7.2 Multiplying and Dividing Rational Expressions

Learning Objectives

  1. Multiply rational expressions.
  2. Divide rational expressions.
  3. Multiply and divide rational functions.

Multiplying Rational Expressions

When multiplying fractions, we can multiply the numerators and denominators together and then reduce, as illustrated:

Multiplying rational expressions is performed in a similar manner. For example,

In general, given polynomials P, Q, R, and S, where Q0 and S0, we have

In this section, assume that all variable expressions in the denominator are nonzero unless otherwise stated.

 

Example 1: Multiply: 12x25y320y46x3.

Solution: Multiply numerators and denominators and then cancel common factors.

Answer: 8yx

 

Example 2: Multiply: x3x+5x+5x+7.

Solution: Leave the product in factored form and cancel the common factors.

Answer: x3x+7

 

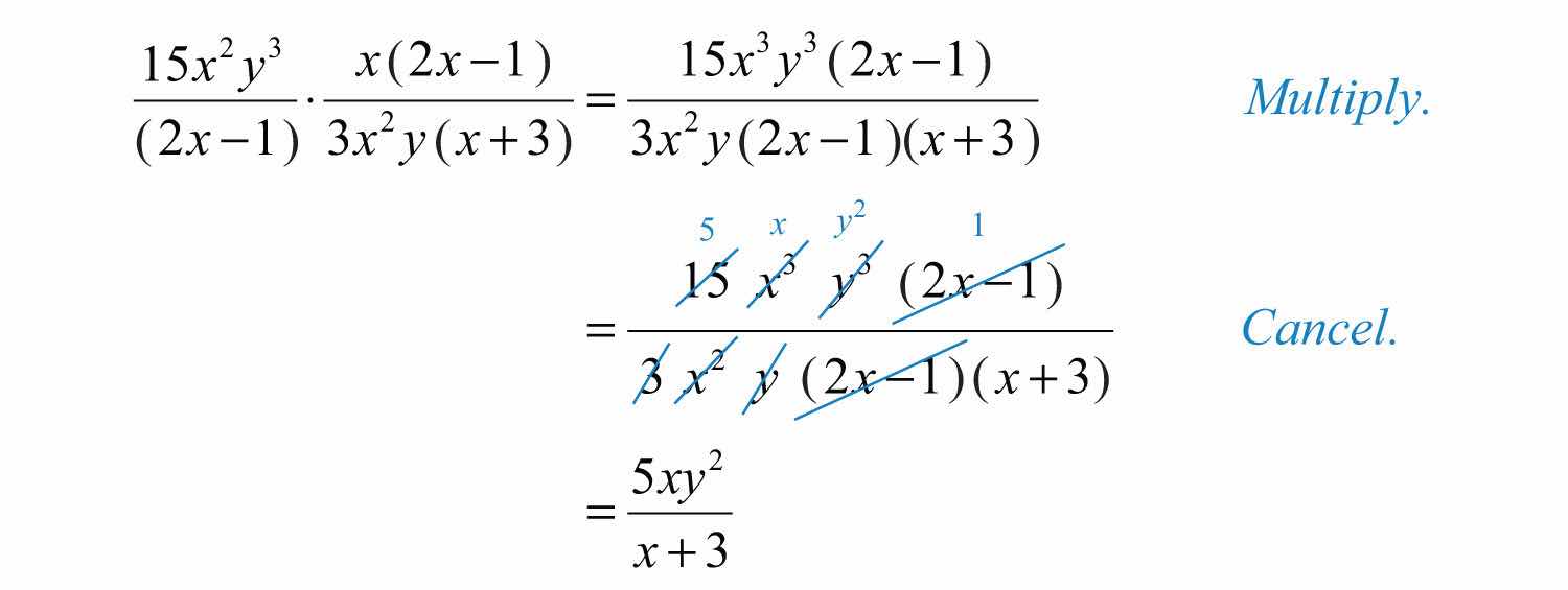
Example 3: Multiply: 15x2y3(2x1)x(2x1)3x2y(x+3).

Solution: Leave the polynomials in the numerator and denominator factored so that we can cancel the factors. In other words, do not apply the distributive property.

