems such as ventricular fibrillation and low blood pressure.[10][24][25] Loss of vision may be permanent.[26] Low blood potassium, to levels of 1 to 2 mmol/L, may also occur.[24][27] Cardiovascular abnormalities such as QRS complex widening and QT interval prolongation may also occur.[10]
Treatment recommendations include early mechanical ventilation, heart monitoring, and activated charcoal.[24] Supportive treatment with intravenous fluids and vasopressors may be required with epinephrine being the vasopressor of choice.[24] Stomach pumping may also be used.[22] Sodium bicarbonate and hypertonic saline may be used in cases of severe QRS complex widening.[10] Seizures may be treated with benzodiazepines.[24] Intravenous potassium chloride may be required, however this may result in high blood potassium later in the course of the disease.[24] Dialysis does not appear to be useful.[24]
Detection
Hydroxychloroquine may be quantified in plasma or serum to confirm a diagnosis of poisoning in hospitalized victims or in whole blood to assist in a forensic investigation of a case of sudden or unexpected death. Plasma or serum concentrations are usually in a range of 0.1-1.6 mg/L during therapy and 6–20 mg/L in cases of clinical intoxication, while blood levels of 20–100 mg/L have been observed in deaths due to acute overdosage.[28]
Interactions
The drug transfers into breast milk.[1] There is no evidence that its use during pregnancy is harmful to the developing fetus and its use is not contraindicated in pregnancy.[10]
The concurrent use of hydroxychloroquine and the antibiotic azithromycin appears to increase the risk for certain serious side effects with short-term use, such as an increased risk of chest pain, congestive heart failure, and mortality from cardiovascular causes.[18] Care should be taken if combined with medication altering liver function as well as aurothioglucose (Solganal), cimetidine (Tagamet) or digoxin (Lanoxin). Hydroxychloroquine can increase plasma concentrations of penicillamine which may contribute to the development of severe side effects. It enhances hypoglycemic effects of insulin and oral hypoglycemic agents. Dose altering is recommended to prevent profound hypoglycemia. Antacids may decrease the absorption of hydroxychloroquine. Both neostigmine and pyridostigmine antagonize the action of hydroxychloroquine.[29]
While there may be a link between hydroxychloroquine and hemolytic anemia in those with glucose-6-phosphate dehydrogenase deficiency, this risk may be low in those of African descent.[30]
Specifically, the US Food and Drug Administration's (FDA) drug label for hydroxychloroquine lists the following drug interactions:[14]
- Digoxin (wherein it may result in increased serum digoxin levels)
- Insulin or anti-diabetic medication (wherein it may enhance the effects of a hypoglycemic treatment)
- Drugs that prolong the QT interval such as methadone, and other arrhythmogenic drugs, as hydroxychloroquine prolongs the QT interval and may increase the risk of inducing serious abnormal heart rhythms (ventricular arrhythmias) if used concurrently.[3]
- Mefloquine and other drugs known to lower the seizure threshold (co-administration with other antimalarials known to lower the convulsion threshold may increase risk of convulsions)
- Antiepileptics (concurrent use may impair the antiepileptic activity)
- Methotrexate (combined use is unstudied and may increase the frequency of side effects)
- Cyclosporin (wherein an increased plasma cyclosporin level was reported when used together).
