2.2 Simplifying Algebraic Expressions

Learning Objectives

  1. Apply the distributive property to simplify an algebraic expression.
  2. Identify and combine like terms.

Distributive Property

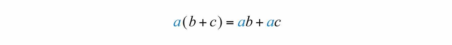
The properties of real numbers are important in our study of algebra because a variable is simply a letter that represents a real number. In particular, the distributive propertyGiven any real numbers a, b, and c, a(b+c)=ab+ac or (b+c)a=ba+ca. states that given any real numbers a, b, and c,

This property is applied when simplifying algebraic expressions. To demonstrate how it is used, we simplify 2(53) in two ways, and observe the same correct result.

Certainly, if the contents of the parentheses can be simplified, do that first. On the other hand, when the contents of parentheses cannot be simplified, multiply every term within the parentheses by the factor outside of the parentheses using the distributive property. Applying the distributive property allows you to multiply and remove the parentheses.

 

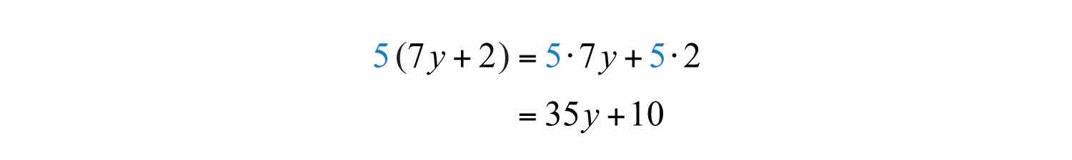
Example 1: Simplify: 5(7y+2).

Solution: Multiply 5 times each term inside the parentheses.

Answer: 35y+10

 

Example 2: Simplify: 3(2x2+5x+1).

Solution: Multiply −3 times each of the coefficients of the terms inside the parentheses.

Answer: 6x215x3

 

Example 3: Simplify: 5(2a+5b)2c.

Solution: Apply the distributive property by multiplying only the terms grouped within the parentheses by 5.

Answer: 10a+25b2c

 

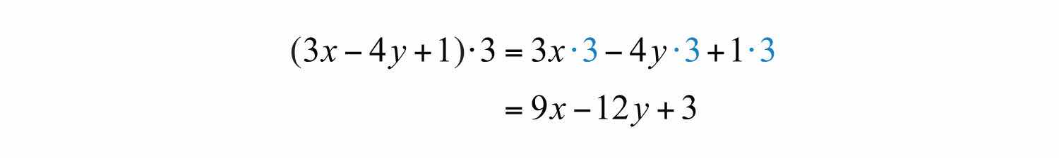
Because multiplication is commutative, we can also write the distributive property in the following manner: (b+c)a=ba+ca.

 

Example 4: Simplify: (3x4y+1)3.

Solution: Multiply each term within the parentheses by 3.

Answer: 9x12y+3

 