Answer: 5xy2x+3

 

Typically, rational expressions will not be given in factored form. In this case, first factor all numerators and denominators completely. Next, multiply and cancel any common factors, if there are any.

 

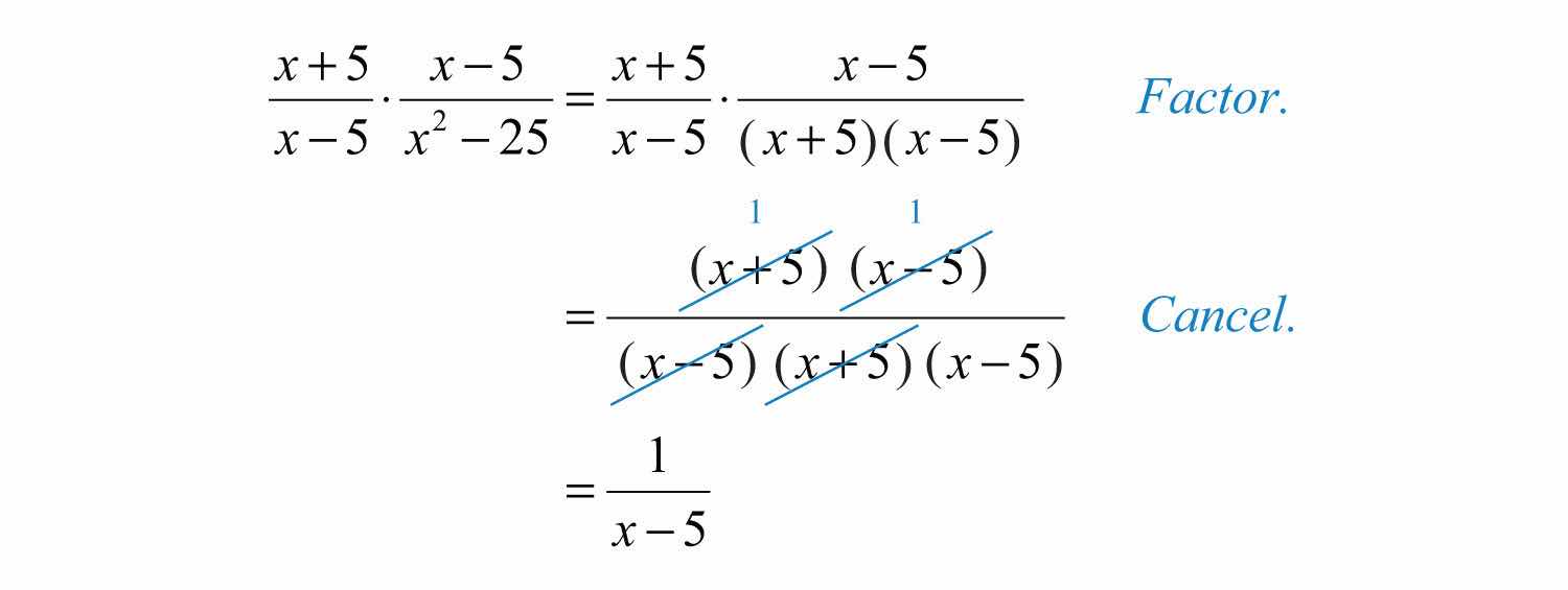
Example 4: Multiply: x+5x5x5x225.

Solution: Factor the denominator x225 as a difference of squares. Then multiply and cancel.

Keep in mind that 1 is always a factor; so when the entire numerator cancels out, make sure to write the factor 1.

Answer: 1x5

 

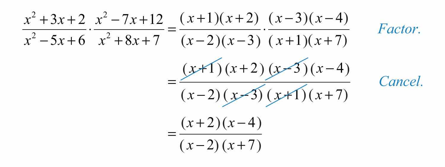
Example 5: Multiply: x2+3x+2x25x+6x27x+12x2+8x+7.

Solution:

It is a best practice to leave the final answer in factored form.

