6.1 Introduction to Factoring

Learning Objectives

  1. Determine the greatest common factor (GCF) of natural numbers.
  2. Determine the GCF of monomials.
  3. Factor out the GCF of a polynomial.
  4. Factor a four-term polynomial by grouping.

GCF of Natural Numbers

The process of writing a number or expression as a product is called factoringThe process of writing a number or expression as a product.. If we write 60 = 5 ⋅ 12, we say that the product 5 ⋅ 12 is a factorizationAny combination of factors, multiplied together, resulting in the product. of 60 and that 5 and 12 are factorsAny of the numbers or expressions that form a product.. Typically, there are many ways to factor a number. For example,

Recall that a prime number is defined as a natural number with exactly two natural number factors, 1 and itself. The first ten prime numbers follow:

Any natural number greater than 1 can be uniquely written as a product of prime numbers. This product is called the prime factorizationThe unique factorization of a natural number written as a product of primes.. The prime factorization of 60 can be determined by continuing to factor until only a product of prime numbers remains.

Since the prime factorization is unique, it does not matter how we choose to initially factor the number; the end result will be the same. The prime factorization of 60 follows:

Recall that the greatest common factor (GCF)The product of all the common prime factors. of any two natural numbers is the product of all the common prime factors.

 

Example 1: Find the GCF of 60 and 140.

Solution: First, determine the prime factorizations of both integers.

The product of the common prime factors is 2 2 5; hence the GCF(60,140)= 2 25=20. To see that it is the greatest common factor, we can write the following:

Answer: The greatest common factor of 60 and 140 is 20.

 

Example 2: Find the GCF of 504 and 1,080.

Solution: First, determine the prime factorizations of both integers.

The product of the common prime factors is 2332. The GCF(504,1080)=2332=72. Note that we multiplied the common prime factors with the smallest exponent.

The numbers 7 and 15 share no common natural number factor other than 1; we say that they are relatively primeExpressions that share no common factors other than 1..

Answer: The greatest common factor of 504 and 1,080 is 72.

GCF of Monomials

We next consider factorizations of monomials. For example, 6x and x4 are factors of 6x5 because 6x5=6xx4. Typically, there are many ways to factor a monomial. Some factorizations of 6x5 follow:

Given two or more monomials, it will be useful to find the greatest common monomial factor of each. For example, consider 6x5y3z and 8x2y3z2. The variable part of these two monomials look very much like the prime factorization of natural numbers and, in fact, can be treated the same way. Steps for finding the GCF of monomialsThe product of the GCF of the coefficients and all common variable factors. are outlined in the following example.

 

Example 3: Find the GCF of 6x5y3z and 8x2y3z2.

Solution:

Step 1: Find the GCF of the coefficients.

In this case, the GCF(6,8)=2.

Step 2: Determine the common variable factors with smallest exponents.

In this case, the common variables with the smallest exponents are x2, y3, and z1.

Step 3: The GCF of the monomials is the product of the common variable factors and the GCF of the coefficients. Therefore,

Answer: 2x2y3z

 

It is worth pointing out that the GCF in the previous example divides both expressions evenly:

Furthermore, we can write the following:

The factors 3x3 and 4z share no common monomial factors other than 1; they are relatively prime.

 

Example 4: Determine the GCF of the following expressions: 30x6y and 18x4y2z.

Solution: The prime factorizations of the coefficients are

Thus the GCF(30, 18) = 2 ⋅ 3 = 6. Next, consider the variable part:

The variable factors in common are x4 and y. The factor z is not in common and we have

Answer: 6x4y

 

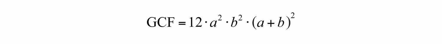
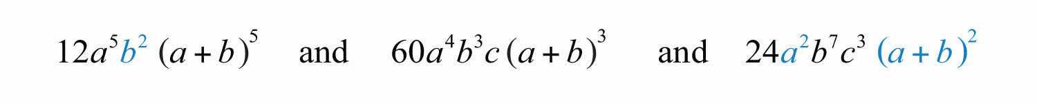
Example 5: Determine the GCF of the following three expressions: 12a5b2(a+b)5, 60a4b3c(a+b)3, and 24a2b7c3(a+b)2.