Pharmacology
Pharmacokinetics
Hydroxychloroquine has similar pharmacokinetics to chloroquine, with rapid gastrointestinal absorption, large distribution volume,[31] and elimination by the kidneys. Cytochrome P450 enzymes (CYP2D6, 2C8, 3A4 and 3A5) metabolize hydroxychloroquine to N-desethylhydroxychloroquine.[32] Both agents also inhibit CYP2D6 activity and may interact with other medications that depend on this enzyme.[10]
Pharmacodynamics
Antimalarials are lipophilic weak bases and easily pass plasma membranes. The free base form accumulates in lysosomes (acidic cytoplasmic vesicles) and is then protonated,[33] resulting in concentrations within lysosomes up to 1000 times higher than in culture media. This increases the pH of the lysosome from four to six.[34] Alteration in pH causes inhibition of lysosomal acidic proteases causing a diminished proteolysis effect.[35] Higher pH within lysosomes causes decreased intracellular processing, glycosylation and secretion of proteins with many immunologic and nonimmunologic consequences.[36] These effects are believed to be the cause of a decreased immune cell functioning such as chemotaxis, phagocytosis and superoxide production by neutrophils.[37] Hydroxychloroquine is a weak diprotic base that can pass through the lipid cell membrane and preferentially concentrate in acidic cytoplasmic vesicles. The higher pH of these vesicles in macrophages or other antigen-presenting cells limits the association of autoantigenic (any) peptides with class II MHC molecules in the compartment for peptide loading and/or the subsequent processing and transport of the peptide-MHC complex to the cell membrane.[38]
Mechanism of action
Hydroxychloroquine increases[39] lysosomal pH in antigen-presenting cells[18] by two mechanisms: As a weak base, it is a proton acceptor and via this chemical interaction, its accumulation in lysozymes raises the intralysosomal pH, but this mechanism does not fully account for the effect of hydroxychloroquine on pH. Additionally, in parasites that are susceptible to hydroxychloroquine, it interferes with the endocytosis and proteolysis of hemoglobin and inhibits the activity of lysosomal enzymes, thereby raising the lysosomal pH by more than 2 orders of magnitude over the weak base effect alone.[40][41] In 2003, a novel mechanism was described wherein hydroxychloroquine inhibits stimulation of the toll-like receptor (TLR) 9 family receptors. TLRs are cellular receptors for microbial products that induce inflammatory responses through activation of the innate immune system.[42]
As with other quinoline antimalarial drugs, the antimalarial mechanism of action of quinine has not been fully resolved. The most accepted model is based on hydrochloroquinine and involves the inhibition of hemozoin biocrystallization, which facilitates the aggregation of cytotoxic heme. Free cytotoxic heme accumulates in the parasites, causing death.[43]
Hydroxychloroquine increases the risk of low blood sugar through several mechanisms. These include decreased clearance of the hormone insulin from the blood, increased insulin sensitivity, and increased release of insulin from the pancreas.[10]
History
After World War I, the German government sought alternatives to quinine as an anti-malarial. Chloroquine, a synthetic analogue with the same mechanism of action was discovered in 1934, by Hans Andersag and coworkers at the Bayer laboratories.[44][45]: 130–131 This was introduced into clinical practice in 1947 for the prophylactic treatment of malaria.[46] Researchers subsequently attempted to discover structural analogs with superior properties and one of these was hydroxychloroquine.[47]
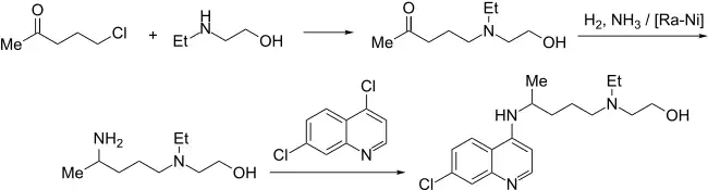
Chemical synthesis
The first synthesis of hydroxychloroquine was disclosed in a patent filed by Sterling Drug in 1949.[48] In the final step, 4,7-dichloroquinoline was reacted with a primary amine which in turn had been made from the chloro-ketone shown:
Manufacturing
It is frequently sold as a sulfate salt known as hydroxychloroquine sulfate.[2] In the sulfate salt form, 200 mg is equal to 155 mg of the pure form.[2]
Brand names of hydroxychloroquine include Plaquenil, Hydroquin, Axemal (in India), Dolquine, Quensyl, and Quinoric.[49]
COVID-19

Chloroquine and hydroxychloroquine are anti-malarial medications also used against some auto-immune diseases.[50] Chloroquine, along with hydroxychloroquine, was an early experimental treatment for COVID-19.[51] Neither drug prevents SARS-CoV-2 infection.[52][53][54][55][56]
Cleavage of the SARS-CoV-2 S2 spike protein required for viral entry into cells can be accomplished by proteases TMPRSS2 located on the cell membrane, or by cathepsins (primarily cathepsin L) in endolysosomes.[57] Hydroxychloroquine inhibits the action of cathepsin L in endolysosomes, but because cathepsin L cleavage is minor compared to TMPRSS2 cleavage, hydroxychloroquine does little to inhibit SARS-CoV-2 infection.[57]
Several countries initially used chloroquine or hydroxychloroquine for treatment of persons hospitalized with COVID-19 (as of March 2020), though the drug was not formally approved through clinical trials.[58][59] From April to June 2020, there was an emergency use authorization for their use in the United States,[60] and was used off label for potential treatment of the disease.[61] On 24 April 2020, citing the risk of "serious heart rhythm problems", the FDA posted a caution against using the drug for COVID-19 "outside of the hospital setting or a clinical trial".[62]
Their use was withdrawn as a possible treatment for COVID-19 infection when it proved to have no benefit for hospitalized patients with severe COVID-19 illness in the international Solidarity trial and UK RECOVERY Trial.[63][64] On 15 June 2020, the FDA revoked its emergency use authorization, stating that it was "no longer reasonable to believe" that the drug was effective against COVID-19 or that its benefits outweighed "known and potential risks".[65][66][67] In fall of 2020, the National Institutes of Health issued treatment guidelines recommending against the use of hydroxychloroquine for COVID-19 except as part of a clinical trial.[50]
In 2021, hydroxychloroquine was part of the recommended treatment for mild cases in India.[68]
In 2020, the speculative use of hydroxychloroquine for COVID-19 threatened its availability for people with established indications (malaria and auto-immune diseases).[54]References
- "Hydroxychloroquine Use During Pregnancy". Drugs.com. 28 February 2020. Retrieved 21 March 2020.
