Dextran

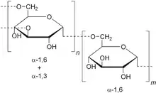
Dextran is a complex branched glucan (polysaccharide derived from the condensation of glucose), originally derived from wine. IUPAC defines dextrans as "Branched poly-α-d-glucosides of microbial origin having glycosidic bonds predominantly C-1 → C-6".[1] Dextran chains are of varying lengths (from 3 to 2000 kilodaltons).

Dextran
Identifiers
ChemSpider
  • none
ECHA InfoCard 100.029.694
KEGG
UNII
Properties
H(C6H10O5)xOH
Molar mass Variable
Pharmacology
B05AA05 (WHO)
Except where otherwise noted, data are given for materials in their standard state (at 25 °C [77 °F], 100 kPa).
☒N verify (what is checkY☒N ?)
Infobox references

The polymer main chain consists of α-1,6 glycosidic linkages between glucose monomers, with branches from α-1,3 linkages. This characteristic branching distinguishes a dextran from a dextrin, which is a straight chain glucose polymer tethered by α-1,4 or α-1,6 linkages.[2]

Occurrence

Dextran was discovered by Louis Pasteur as a microbial product in wine,[3] but mass production was only possible after the development by Allene Jeanes of a process using bacteria.[4] Dental plaque is rich in dextrans.[5] Dextran is a complicating contaminant in the refining of sugar because it elevates the viscosity of sucrose solutions and fouls plumbing.[6]

Dextran is now produced from sucrose by certain lactic acid bacteria of the family lactobacillus. Species include Leuconostoc mesenteroides and Streptococcus mutans. The structure of dextran produced depends not only on the family and species of the bacterium but on the strain. They are separated by fractional precipitation from protein-free extracts using ethanol. Some bacteria coproduce fructans, which can complicate isolation of the dextrans.[6]

Uses

Dextran 70 is on the WHO Model List of Essential Medicines, the most important medications needed in a health system.[7]

Medicinally it is used as an antithrombotic (antiplatelet), to reduce blood viscosity, and as a volume expander in hypovolaemia.[8]

Microsurgery

These agents are used commonly by microsurgeons to decrease vascular thrombosis. The antithrombotic effect of dextran is mediated through its binding of erythrocytes, platelets, and vascular endothelium, increasing their electronegativity and thus reducing erythrocyte aggregation and platelet adhesiveness. Dextrans also reduce factor VIII-Ag Von Willebrand factor, thereby decreasing platelet function. Clots formed after administration of dextrans are more easily lysed due to an altered thrombus structure (more evenly distributed platelets with coarser fibrin). By inhibiting α-2 antiplasmin, dextran serves as a plasminogen activator, so possesses thrombolytic features.

Outside of these features, larger dextrans, which do not pass out of the vessels, are potent osmotic agents, thus have been used urgently to treat hypovolemia . The hemodilution caused by volume expansion with dextran use improves blood flow, thus further improving patency of microanastomoses and reducing thrombosis. Still, no difference has been detected in antithrombotic effectiveness in comparison of intra-arterial and intravenous administration of dextran.

Dextrans are available in multiple molecular weights ranging from 3 kDa to 2 MDa. The larger dextrans (>60,000 Da) are excreted poorly from the kidney, so remain in the blood for as long as weeks until they are metabolized. Consequently, they have prolonged antithrombotic and colloidal effects. In this family, dextran-40 (MW: 40,000 Da), has been the most popular member for anticoagulation therapy. Close to 70% of dextran-40 is excreted in urine within the first 24 hours after intravenous infusion, while the remaining 30% are retained for several more days.

Other medical uses

  • Dextran is used in some eye drops as a lubricant.[9] and in certain intravenous fluids to solubilize other factors, such as iron (in a solution known as Iron Dextran).
  • Intravenous solutions with dextran function both as volume expanders and means of parenteral nutrition. Such a solution provides an osmotically neutral fluid that once in the body is digested by cells into glucose and free water. It is occasionally used to replace lost blood in emergency situations, when replacement blood is not available,[4][10] but must be used with caution as it does not provide necessary electrolytes and can cause hyponatremia or other electrolyte disturbances.
  • Dextran also increases blood sugar levels.
  • Dextran can be used in an ATPS for PEGylation

Laboratory uses

Side effects

Although relatively few side effects are associated with dextran use, these side effects can be very serious. These include anaphylaxis,[13] volume overload, pulmonary edema, cerebral edema, or platelet dysfunction.