Solution: First, determine the GCF of the coefficients.

The GCF(12, 60, 24)=223=12. Next, determine the common factors of the variable part:

The variable factors in common are a2, b2, and (a+b)2. Therefore,

Answer: 12a2b2(a+b)2. Note that the variable c is not common to all three expressions and thus is not included in the GCF.

 

Try this! Determine the GCF of the following: 60x4y3(x+2y)7, 45x2y5(x+2y)4, and 30x7y7(x+2y)3.

Answer: 15x2y3(x+2y)3

Video Solution

(click to see video)

Factoring out the GCF

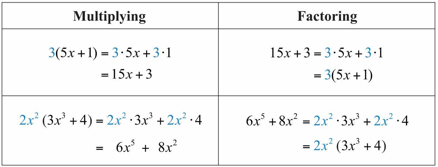
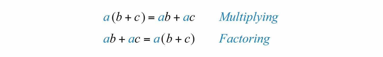
We have seen that application of the distributive property is the key to multiplying polynomials. The process of factoring a polynomialThe process of rewriting a polynomial as a product of polynomial factors. involves using the distributive property in reverse to write each polynomial as a product of polynomial factors.

To demonstrate this idea, we multiply and factor side by side. Factoring utilizes the GCF of the terms.

In the previous example, we see that the distributive property allows us to write the polynomial 6x5+8x2 as a product of the two factors 2x2 and (3x3+4). Note that in this case, 2x2 is the GCF of the terms of the polynomial:

Factoring out the GCFThe process of rewriting a polynomial as a product using the GCF of all of its terms. involves rewriting a polynomial as a product where a factor is the GCF of all of its terms:

The steps for factoring out the GCF of a polynomialThe greatest common factor of all the terms of the polynomial. are outlined in the following example.

 

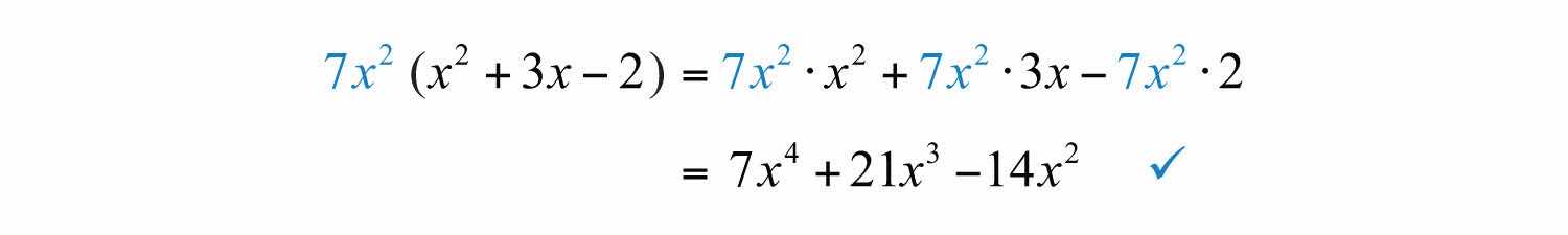
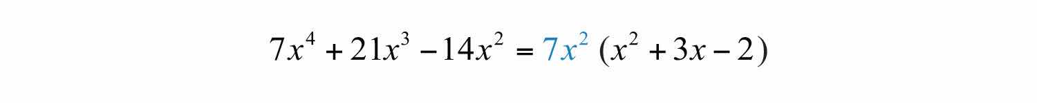
Example 6: Factor out the GCF: 7x4+21x314x2.

Solution:

Step 1: Identify the GCF of all the terms. In this case, the GCF(7, 21, 14) = 7, and the common variable factor with the smallest exponent is x2. The GCF of the polynomial is 7x2.

Step 2: Determine the terms of the missing factor by dividing each term of the original expression by the GCF. (This step is usually performed mentally.)

Step 3: Apply the distributive property (in reverse) using the terms found in the previous step.

Step 4: As a check, multiply using the distributive property to verify that the product equals the original expression. (This step is optional and can be performed mentally.)

Answer: 7x2(x2+3x2)

 

Example 7: Factor out the GCF: 48a16b+4c.