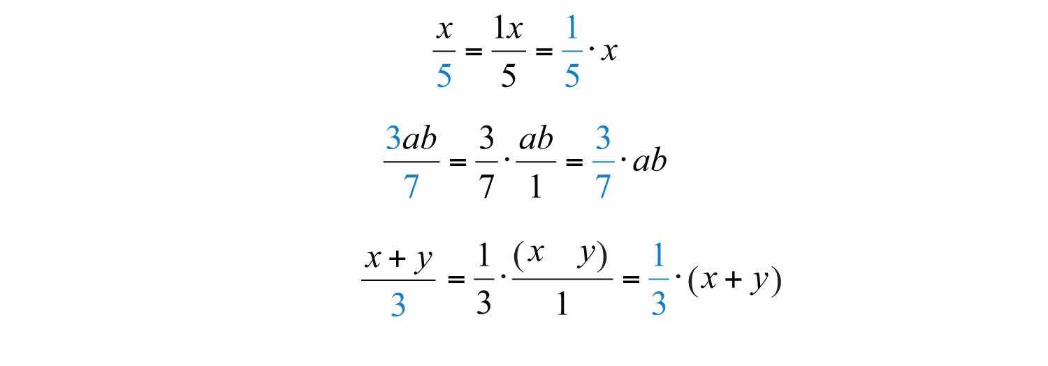
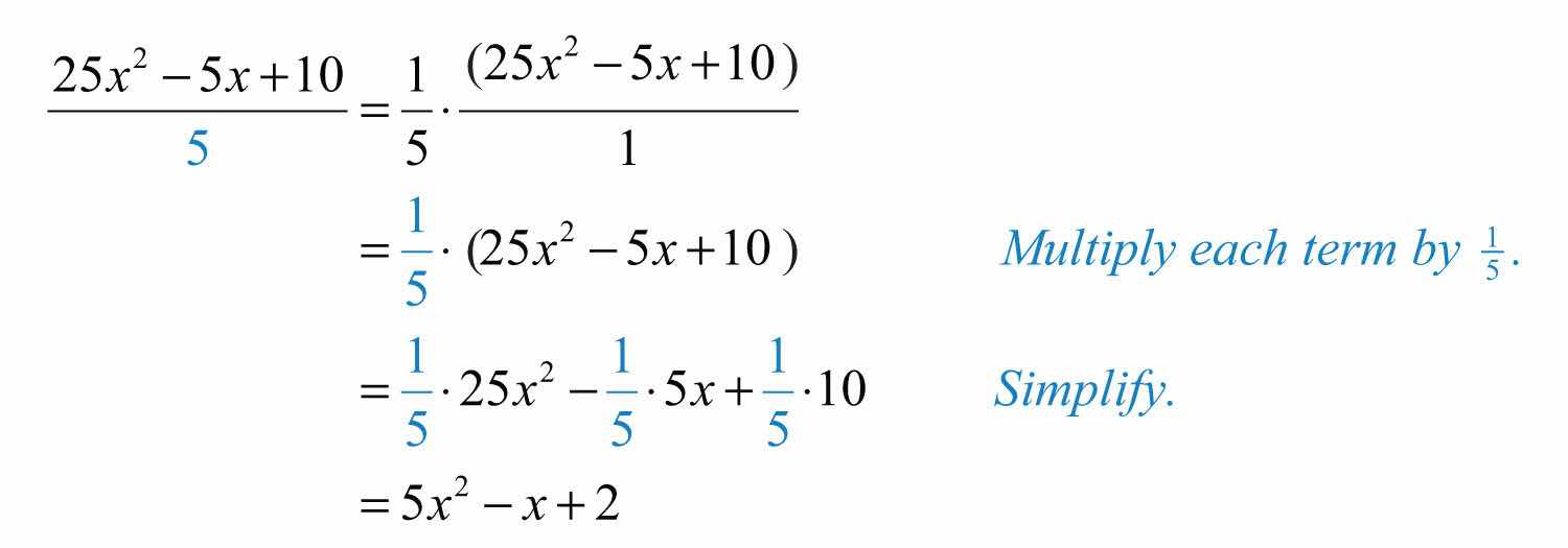
Division in algebra is often indicated using the fraction bar rather than with the symbol (÷). And sometimes it is useful to rewrite expressions involving division as products:

Rewriting algebraic expressions as products allows us to apply the distributive property.

 

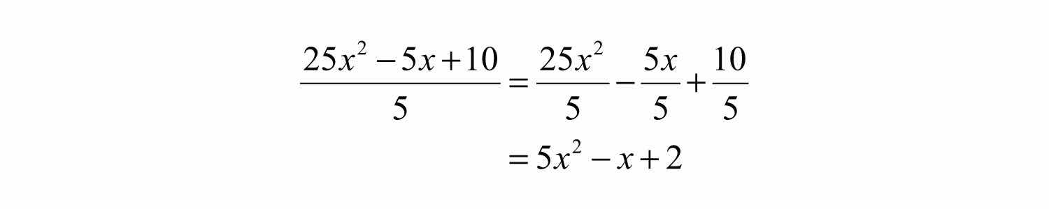
Example 5: Divide: 25x25x+105.

Solution: First, treat this as 15 times the expression in the numerator and then distribute.

Alternate Solution: Think of 5 as a common denominator and divide each of the terms in the numerator by 5:

Answer: 5x2x+2

 

We will discuss the division of algebraic expressions in more detail as we progress through the course.

 

Try this! Simplify: 13(9x+27y3).

