1.4 Fractions

Learning Objectives

  1. Reduce a fraction to lowest terms.
  2. Multiply and divide fractions.
  3. Add and subtract fractions.

Reducing

A fractionA rational number written as a quotient of two integers: ab, where b is nonzero. is a real number written as a quotient, or ratioRelationship between two numbers or quantities usually expressed as a quotient., of two integers a and b, where b0.

The integer above the fraction bar is called the numeratorThe number above the fraction bar. and the integer below is called the denominatorThe number below the fraction bar.. The numerator is often called the “part” and the denominator is often called the “whole.” Equivalent fractionsTwo equal fractions expressed using different numerators and denominators. are two equal ratios expressed using different numerators and denominators. For example,

Fifty parts out of 100 is the same ratio as 1 part out of 2 and represents the same real number. Consider the following factorizations of 50 and 100:

The numbers 50 and 100 share the factor 25. A shared factor is called a common factorA factor that is shared by more than one real number.. We can rewrite the ratio 50100 as follows:

Making use of the multiplicative identity property and the fact that 2525=1, we have

Dividing 2525 and replacing this factor with a 1 is called cancelingThe process of dividing out common factors in the numerator and the denominator.. Together, these basic steps for finding equivalent fractions define the process of reducingThe process of finding equivalent fractions by dividing the numerator and the denominator by common factors.. Since factors divide their product evenly, we achieve the same result by dividing both the numerator and denominator by 25 as follows:

Finding equivalent fractions where the numerator and denominator have no common factor other than 1 is called reducing to lowest termsFinding equivalent fractions where the numerator and the denominator share no common integer factor other than 1.. When learning how to reduce to lowest terms, it is helpful to first rewrite the numerator and denominator as a product of primes and then cancel. For example,

We achieve the same result by dividing the numerator and denominator by the greatest common factor (GCF)The largest shared factor of any number of integers.. The GCF is the largest number that divides both the numerator and denominator evenly. One way to find the GCF of 50 and 100 is to list all the factors of each and identify the largest number that appears in both lists. Remember, each number is also a factor of itself.

Common factors are listed in bold, and we see that the greatest common factor is 50. We use the following notation to indicate the GCF of two numbers: GCF(50, 100) = 50. After determining the GCF, reduce by dividing both the numerator and the denominator as follows:

 

Example 1: Reduce to lowest terms: 105300.

Solution: Rewrite the numerator and denominator as a product of primes and then cancel.

Alternatively, we achieve the same result if we divide both the numerator and denominator by the GCF(105, 300). A quick way to find the GCF of the two numbers requires us to first write each as a product of primes. The GCF is the product of all the common prime factors.

In this case, the common prime factors are 3 and 5 and the greatest common factor of 105 and 300 is 15.

Answer: 720

 

Try this! Reduce to lowest terms: 3296.

Answer: 13

Video Solution

(click to see video)

An improper fractionA fraction where the numerator is larger than the denominator. is one where the numerator is larger than the denominator. A mixed numberA number that represents the sum of a whole number and a fraction. is a number that represents the sum of a whole number and a fraction. For example, 512 is a mixed number that represents the sum 5+12. Use long division to convert an improper fraction to a mixed number; the remainder is the numerator of the fractional part.

 

Example 2: Write 235 as a mixed number.

Solution: Notice that 5 divides into 23 four times with a remainder of 3.

We then can write

Note that the denominator of the fractional part of the mixed number remains the same as the denominator of the original fraction.

Answer: 435

 

To convert mixed numbers to improper fractions, multiply the whole number by the denominator and then add the numerator; write this result over the original denominator.

 

Example 3: Write 357 as an improper fraction.

Solution: Obtain the numerator by multiplying 7 times 3 and then add 5.

Answer: 267

 

It is important to note that converting to a mixed number is not part of the reducing process. We consider improper fractions, such as 267, to be reduced to lowest terms. In algebra it is often preferable to work with improper fractions, although in some applications, mixed numbers are more appropriate.

 

Try this! Convert 1012 to an improper fraction.

Answer: 212

Video Solution

(click to see video)

Multiplying and Dividing Fractions

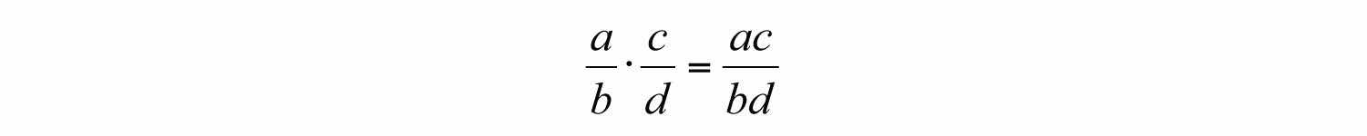
In this section, assume that a, b, c, and d are all nonzero integers. The product of two fractions is the fraction formed by the product of the numerators and the product of the denominators. In other words, to multiply fractions, multiply the numerators and multiply the denominators:

 

Example 4: Multiply: 2357.