Solution: There are no variable factors in common and the GCF(48, 16, 4) = 4.

Answer: 4(12a4b+c)

 

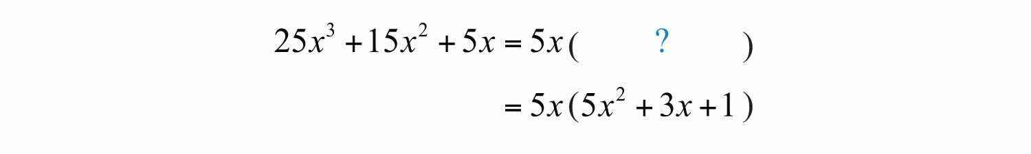
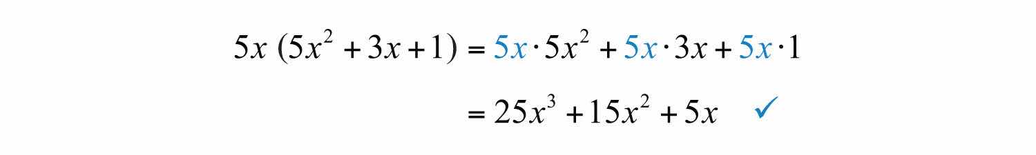
Example 8: Factor out the GCF: 25x3+15x2+5x.

Solution: The GCF(25, 15, 5) = 5, and the common variable factor with smallest exponents is x1. The GCF of all the terms is 5x.

Answer: 5x(5x2+3x+1)

 

If the GCF is the same as one of the terms, then, after the GCF is factored out, a constant term 1 will remain. In the previous example, we can see that 5x5x=1. The importance of remembering the constant term becomes clear when performing the check using the distributive property:

The constant term 1 allows us to obtain the same original expression after we distribute.

 

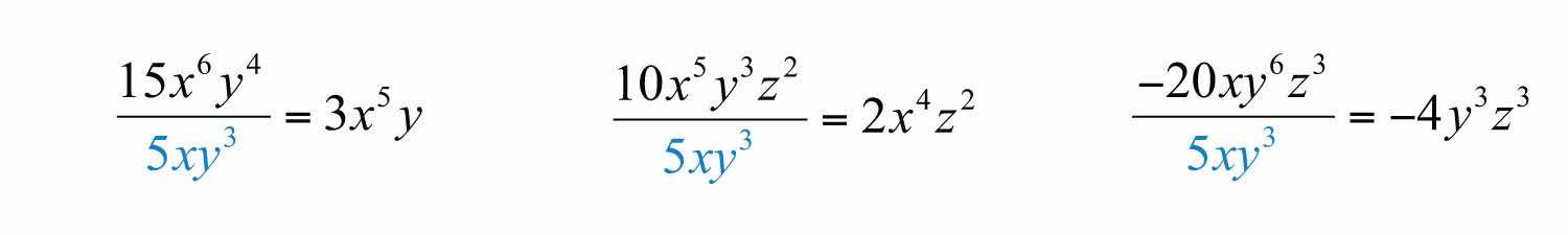
Example 9: Factor out the GCF: 15x6y4+10x5y3z220xy6z3.

Solution: The GCF(10,15,20)=5, and the common variables with smallest exponent are x1 and y3. Therefore, the GCF of the terms is 5xy3. The first term does not have a variable factor of z and thus cannot be a part of the greatest common factor. If we divide each term by 5xy3, we obtain

and can write

Answer: 5xy3(3x5y+2x4z24y3z3)

 

Example 10: Factor out the GCF: 24a6b2c5+8a7b5c.

Solution: The GCF(24, 8) = 8, and the variable factors with smallest exponents are a6, b2, and c . Therefore, the GCF of all the terms is 8a6b2c.

Answer: 8a6b2c(3c4+ab3)

 

Of course, not all polynomials with integer coefficients can be factored as a product of polynomials with integer coefficients other than 1 and itself. If this is the case, then we say that it is a prime polynomialA polynomial with integer coefficients that cannot be factored as a product of polynomials with integer coefficients other than 1 and itself..

 

Example 11: Factor: 3x5.

Solution: Prime: there are no polynomial factors other than 1 and itself.