- "Hydroxychloroquine Sulfate Monograph for Professionals". The American Society of Health-System Pharmacists. 20 March 2020. Archived from the original on 20 March 2020. Retrieved 20 March 2020.
- "Guidance on patients at risk of drug-induced sudden cardiac death from off-label COVID-19 treatments". newsnetwork.mayoclinic.org. 25 March 2020.
- Flint J, Panchal S, Hurrell A, van de Venne M, Gayed M, Schreiber K, et al. (BSR and BHPR Standards, Guidelines and Audit Working Group) (September 2016). "BSR and BHPR guideline on prescribing drugs in pregnancy and breastfeeding-Part I: standard and biologic disease modifying anti-rheumatic drugs and corticosteroids". Rheumatology. 55 (9): 1693–7. doi:10.1093/rheumatology/kev404. PMID 26750124.
- World Health Organization model list of essential medicines: 21st list 2019. World Health Organization. 2019. hdl:10665/325771.
- "The Top 300 of 2020". ClinCalc. Retrieved 7 October 2022.
- "Hydroxychloroquine – Drug Usage Statistics". ClinCalc. Retrieved 7 October 2022.
- "Chloroquine or Hydroxychloroquine". COVID-19 Treatment Guidelines. National Institutes of Health. Retrieved 14 February 2021.
- Edwards E (4 June 2020). "The Lancet retracts large study on hydroxychloroquine". NBC News. Retrieved 4 January 2021.
- Juurlink DN (April 2020). "Safety considerations with chloroquine, hydroxychloroquine and azithromycin in the management of SARS-CoV-2 infection". CMAJ. 192 (17): E450–E453. doi:10.1503/cmaj.200528. PMC 7207200. PMID 32269021.
- Chew CY, Mar A, Nikpour M, Saracino AM (May 2020). "Hydroxychloroquine in dermatology: New perspectives on an old drug". The Australasian Journal of Dermatology. 61 (2): e150–e157. doi:10.1111/ajd.13168. hdl:11343/286501. PMID 31612996. S2CID 204703558.
- Wang SQ, Zhang LW, Wei P, Hua H (May 2017). "Is hydroxychloroquine effective in treating primary Sjogren's syndrome: a systematic review and meta-analysis". BMC Musculoskeletal Disorders. 18 (1): 186. doi:10.1186/s12891-017-1543-z. PMC 5427554. PMID 28499370.
- Steere AC, Angelis SM (October 2006). "Therapy for Lyme arthritis: strategies for the treatment of antibiotic-refractory arthritis". Arthritis and Rheumatism. 54 (10): 3079–86. doi:10.1002/art.22131. PMID 17009226.
- "Plaquenil- hydroxychloroquine sulfate tablet". DailyMed. 3 January 2020. Retrieved 20 March 2020.
- "Plaquenil (hydroxychloroquine sulfate) dose, indications, adverse effects, interactions". pdr.net. Retrieved 19 March 2020.
- "Drugs & Medications". webmd.com. Retrieved 19 March 2020.