Answer: 3x+9y1

Video Solution

(click to see video)

Combining Like Terms

Terms with the same variable parts are called like termsConstant terms or terms with the same variable parts., or similar termsUsed when referring to like terms.. Furthermore, constant terms are considered to be like terms. If an algebraic expression contains like terms, apply the distributive property as follows:

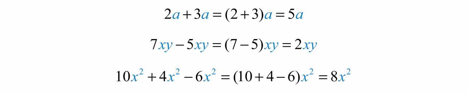
In other words, if the variable parts of terms are exactly the same, then we may add or subtract the coefficients to obtain the coefficient of a single term with the same variable part. This process is called combining like termsAdding or subtracting like terms within an algebraic expression to obtain a single term with the same variable part.. For example,

Notice that the variable factors and their exponents do not change. Combining like terms in this manner, so that the expression contains no other similar terms, is called simplifying the expressionThe process of combining like terms until the expression contains no more similar terms.. Use this idea to simplify algebraic expressions with multiple like terms.

 

Example 6: Simplify: 3a+2b4a+9b.

Solution: Identify the like terms and combine them.

Answer: a+11b

 

In the previous example, rearranging the terms is typically performed mentally and is not shown in the presentation of the solution.

 

Example 7: Simplify: x2+3x+2+4x25x7.

Solution: Identify the like terms and add the corresponding coefficients.

Answer: 5x22x5

 

Example 8: Simplify: 5x2y3xy2+4x2y2xy2.

Solution: Remember to leave the variable factors and their exponents unchanged in the resulting combined term.

Answer: 9x2y5xy2

 

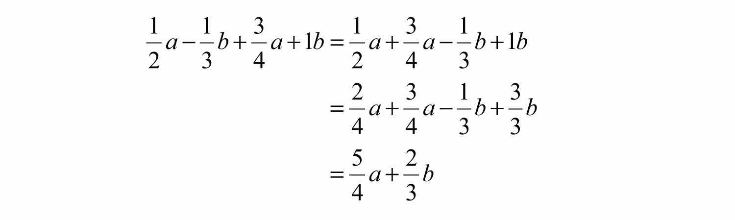
Example 9: Simplify: 12a13b+34a+b.

Solution: To add the fractional coefficients, use equivalent coefficients with common denominators for each like term.

Answer: 54a+23b

 

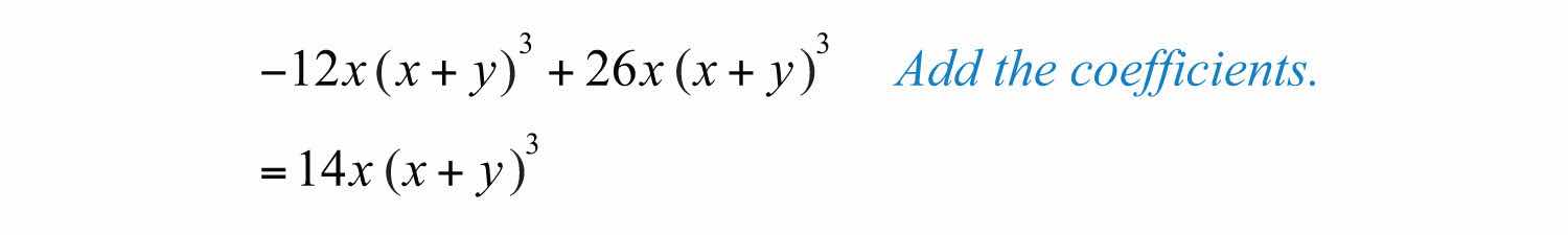
Example 10: Simplify: 12x(x+y)3+26x(x+y)3.

Solution: Consider the variable part to be x(x+y)3. Then this expression has two like terms with coefficients −12 and 26.

Answer: 14x(x+y)3

 

Try this! Simplify: 7x+8y2x3y.

Answer: 9x+5y

Video Solution

(click to see video)

Distributive Property and Like Terms

When simplifying, we will often have to combine like terms after we apply the distributive property. This step is consistent with the order of operations: multiplication before addition.

 

Example 11: Simplify: 2(3ab)7(2a+3b).

Solution: Distribute 2 and −7 and then combine like terms.