Answer: Prime

 

Try this! Factor out the GCF: 16x4y38x2y54x2y.

Answer: 4x2y(4x2y22y41)

Video Solution

(click to see video)

Factor by Grouping

In this section, we outline a technique for factoring polynomials with four terms. First, review some preliminary examples where the terms have a common binomial factor.

 

Example 12: Factor: 5x(x3)+2(x3).

Solution: This expression is a binomial with terms 5x(x3) and 2(x3). In this case, (x3) is a common factor. Begin by factoring this common factor out:

To determine the terms of the remaining factor, divide each term by (x3):

This step is typically performed mentally. We have

Answer: (x3)(5x+2)

 

Recall that 1 is always a common factor. If the GCF is the same as a term, then the factor 1 remains after we factor out that GCF.

 

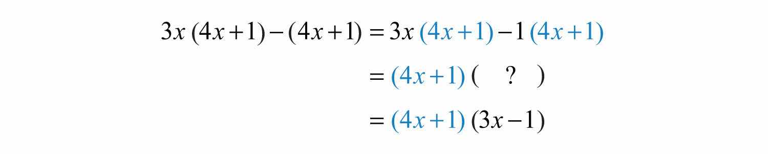
Example 13: Factor: 3x(4x+1)(4x+1).

Solution: Rewrite the second term (4x+1) as 1(4x+1) and then factor out the common binomial factor (4x+1).

Answer: (4x+1)(3x1)

 

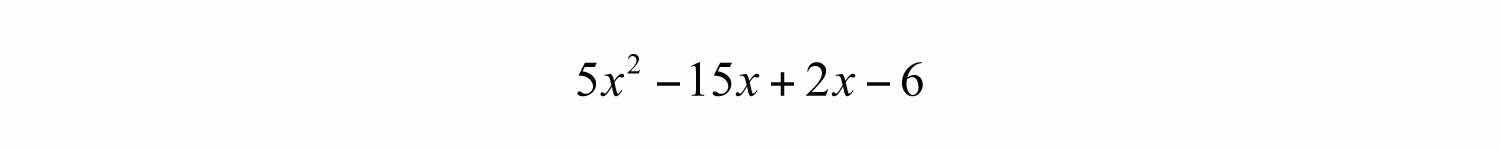
Remember that the goal for this section is to develop a technique that enables us to factor polynomials with four terms into a product of binomials. The intermediate step of this process looks like the previous two examples. For example, we wish to factor

Begin by grouping the first two terms and the last two terms. Then factor out the GCF of each grouping:

In this form, it is a binomial with a common binomial factor, (x3).

The steps that follow outline a technique for factoring four-term polynomials called factor by groupingA technique for factoring polynomials with four terms..

 

Example 14: Factor: 2x3+4x2+3x+6.

Solution: Group terms in such a way as to obtain a binomial with common factors.

Step 1: Group the first two and last two terms and then factor out the GCF of each.

The GCF of the first two terms is 2x2, and the GCF of the second two terms is 3.

Step 2: At this point, the polynomial is a binomial. Factor out any factors common to both terms. Here (x+2) is a common factor.

Step 3: Optional check: multiply to verify that we obtain the original expression.

Answer: (x+2)(2x2+3)

 

Example 15: Factor: 2a33a2+2a3.

Solution: The GCF of the first two terms is a2 and the GCF of the second two terms is 1.

Answer: (2a3)(a2+1). The check is left to the reader.

 