An uncommon but significant complication of dextran osmotic effect is acute kidney injury.[14] The pathogenesis of this kidney failure is the subject of many debates with direct toxic effect on tubules and glomerulus versus intraluminal hyperviscosity being some of the proposed mechanisms. Patients with history of diabetes mellitus, chronic kidney disease, or vascular disorders are most at risk. Brooks and others recommend the avoidance of dextran therapy in patients with chronic kidney disease.

Research

Efforts have been made to develop modified dextran polymers. One of these has acetal modified hydroxyl groups. It is insoluble in water, but soluble in organic solvents. This allows it to be processed in the same manner as many polyesters, like poly(lactic-co-glycolic acid), through processes like solvent evaporation and emulsion. Acetalated dextran is structurally different from acetylated dextran. As of 2017 several uses for drug delivery had been explored in vitro and a few had been tested in animal models.[15]

See also

References

  1. "dextrans". The IUPAC Compendium of Chemical Terminology. 2014. doi:10.1351/goldbook.D01655.
  2. Thomas Heinze; Tim Liebert; Brigitte Heublein; Stephanie Hornig (2006). "Functional Polymers Based on Dextran". Adv. Polym. Sci. Advances in Polymer Science. 205: 199–291. doi:10.1007/12_100. ISBN 978-3-540-37102-1.
  3. Pasteur, L. (1861). "On the viscous fermentation and the butyrous fermentation". Bull. Soc. Chim. Paris (in French). 11: 30–31. ISSN 0037-8968.
  4. "Allene Rosalind Jeanes". Human Touch of Chemistry. Archived from the original on 14 May 2014. Retrieved 13 May 2014.
  5. Staat RH, Gawronski TH, Schachtele CF (1973). "Detection and preliminary studies on dextranase-producing microorganisms from human dental plaque". Infect. Immun. 8 (6): 1009–16. doi:10.1128/IAI.8.6.1009-1016.1973. PMC 422963. PMID 4594114.
  6. Sidebotham, R. L. (1974). "Dextrans". Adv. Carbohydr. Chem. Biochem. Advances in Carbohydrate Chemistry and Biochemistry. 30: 371–444. doi:10.1016/s0065-2318(08)60268-1. ISBN 9780120072309. PMID 4157174.
  7. "19th WHO Model List of Essential Medicines (April 2015)" (PDF). WHO. April 2015. Retrieved May 10, 2015.
  8. Lewis, Sharon L. (2010). Medical Surgical Nursing (8th ed.). ISBN 978-0323079150.
  9. "Tears Naturale - Summary of Product Characteristics (SmPC) - (eMC)". www.medicines.org.uk.
  10. Ogilvie, Marilyn; Harvey, Joy (2000). The biographical dictionary of women in science. New York: Routledge. p. 654. ISBN 0-415-92038-8.
  11. Wang et al. "Engineering anastomosis between living capillary networks and endothelial cell-lined microfluidic channels", Lab on a Chip (journal), 2016, 16, 282
  12. Murthy et al. "Treatment of dextran sulfate sodium-induced murine colitis by intracolonic cyclosporin", Digestive Diseases and Sciences, 1993, 38, 1722
  13. "CosmoFer - Summary of Product Characteristics (SmPC) - (eMC)". www.medicines.org.uk.
  14. Feest, TG (1976). "Low molecular weight dextran: A continuing cause of acute renal failure". British Medical Journal. 2 (6047): 1300. doi:10.1136/bmj.2.6047.1300. PMC 1689992. PMID 1000202.
  15. Bachelder, EM; Pino, EN; Ainslie, KM (Feb 2017). "Acetalated Dextran: A Tunable and Acid-Labile Biopolymer with Facile Synthesis and a Range of Applications". Chem Rev. 117 (3): 1915–1926. doi:10.1021/acs.chemrev.6b00532. PMID 28032507.
This article is issued from Wikipedia. The text is licensed under Creative Commons - Attribution - Sharealike. Additional terms may apply for the media files.