- Schmith VD, Zhou JJ, Lohmer LR (October 2020). "The Approved Dose of Ivermectin Alone is not the Ideal Dose for the Treatment of COVID-19". Clinical Pharmacology and Therapeutics. 108 (4): 762–765. doi:10.1002/cpt.1889. PMC 7267287. PMID 32378737.
- Meyerowitz EA, Vannier AG, Friesen MG, Schoenfeld S, Gelfand JA, Callahan MV, et al. (May 2020). "Rethinking the role of hydroxychloroquine in the treatment of COVID-19". FASEB Journal. 34 (5): 6027–6037. doi:10.1096/fj.202000919. PMC 7267640. PMID 32350928.
- Flach AJ (December 2007). "Improving the risk-benefit relationship and informed consent for patients treated with hydroxychloroquine". Transactions of the American Ophthalmological Society. 105: 191–4, discussion 195–7. PMC 2258132. PMID 18427609.
- "Plaquenil Risk Calculators". EyeDock. Archived from the original on 8 April 2020. Retrieved 7 April 2020.
- Marmor MF, Kellner U, Lai TY, Lyons JS, Mieler WF, et al. (American Academy of Ophthalmology) (February 2011). "Revised recommendations on screening for chloroquine and hydroxychloroquine retinopathy". Ophthalmology. 118 (2): 415–22. doi:10.1016/j.ophtha.2010.11.017. PMID 21292109.
- Aronson JK (2015). Meyler's Side Effects of Drugs: The International Encyclopedia of Adverse Drug Reactions and Interactions. Elsevier. p. 261. ISBN 978-0-444-53716-4.
- Marquardt K, Albertson TE (September 2001). "Treatment of hydroxychloroquine overdose". The American Journal of Emergency Medicine. 19 (5): 420–4. doi:10.1053/ajem.2001.25774. PMID 11555803.
- Ling Ngan Wong A, Tsz Fung Cheung I, Graham CA (February 2008). "Hydroxychloroquine overdose: case report and recommendations for management". European Journal of Emergency Medicine. 15 (1): 16–8. doi:10.1097/MEJ.0b013e3280adcb56. PMID 18180661. S2CID 41205035.
- Smith ER, Klein-Schwartz W (May 2005). "Are 1-2 dangerous? Chloroquine and hydroxychloroquine exposure in toddlers". The Journal of Emergency Medicine. 28 (4): 437–43. doi:10.1016/j.jemermed.2004.12.011. PMID 15837026.
- Chloroquine and Hydroxychloroquine Toxicity at eMedicine
- Pillay VV (2012). Modern Medical Toxicology (PDF). Jaypee Brothers Publishers. p. 458. ISBN 978-93-5025-965-8.
- R. Baselt, Disposition of Toxic Drugs and Chemicals in Man, 12th edition, Biomedical Publications, Foster City, CA, 2020, pp. 1024-1026.
- "Russian Register of Medicines: Plaquenil (hydroxychloroquine) Film-coated Tablets for Oral Use. Prescribing Information". rlsnet.ru (in Russian). Sanofi-Synthelabo. Archived from the original on 16 August 2016. Retrieved 14 July 2016.
- Mohammad S, Clowse ME, Eudy AM, Criscione-Schreiber LG (March 2018). "Examination of Hydroxychloroquine Use and Hemolytic Anemia in G6PDH-Deficient Patients". Arthritis Care & Research. 70 (3): 481–485. doi:10.1002/acr.23296. PMID 28556555.
- Schrezenmeier E, Dörner T (March 2020). "Mechanisms of action of hydroxychloroquine and chloroquine: implications for rheumatology". Nature Reviews. Rheumatology. 16 (3): 155–166. doi:10.1038/s41584-020-0372-x. PMID 32034323.
- Kalia S, Dutz JP (July 2007). "New concepts in antimalarial use and mode of action in dermatology". Dermatologic Therapy. 20 (4): 160–74. doi:10.1111/j.1529-8019.2007.00131.x. PMC 7163426. PMID 17970883.
- Kaufmann AM, Krise JP (April 2007). "Lysosomal sequestration of amine-containing drugs: analysis and therapeutic implications". Journal of Pharmaceutical Sciences. 96 (4): 729–46. doi:10.1002/jps.20792. PMID 17117426.