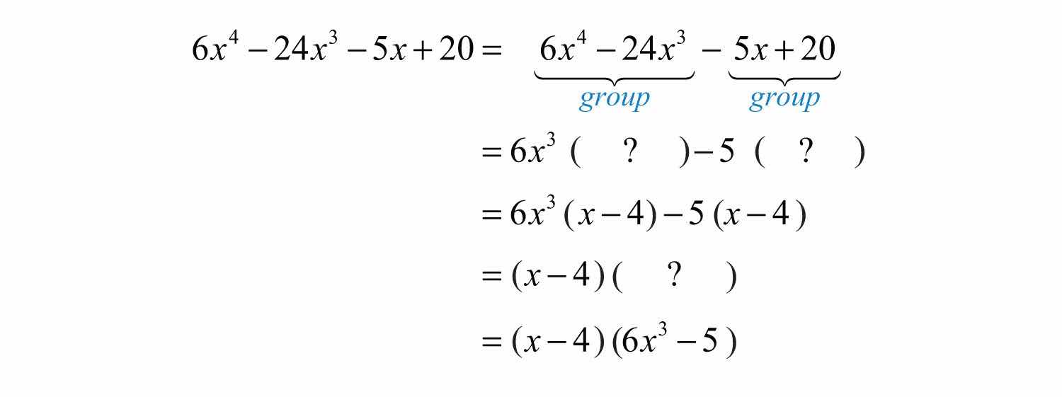
Example 16: Factor: 6x424x35x+20.

Solution: The GCF for the first group is 6x3. We have to choose 5 or −5 to factor out of the second group.

Factoring out a +5 does not result in a common binomial factor. If we choose to factor out −5, then we obtain a common binomial factor and can proceed. Note that when factoring out a negative number, we change the signs of the factored terms.

Answer: (x4)(6x35). The check is left to the reader.

Tip

The sign of the leading coefficient in the second grouping usually indicates whether or not to factor out a negative factor. If that coefficient is positive, factor out a positive factor. If it is negative, factor out a negative factor.

When all the terms of a polynomial have a GCF other than 1, it is a best practice to factor that out before factoring by grouping.

 

Example 17: Factor: 3y4+9y26y318y.

Solution: Here we notice that the greatest common factor of all the terms is 3y. Begin by factoring out the GCF and then factor the result by grouping.

Answer: 3y(y2+3)(y2)

 

Sometimes we must first rearrange the terms in order to obtain a common factor.

 

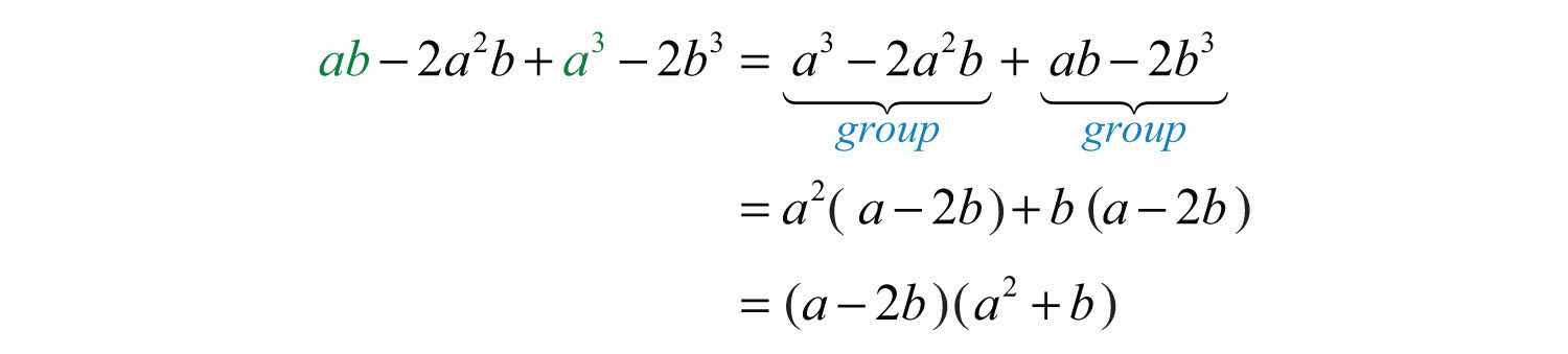
Example 18: Factor: ab2a2b+a32b3.

Solution: Simply factoring the GCF out of the first group and last group does not yield a common binomial factor.

We must rearrange the terms, searching for a grouping that produces a common factor. In this example, we have a workable grouping if we switch the terms a3 and ab.

Answer: (a2b)(a2+b)

 

Not all factorable four-term polynomials can be factored with this technique. For example,

This four-term polynomial cannot be grouped in any way as to produce a common binomial factor. Despite this, the polynomial is not prime and can be written as a product of polynomials. It can be factored as follows:

Factoring such polynomials is something that we will learn to do as we move further along in our study of algebra. For now, we will limit our attempt to factor four-term polynomials to using the factor by grouping technique.