Answer: (x+2)(x4)(x2)(x+7)

 

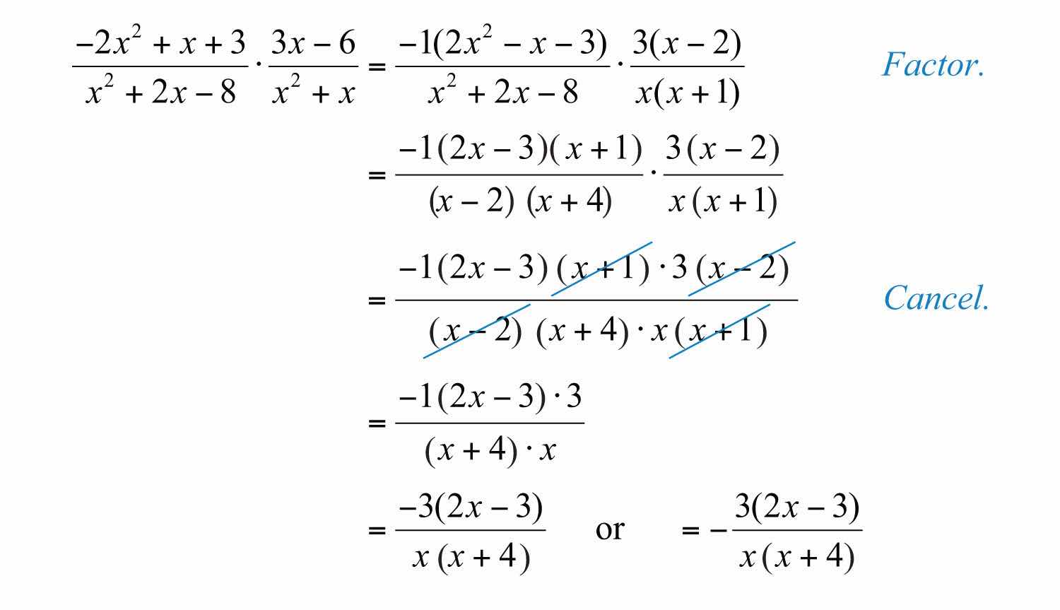
Example 6: Multiply: 2x2+x+3x2+2x83x6x2+x.

Solution: The trinomial 2x2+x+3 in the numerator has a negative leading coefficient. Recall that it is a best practice to first factor out a −1 and then factor the resulting trinomial.

Answer: 3(2x3)x(x+4)

 