- Ohkuma S, Poole B (July 1978). "Fluorescence probe measurement of the intralysosomal pH in living cells and the perturbation of pH by various agents". Proceedings of the National Academy of Sciences of the United States of America. 75 (7): 3327–31. Bibcode:1978PNAS...75.3327O. doi:10.1073/pnas.75.7.3327. PMC 392768. PMID 28524.
- Ohkuma S, Chudzik J, Poole B (March 1986). "The effects of basic substances and acidic ionophores on the digestion of exogenous and endogenous proteins in mouse peritoneal macrophages". The Journal of Cell Biology. 102 (3): 959–66. doi:10.1083/jcb.102.3.959. PMC 2114118. PMID 3949884.
- Oda K, Koriyama Y, Yamada E, Ikehara Y (December 1986). "Effects of weakly basic amines on proteolytic processing and terminal glycosylation of secretory proteins in cultured rat hepatocytes". The Biochemical Journal. 240 (3): 739–45. doi:10.1042/bj2400739. PMC 1147481. PMID 3493770.
- Hurst NP, French JK, Gorjatschko L, Betts WH (January 1988). "Chloroquine and hydroxychloroquine inhibit multiple sites in metabolic pathways leading to neutrophil superoxide release". The Journal of Rheumatology. 15 (1): 23–7. PMID 2832600. INIST:7127371.
- Fox R (June 1996). "Anti-malarial drugs: possible mechanisms of action in autoimmune disease and prospects for drug development". Lupus. 5 (1 Suppl): S4-10. doi:10.1177/0961203396005001031. PMID 8803903. S2CID 208217074.
- Waller D, Sampson T. Medical Pharmacology and Therapeutics (2nd ed.). p. 370.
- Krogstad DJ, Schlesinger PH (March 1987). "The basis of antimalarial action: non-weak base effects of chloroquine on acid vesicle pH". The American Journal of Tropical Medicine and Hygiene. 36 (2): 213–20. doi:10.4269/ajtmh.1987.36.213. PMID 2435182.
- Al-Bari MA (February 2017). "Targeting endosomal acidification by chloroquine analogs as a promising strategy for the treatment of emerging viral diseases". Pharmacology Research & Perspectives. 5 (1): e00293. doi:10.1002/prp2.293. PMC 5461643. PMID 28596841.
- Takeda K, Kaisho T, Akira S (April 2003). "Toll-like receptors". Annual Review of Immunology. 21 (1): 335–76. doi:10.1146/annurev.immunol.21.120601.141126. PMID 12524386.
- Sullivan DJ (December 2002). "Theories on malarial pigment formation and quinoline action". International Journal for Parasitology. 32 (13): 1645–53. doi:10.1016/s0020-7519(02)00193-5. PMID 12435449.
- Kouznetsov VV, Amado Torres DF (September 2008). "Antimalarials: construction of molecular hybrids based on chloroquine". Universitas Scientiarum. 13 (3): 306–320.
- Arrow KJ, Panosian C, Gelband H, et al. (Institute of Medicine (US) Committee on the Economics of Antimalarial Drugs) (2004). Arrow KJ, Panosian CB, Gelband H (eds.). Saving lives, buying time : economics of malaria drugs in an age of resistance. National Academies Press. doi:10.17226/11017. ISBN 9780309092180. PMID 25009879.
- "The History of Malaria, an Ancient Disease". Centers for Disease Control. 29 July 2019. Archived from the original on 28 August 2010.
- Surrey AR, Hammer HF (1950). "The Preparation of 7-Chloro-4-(4-(N-ethyl-N-β-hydroxyethylamino)-1- methylbutylamino)-quinoline and Related Compounds". Journal of the American Chemical Society. 72 (4): 1814–1815. doi:10.1021/ja01160a116.
- US patent 2546658, Surrey, Alexander R, "7-chloro-4-[5-(N-ethyl-N-2-hydroxyethylamino)-2-pentyl] aminoquinoline, its acid addition salts, and method of preparation", issued 1951-03-27, assigned to Sterling Drug Inc.
- "Hydroxychloroquine trade names". Drugs-About.com. Retrieved 18 June 2019.
- "Chloroquine or Hydroxychloroquine". COVID-19 Treatment Guidelines. National Institutes of Health. Archived from the original on 28 August 2020. Retrieved 14 February 2021.
- "Coronavirus (COVID-19) Update: Daily Roundup March 30, 2020". FDA. 30 March 2020.