 

Try this! Factor: x3x2yxy+y2.

Answer: (xy)(x2y)

Video Solution

(click to see video)

Key Takeaways

  • To find the greatest common factor (GCF) of any collection of natural numbers, first find the prime factorization of each. The GCF is the product of all the common prime factors.
  • The GCF of two or more monomials is the product of the GCF of the coefficients and the common variable factors with the smallest power.
  • If the terms of a polynomial have a greatest common factor, then factor out that GCF using the distributive property. Divide each term of the polynomial by the GCF to determine the terms of the remaining factor.
  • Some four-term polynomials can be factored by grouping the first two terms and the last two terms. Factor out the GCF of each group and then factor out the common binomial factor.
  • When factoring by grouping, you sometimes have to rearrange the terms to find a common binomial factor. After factoring out the GCF, the remaining binomial factors must be the same for the technique to work.
  • Not all polynomials can be factored as the product of polynomials with integer coefficients. In this case, we call it a prime polynomial.

Topic Exercises

Part A: GCF of Natural Numbers

Give the prime factorization of each number and determine the GCF.

1. 18, 24

2. 45, 75

3. 72, 60

4. 168, 175

5. 144, 245

6. 15, 50, 60

7. 14, 63, 70

8. 12, 48, 125

9. 60, 72, 900

10. 252, 336, 360

Part B: GCF of Variable Expressions

Determine the GCF of all the terms.

11. 15x,30

12. 14x,21

13. 45x4,8x3

14. 36x5,35y2

15. 6x,27x,36x

16. 12x3,4x2,6x

17. 12x2y,60xy3

18. 7ab2,2a2b,3a3b3

19. 6a2b2,18a3b2,9ab2

20. 15x(x+2),9(x+2)

21. 20x(2x1),16(2x1)

22. 20x3(x+y)5,10x5(x+y)2

Part C: Factoring out the GCF

Given the GCF, determine the missing factor.

23. 25x2+10x=5x(?)

24. 12y5+7y2=y2(?)

25. 22x4121x2+11x=11x(?)

26. 30y345y23y=3y(?)

27. 36a5b760a6b5=12a5b5(?)

28. 24x2y+48xy212xy=12xy(?)

Factor out the GCF.

29. 4x8

30. 27x9

31. 3x18

32. 5x10

33. 25x16

34. 72x35

35. 15x2+30x

36. 14a27a

37. 30a510a2

38. 8x416x2

39. 5x6+x3

40. 3x79x5

41. 18a2+30a6

42. 24a236a12

43. 27x36x2+3x

44. 8x312x2+2x

45. 9x4+18x33x2

46. 12y416y3+20y2

47. 7x521x314x2+28x

48. 36y10+12y818y46y3

49. 12x5y28x3y

50. 125a8b4c325a2b3c3

51. 6x4y34x3y2+8x2y

52. 15x4y230x3y3+15x2y4

53. 81x7y6z218x2y8z4+9x2y5z2

54. 4x5y4z9+26x5y3z414x6y8z5

55. 2x(x3)+5(x3)

56. 3x(2x+1)4(2x+1)

57. 5x(5x+2)(5x+2)

58. 2x(3x+4)+(3x+4)

59. x2(4x7)5(4x7)

60. (x+6)3x2(x+6)

61. (a+b)23a(a+b)2

62. (ab+2)3+3ab(ab+2)3

63. 7x(x+7)5+14x2(x+7)5

64. 36x5(3x+2)412x3(3x+2)4

Are the following factored correctly? Check by multiplying.

65. 4x216x=4x(x4)

66. 3a33a=3a(a2)

67. 3x35x6=x3(3x2)

68. 5x310x4+15x5=5x3(12x+3x2)

69. x3x2+x=x(x2x)

70. 12x4y316x5y2+8x6y7=4x4y2(3y4x+2x2y5)

Use polynomial long division to show that the given factor divides the polynomial evenly.