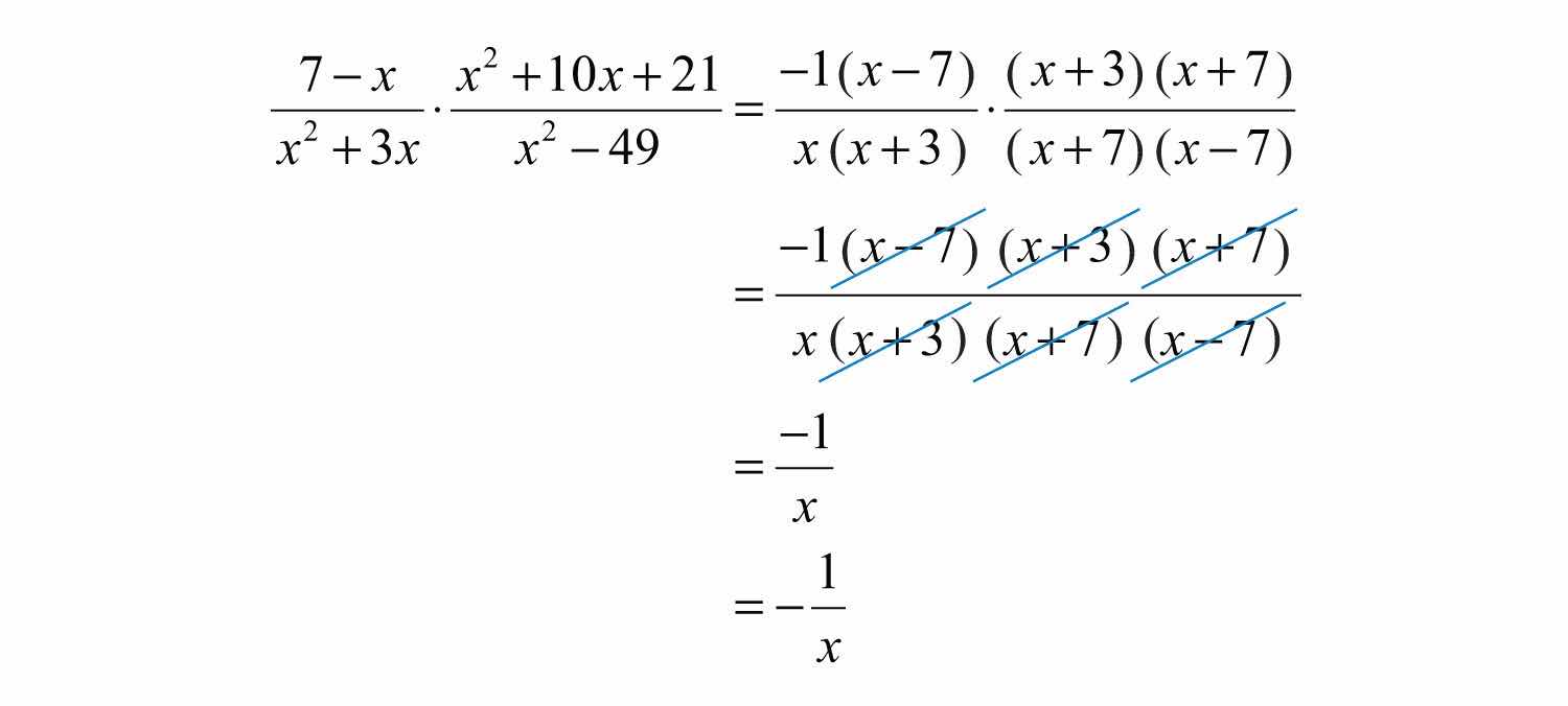
Example 7: Multiply: 7xx2+3xx2+10x+21x249.

Solution: We replace 7x with 1(x7) so that we can cancel this factor.

Answer: 1x

 

Try this! Multiply: x2648xx+x2x2+9x+8.

Answer: x

Video Solution

(click to see video)

Dividing Rational Expressions

To divide two fractions, we multiply by the reciprocal of the divisor, as illustrated:

Dividing rational expressions is performed in a similar manner. For example,

In general, given polynomials P, Q, R, and S, where Q0, R0, and S0, we have

 

Example 8: Divide: 8x5y25z6÷20xy415z3.

Solution: First, multiply by the reciprocal of the divisor and then cancel.

Answer: 6x425y3z3

 

Example 9: Divide: x+2x24÷x+3x2.

Solution: After multiplying by the reciprocal of the divisor, factor and cancel.

Answer: 1x+3

 

Example 10: Divide: x26x16x2+4x21÷x2+9x+14x28x+15.

Solution: Begin by multiplying by the reciprocal of the divisor. After doing so, factor and cancel.

Answer: (x8)(x5)(x+7)2

 

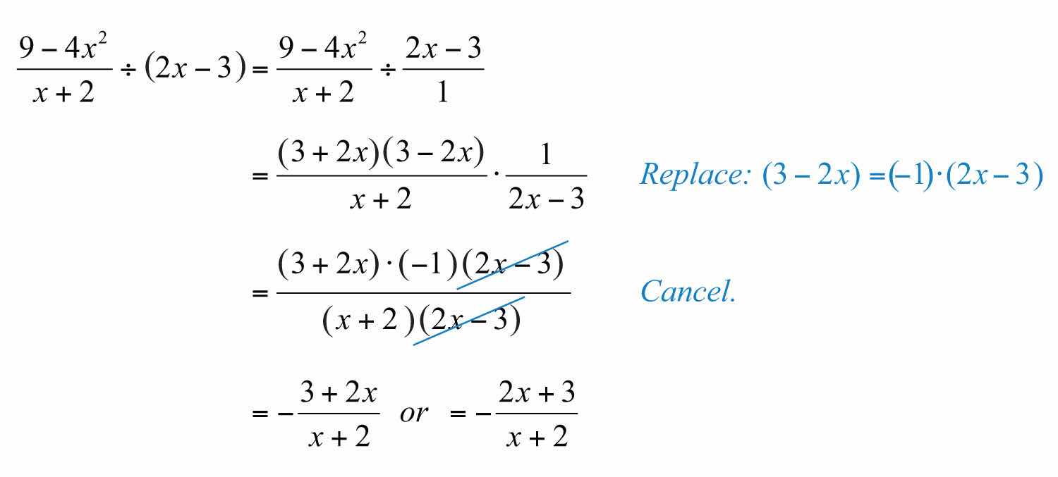
Example 11: Divide: 94x2x+2 ÷(2x3).