Answer: 20a23b

 

In the example above, it is important to point out that you can remove the parentheses and collect like terms because you multiply the second quantity by −7, not just by 7. To correctly apply the distributive property, think of this as adding −7 times the given quantity, 2(3ab)+(7)(2a+3b).

 

Try this! Simplify: 5(2x3)+7x.

Answer: 3x+15

Video Solution

(click to see video)

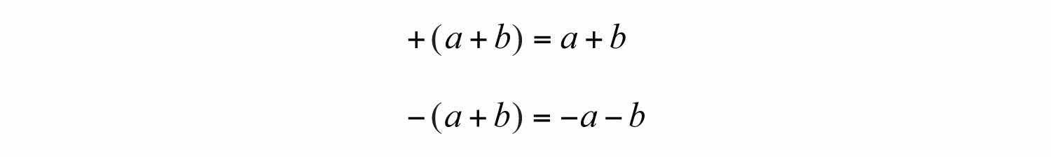
Often we will encounter algebraic expressions like +(a+b) or (a+b). As we have seen, the coefficients are actually implied to be +1 and −1, respectively, and therefore, the distributive property applies using +1 or –1 as the factor. Multiply each term within the parentheses by these factors:

This leads to two useful properties,

 

Example 12: Simplify: 5x(2x2+3x1).

Solution: Multiply each term within the parentheses by −1 and then combine like terms.

Answer: 2x2+2x+1

 

When distributing a negative number, all of the signs within the parentheses will change. Note that 5x in the example above is a separate term; hence the distributive property does not apply to it.

 

Example 13: Simplify: 52(x24x3).

Solution: The order of operations requires that we multiply before subtracting. Therefore, distribute −2 and then combine the constant terms. Subtracting 5 − 2 first leads to an incorrect result, as illustrated below:

Answer: −2x2 + 8x + 11

Caution

It is worth repeating that you must follow the order of operations: multiply and divide before adding and subtracting!

Try this! Simplify: 83(x2+2x7).

Answer: 3x26x+29

Video Solution

(click to see video)

 

Example 14: Subtract 3x2 from twice the quantity 4x2+2x8.

Solution: First, group each expression and treat each as a quantity:

Next, identify the key words and translate them into a mathematical expression.

Finally, simplify the resulting expression.

Answer: 8x2+x14

Key Takeaways

  • The properties of real numbers apply to algebraic expressions, because variables are simply representations of unknown real numbers.
  • Combine like terms, or terms with the same variable part, to simplify expressions.
  • Use the distributive property when multiplying grouped algebraic expressions, a(b+c)=ab+ac.
  • It is a best practice to apply the distributive property only when the expression within the grouping is completely simplified.
  • After applying the distributive property, eliminate the parentheses and then combine any like terms.
  • Always use the order of operations when simplifying.

Topic Exercises

Part A: Distributive Property

Multiply.

1. 3(3x2)

2. 12(5y+1)

3. 2(x+1)

4. 5(ab)

5. 58(8x16)

6. 35(10x5)

7. (2x+3)2

8. (5x1)5

9. (x+7)(3)

10. (8x+1)(2)

11. (2a3b)

12. (x1)

13. 13(2x+5)

14. 34(y2)

15. 3(2a+5bc)

16. (2y25y+7)

17. 5(y26y9)

18. 6(5x2+2x1)

19. 7x2(3x11)

20. (2a3b)+c

21. 3(7x22x)3

22. 12(4a26a+4)

23. 13(9y23y+27)

24. (5x27x+9)(5)

25. 6(13x216x+12)

26. 2(3x32x2+x3)

27. 20x+30y10z10

28. 4a+20b8c4

29. 3x29x+813

30. 15y2+20y55

Translate the following sentences into algebraic expressions and then simplify.

31. Simplify two times the expression 25x29.

32. Simplify the opposite of the expression 6x2+5x1.

33. Simplify the product of 5 and x28.

34. Simplify the product of −3 and 2x2+x8.

Part B: Combining Like Terms

Simplify.