- Smit M, Marinosci A, Agoritsas T, Calmy A (April 2021). "Prophylaxis for COVID-19: a systematic review". Clinical Microbiology and Infection (Systematic review). 27 (4): 532–537. doi:10.1016/j.cmi.2021.01.013. PMC 7813508. PMID 33476807.
- Meyerowitz EA, Vannier AG, Friesen MG, Schoenfeld S, Gelfand JA, Callahan MV, et al. (May 2020). "Rethinking the role of hydroxychloroquine in the treatment of COVID-19". FASEB Journal. 34 (5): 6027–6037. doi:10.1096/fj.202000919. PMC 7267640. PMID 32350928.
- Juurlink DN (April 2020). "Safety considerations with chloroquine, hydroxychloroquine and azithromycin in the management of SARS-CoV-2 infection". CMAJ. 192 (17): E450–E453. doi:10.1503/cmaj.200528. PMC 7207200. PMID 32269021.
- "Assessment of Evidence for COVID-19-Related Treatments: Updated 4/3/2020". American Society of Health-System Pharmacists. Archived from the original on 14 April 2021. Retrieved 7 April 2020.
- Yazdany J, Kim AH (June 2020). "Use of Hydroxychloroquine and Chloroquine During the COVID-19 Pandemic: What Every Clinician Should Know". Annals of Internal Medicine. 172 (11): 754–755. doi:10.7326/M20-1334. PMC 7138336. PMID 32232419.
- Jackson CB, Farzan M, Chen B, Choe H (January 2022). "Mechanisms of SARS-CoV-2 entry into cells". Nature Reviews. Molecular Cell Biology. 23 (1): 3–20. doi:10.1038/s41580-021-00418-x. PMC 8491763. PMID 34611326.
- "Information for clinicians on therapeutic options for COVID-19 patients". US Centers for Disease Control and Prevention. 21 March 2020. Retrieved 22 March 2020.
- Hinton DM (28 March 2020). "Request for Emergency Use Authorization For Use of Chloroquine Phosphate or Hydroxychloroquine Sulfate Supplied From the Strategic National Stockpile for Treatment of 2019 Coronavirus Disease" (PDF). U.S. Food and Drug Administration (FDA). Retrieved 30 March 2020.
- "Coronavirus Disease 2019 (COVID-19)". Centers for Disease Control and Prevention. 11 February 2020. Retrieved 9 April 2020.
- Kalil AC (May 2020). "Treating COVID-19-Off-Label Drug Use, Compassionate Use, and Randomized Clinical Trials During Pandemics". JAMA. 323 (19): 1897–1898. doi:10.1001/jama.2020.4742. PMID 32208486.
- "FDA cautions against use of hydroxychloroquine or chloroquine for COVID-19 outside of the hospital setting or a clinical trial due to risk of heart rhythm problems". U.S. Food and Drug Administration (FDA). 24 April 2020.
- Mulier T (17 June 2020). "Hydroxychloroquine halted in WHO-sponsored COVID-19 trials". Bloomberg. Retrieved 17 June 2020.
- "No clinical benefit from use of hydroxychloroquine in hospitalised patients with COVID-19". Recovery Trial, Nuffield Department of Population Health, University of Oxford, UK. 5 June 2020. Retrieved 7 June 2020.
- "Coronavirus (COVID-19) Update: FDA Revokes Emergency Use Authorization for Chloroquine and Hydroxychloroquine". U.S. Food and Drug Administration (FDA) (Press release). 15 June 2020. Retrieved 15 June 2020.
- Lovelace Jr B (15 June 2020). "FDA revokes emergency use of hydroxychloroquine". CNBC.
- "Frequently Asked Questions on the Revocation of the Emergency Use Authorization for Hydroxychloroquine Sulfate and Chloroquine Phosphate" (PDF). U.S. Food and Drug Administration (FDA). 15 June 2020. Retrieved 15 June 2020.
- "Clinical Management Protocol for Covid-19 (in Adults)" (PDF). Ministry of Health and Family Welfare. 24 May 2021. "Health ministry issues revised clinical management protocols for Covid-19 amid spurt in cases". Times of India. Press Trust of India. 13 June 2021. Retrieved 10 July 2021.
External links
- "Hydroxychloroquine". Drug Information Portal. U.S. National Library of Medicine.