Solution: Just as we do with fractions, think of the divisor (2x3) as an algebraic fraction over 1.

Answer: 2x+3x+2

 

Try this! Divide: 4x2+7x225x2÷14x100x4.

Answer: 4x2(x+2)

Video Solution

(click to see video)

Multiplying and Dividing Rational Functions

The product and quotient of two rational functions can be simplified using the techniques described in this section. The restrictions to the domain of a product consist of the restrictions of each function.

 

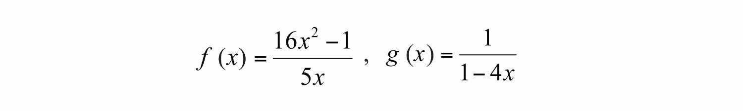
Example 12: Calculate (fg)(x) and determine the restrictions to the domain.

Solution: In this case, the domain of f(x) consists of all real numbers except 0, and the domain of g(x) consists of all real numbers except 1/4. Therefore, the domain of the product consists of all real numbers except 0 and 1/4. Multiply the functions and then simplify the result.

Answer: (fg)(x)=4x+15x, where x0,14

 

The restrictions to the domain of a quotient will consist of the restrictions of each function as well as the restrictions on the reciprocal of the divisor.

 

Example 13: Calculate (f/g)(x) and determine the restrictions.

Solution:

In this case, the domain of f(x) consists of all real numbers except 3 and 8, and the domain of g(x) consists all real numbers except 3. In addition, the reciprocal of g(x) has a restriction of −8. Therefore, the domain of this quotient consists of all real numbers except 3, 8, and −8.

Answer: (f/g)(x)=1, where x3,8,8

Key Takeaways

  • After multiplying rational expressions, factor both the numerator and denominator and then cancel common factors. Make note of the restrictions to the domain. The values that give a value of 0 in the denominator are the restrictions.
  • To divide rational expressions, multiply by the reciprocal of the divisor.
  • The restrictions to the domain of a product consist of the restrictions to the domain of each factor.
  • The restrictions to the domain of a quotient consist of the restrictions to the domain of each rational expression as well as the restrictions on the reciprocal of the divisor.

Topic Exercises

Part A: Multiplying Rational Expressions

Multiply. (Assume all denominators are nonzero.)

1. 2x394x2

2. 5x3yy225x

3. 5x22y4y215x3

4. 16a47b249b32a3

5. x612x324x2x6

6. x+102x1x2x+10

7. (y1)2y+11y1

8. y29y+32y3y3

9. 2a5a52a+54a225

10. 2a29a+4a216(a2+4a)

11. 2x2+3x2(2x1)22xx+2

12. 9x2+19x+24x2x24x+49x28x1

13. x2+8x+1616x2x23x4x2+5x+4

14. x2x2x2+8x+7x2+2x15x25x+6

15. x+1x33xx+5

16. 2x1x1x+612x

17. 9+x3x+13x+9

18. 12+5x5x+25x

19. 100y2y1025y2y+10

20. 3y36y536y2255+6y

21. 3a2+14a5a2+13a+119a2

22. 4a216a4a1116a24a215a4

23. x+9x2+14x45(x281)

24. 12+5x(25x2+20x+4)

25. x2+x63x2+15x+182x28x24x+4

26. 5x24x15x26x+125x210x+1375x2

Part B: Dividing Rational Expressions

Divide. (Assume all denominators are nonzero.)