71. Show that (x1) is a factor of (2x35x2+4x1).

72. Show that (x+3) is a factor of (3x3+7x24x+6).

73. Show that (3x2) is a factor of (3x3+4x27x+2).

74. Show that (2x+1) is a factor of (2x35x2+x+2).

75. The height in feet of an object tossed into the air is given by the function h(t)=16t2+32t, where t is the time in seconds after it is tossed. Write the function in factored form.

76. The height in feet of an object dropped from a 16‑foot ladder is given by the function h(t)=16t2+16, where t is the time in seconds after it is tossed. Write the function in factored form.

77. The surface area of a cylinder is given by the formula SA=2πr2+2πrh, where r represents the radius of the base and h is the height of the cylinder. Express this formula in factored form.

78. The surface area of a cone is given by the formula SA=πr2+πrs, where r represents the radius of the base and s represents the slant height. Express this formula in factored form.

Part D: Factor by Grouping

Factor by grouping.

79. x210x+2x20

80. x26x3x+18

81. x3+2x2+2x+4

82. x33x2+5x15

83. x3+7x22x14

84. 2x3+2x2x1

85. x35x2+4x20

86. 6x33x2+2x1

87. 9x36x23x+2

88. 2x4x36x+3

89. x5+x3+2x2+2

90. 6x54x39x2+6

91. 3a3b+3ab2+2a2+2b

92. 2a3+2ab33a2b3b4

93. 2a3a2b22ab+b3

94. a43a3b2+ab23b4

95. 3a2b46b3a2b+2

96. 3x3+2y3+x3y3+6

97. 3x35y3+x3y3+15

98. 2x3y3+2y34x3

99. 3x2y3+xy23xy

100. 2x2+y32xyxy2

Factor out the GCF first and then factor by grouping.

101. 5x235x15x+105

102. 12x230x12x+30

103. 2x3+6x210x30

104. 6x33x242x+21

105. 4x4+4x312x212x

106. 9x4+6x345x2+30x

107. 12x5+4x4+6x32x2

108. 24x536x4+8x312x2

109. 24a3b260a3b+40ab2100ab

110. a4b22a3b3+a2b32ab4

Part E: Discussion Board Topics

111. Research the Euclidean algorithm for finding the GCF of two natural numbers. Give an example that illustrates the steps.

112. Research and discuss the contributions of Euclid of Alexandria.

113. Explain what factoring is and give an example.

114. Is 5x(x+2)3(x+2) fully factored? Explain.

115. Make up a factoring problem of your own and provide the answer. Post the problem and the solution on the discussion board.

Answers

1: 18=232, 24=233, GCF = 6

3: 72=2332, 60=2235, GCF = 12

5: 144=2432, 245=572, GCF = 1

7: 14=27, 63=327, 70=257, GCF = 7

9: 60=2235, 72=2332, 900=223252, GCF = 12

11: 15

13: x3

15: 3x

17: 12xy

19: 3ab2

21: 4(2x1)

23: (5x+2)

25: (2x311x+1)

27: (3b25a)

29: 4(x2)

31: 3(x6)

33: Prime

35: 15x(x+2)

37: 10a2(3a31)

39: x3(5x3+1)

41: 6(3a2+5a1)

43: 3x(9x22x+1)

45: 3x2(3x2+6x1)

47: 7x (x43x22x+4)

49: 4x3y(3x2y2)

51: 2x2y(3x2y22xy+4)

53: 9x2y5z2(9x5y2y3 z2+1)

55: (x3)(2x+5)

57: (5x+2)(5x1)

59: (4x7)(x25)

61: (a+b)2(13a)

63: 7x(x+7)5(1+2x)

65: Yes

67: No

69: No

75: h(t)=16t(t2)

77: SA=2πr(r+h)

79: (x10)(x+2)

81: (x+2)(x2+2)

83: (x+7)(x22)

85: (x5)(x2+4)

87: (3x2)(3x21)

89: (x2+1)(x3+2)

91: (a2+b)(3ab+2)

93: (a2b)(2ab2)

95: (3b31)(a2b2)

97: (x35)(y33)

99: (xy)(3x+y2)

101: 5(x7)(x3)

103: 2(x+3)(x25)

105: 4x(x+1)(x23)

107: 2x2(3x1)(2x21)

109: 4ab(3a2+5)(2b5)