35. 2x3x

36. 2a+5a12a

37. 10y3015y

38. 13x+512x

39. 14x+45+38x

40. 2x4x+7xx

41. 3y2y+10y4y

42. 5x7x+8y+2y

43. 8α+2β5α6β

44. 6α+7β2α+β

45. 3x+52y+75x+3y

46. y+8x3+14x+1y

47. 4xy6+2xy+8

48. 12ab3+4ab20

49. 13x25y+23x35y

50. 38a27b14a+314b

51. 4x23xy+7+4x25xy3

52. x2+y22xyx2+5xyy2

53. x2y2+2x23y

54. 12x223y218x2+15y2

55. 316a245+14a214

56. 15y234+710y212

57. 6x2y3xy2+2x2y5xy2

58. 12x2y2+3xy13x2y2+10xy

59. ab2+a2b2ab2+5a2b

60. m2n2mn+mn3m2n+4m2n2

61. 2(x+y)2+3(x+y)2

62. 15(x+2)323(x+2)3

63. 3x(x21)+5x(x21)

64. 5(x3)8(x3)

65. 14(2x+7)+6(2x+7)

66. 4xy(x+2)29xy(x+2)2+xy(x+2)2

Part C: Mixed Practice

Simplify.

67. 5(2x3)+7

68. 2(4y+2)3y

69. 5x2(4x5)

70. 3(2x+7)

71. 2x(3x4y1)

72. (10y8)(40x+20y7)

73. 12y34x(23y15x)

74. 15a34b+315a12b

75. 23(xy)+x2y

76. 13(6x1)+12(4y1)(2x+2y16)

77. (2x27x+1)+(x2+7x5)

78. 6(2x2+3x1)+10x25x

79. (x23x+8)+x212

80. 2(3a4b)+4(2a+3b)

81. 7(10x7y)6(8x+4y)

82. 10(6x9)(80x35)

83. 105(x23x1)

84. 4+6(y29)

85. 34x(12x2+23x75)

86. 73x2+(16x2+7x1)

87. (2y23y+1)(5y2+10y7)

88. (10a2b2+c)+(12a2+b24c)

89. 4(2x2+3x2)+5(x24x1)

90. 2(3x27x+1)3(x2+5x1)

91. x2y+3xy2(2x2yxy2)

92. 3(x2y212xy)(7x2y220xy+18)

93. 35(ab3)+2(ba4)

94. 92(xy+7)(yx1)

95. 5(4α2β+1)+10(α3β+2)

96. 12(100α250αβ+2β2)15(50α2+10αβ5β2)

Translate the following sentences into algebraic expressions and then simplify.

97. What is the difference of 3x4 and 2x+5?

98. Subtract 2x3 from 5x+7.

99. Subtract 4x+3 from twice the quantity x2.

100. Subtract three times the quantity x+8 from 10x9.

Part D: Discussion Board Topics

101. Do we need a distributive property for division, (a+b)÷c? Explain.

102. Do we need a separate distributive property for three terms, a(b+c+d)? Explain.

103. Explain how to subtract one expression from another. Give some examples and demonstrate the importance of the order in which subtraction is performed.

104. Given the algebraic expression 85(3x+4), explain why subtracting 85 is not the first step.

105. Can you apply the distributive property to the expression 5(abc)? Explain why or why not and give some examples.

106. How can you check to see if you have simplified an expression correctly? Give some examples.

Answers

1: 9x6

3: 2x2

5: 5x10

7: 4x+6

9: 3x21

11: 2a+3b

13: 23x+53

15: 6a15b+3c

17: 5y230y45

19: 7x23x+11

21: 21x26x3

23: 3y2+y9

25: 2x2x+3

27: 2x+3yz

29: x2+3x27

31: 50x218

33: 5x240

35: x

37: 5y30

39: 18x+45

41: y

43: 13α4β

45: 2x+y+12

47: 6xy+2

49: xy

51: 8xy+4

53: 3x2y23y

55: 716a22120

57: 8x2y8xy2

59: 6a2b3ab2

61: 5(x+y)2

63: 2x(x21)

65: 8(2x+7)

67: 10x8

69: 3x+10

71: x+4y+1

73: 1120x16y

75: 53x83y

77: 3x24

79: 3x20

81: 118x+25y

83: 5x2+15x+15

85: 12x2+112x+75

87: 3y213y+8

89: 3x232x+3

91: x2y+4xy2

93: 3ab+10

95: 10α20β+15

97: 5x9

99: 2x7