27. 5x8÷15x24

28. 38y÷152y2

29. 5x93y325x109y5

30. 12x4y221z56x3y27z3

31. (x4)230x4÷x415x

32. 5y410(3y5)2÷10y52(3y5)3

33. x295x÷(x3)

34. y2648y÷(8+y)

35. (a8)22a2+10a÷a8a

36. 24a2b3(a2b)÷12ab(a2b)5

37. x2+7x+10x2+4x+4÷1x24

38. 2x2x12x23x+1÷14x21

39. y+1y23y÷y21y26y+9

40. 9a2a28a+15÷2a210aa210a+25

41. a23a182a211a6÷a2+a62a2a1

42. y27y+10y2+5y142y29y5y2+14y+49

43. 6y2+y14y2+4y+13y2+2y12y27y4

44. x27x18x2+8x+12÷x281x2+12x+36

45. 4a2b2b+2a÷(b2a)2

46. x2y2y+x÷(yx)2

47. 5y2(y3)4x3÷25y(3y)2x2

48. 15x33(y+7)÷25x69(7+y)2

49. 3x+4x8÷7x8x

50. 3x22x+1÷23x3x

51. (7x1)24x+1÷28x211x+114x

52. 4x(x+2)2÷2xx24

53. a2b2a÷(ba)2

54. (a2b)22b÷(2b2+aba2)

55. x26x+9x2+7x+12÷9x2x2+8x+16

56. 2x29x525x2÷14x+4x22x29x+5

57. 3x216x+51004x29x26x+13x2+14x5

58. 10x225x15x26x+99x2x2+6x+9

Recall that multiplication and division are to be performed in the order they appear from left to right. Simplify the following.

59. 1x2x1x+3÷x1x3

60. x7x+91x3÷x7x

61. x+1x2÷xx5x2x+1

62. x+42x+5÷x32x+5x+4x3

63. 2x1x+1÷x4x2+1x42x1

64. 4x213x+2÷2x1x+53x+22x+1

Part C: Multiplying and Dividing Rational Functions

Calculate (fg)(x) and determine the restrictions to the domain.

65. f(x)=1x and g(x)=1x1

66. f(x)=x+1x1 and g(x)=x21

67. f(x)=3x+2x+2 and g(x)=x24(3x+2)2

68. f(x)=(13x)2x6 and g(x)=(x6)29x21

69. f(x)=25x21x2+6x+9 and g(x)=x295x+1

70. f(x)=x2492x2+13x7 and g(x)=4x24x+17x

Calculate (f/g)(x) and state the restrictions.

71. f(x)=1x and g(x)=x2x1

72. f(x)=(5x+3)2x2 and g(x)=5x+36x

73. f(x)=5x(x8)2 and g(x)=x225x8

74. f(x)=x22x15x23x10 and g(x)=2x25x3x27x+12

75. f(x)=3x2+11x49x26x+1 and g(x)=x22x+13x24x+1

76. f(x)=36x2x2+12x+36 and g(x)=x212x+36x2+4x12

Part D: Discussion Board Topics

77. In the history of fractions, who is credited for the first use of the fraction bar?

78. How did the ancient Egyptians use fractions?

79. Explain why x=7 is a restriction to 1x÷x7x2.

Answers

1: 32x

3: 2y3x

5: 2x

7: y1y+1

9: 1a5

11: 2x2x1

13: −1

15: x+1x+5

17: 33x+1

19: 25y2

21: a+5a2+1

23: (x+9)2x5

25: 2/3

27: 16x

29: 3y25x

31: x42x3

33: x+35x

35: a82(a+5)

37: (x+5)(x2)

39: y3y(y1)

41: a1a2

43: y4y+1

45: 12ab

47: y10x

49: 3x+47x

51: 7x14x+1

53: a+ba(ba)

55: (x3)(x+4)(x+3)2

57: −1/4

59: xx+3

61: x(x5)x2

63: x2+1x+1

65: (fg)(x)=1x(x1); x0,1

67: (fg)(x)=x23x+2; x2,23

69: (fg)(x)=(x3)(5x1)x+3; x3,15

71: (f/g)(x)=x1x(x2); x0,1,2

73: (f/g)(x)=1(x8)(x+5); x±5,8

75: (f/g)(x)=(x+4)(x1); x13,1