Solution: Multiply the numerators and multiply the denominators.

Answer: 1021

 

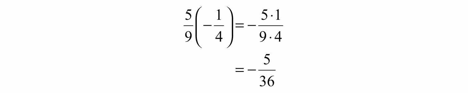
Example 5: Multiply: 59(14).

Solution: Recall that the product of a positive number and a negative number is negative.

Answer: 536

 

Example 6: Multiply: 23534.

Solution: Begin by converting 534 to an improper fraction.

In this example, we noticed that we could reduce before we multiplied the numerators and the denominators. Reducing in this way is called cross cancelingCancelling common factors in the numerator and the denominator of fractions before multiplying., and can save time when multiplying fractions.

Answer: 356

 

Two real numbers whose product is 1 are called reciprocalsThe reciprocal of a nonzero number n is 1/n.. Therefore, ab and ba are reciprocals because abba=abab=1. For example,

Because their product is 1, 23 and 32 are reciprocals. Some other reciprocals are listed below:

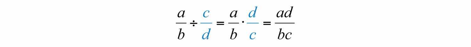
This definition is important because dividing fractions requires that you multiply the dividend by the reciprocal of the divisor.

 

Example 7: Divide: 23÷57.

Solution: Multiply 23 by the reciprocal of 57.

Answer: 1415

 

You also need to be aware of other forms of notation that indicate division: / and —. For example,

Or

The latter is an example of a complex fractionA fraction where the numerator or denominator consists of one or more fractions., which is a fraction whose numerator, denominator, or both are fractions.

Note

Students often ask why dividing is equivalent to multiplying by the reciprocal of the divisor. A mathematical explanation comes from the fact that the product of reciprocals is 1. If we apply the multiplicative identity property and multiply numerator and denominator by the reciprocal of the denominator, then we obtain the following:

Before multiplying, look for common factors to cancel; this eliminates the need to reduce the end result.

 

Example 8: Divide: 5274.

Solution:

Answer: 107

 

When dividing by an integer, it is helpful to rewrite it as a fraction over 1.

 

Example 9: Divide: 23÷6.

Solution: Rewrite 6 as 61 and multiply by its reciprocal.

Answer: 19

 

Also, note that we only cancel when working with multiplication. Rewrite any division problem as a product before canceling.

 

Try this! Divide: 5÷235.

Answer: 11213

Video Solution

(click to see video)

Adding and Subtracting Fractions

Negative fractions are indicated with the negative sign in front of the fraction bar, in the numerator, or in the denominator. All such forms are equivalent and interchangeable.

Adding or subtracting fractions requires a common denominatorA denominator that is shared by more than one fraction.. In this section, assume the common denominator c is a nonzero integer.

It is good practice to use positive common denominators by expressing negative fractions with negative numerators. In short, avoid negative denominators.

 

Example 10: Subtract: 1215315.

Solution: The two fractions have a common denominator 15. Therefore, subtract the numerators and write the result over the common denominator:

Answer: 35

 

Most problems that you are likely to encounter will have unlike denominatorsDenominators of fractions that are not the same.. In this case, first find equivalent fractions with a common denominator before adding or subtracting the numerators. One way to obtain equivalent fractions is to divide the numerator and the denominator by the same number. We now review a technique for finding equivalent fractions by multiplying the numerator and the denominator by the same number. It should be clear that 5/5 is equal to 1 and that 1 multiplied times any number is that number:

We have equivalent fractions 12=510. Use this idea to find equivalent fractions with a common denominator to add or subtract fractions. The steps are outlined in the following example.

 

Example 11: Subtract: 715310.

Solution:

Step 1: Determine a common denominator. To do this, use the least common multiple (LCM)The smallest number that is evenly divisible by a set of numbers. of the given denominators. The LCM of 15 and 10 is indicated by LCM(15, 10). Try to think of the smallest number that both denominators divide into evenly. List the multiples of each number:

Common multiples are listed in bold, and the least common multiple is 30.

Step 2: Multiply the numerator and the denominator of each fraction by values that result in equivalent fractions with the determined common denominator.

Step 3: Add or subtract the numerators, write the result over the common denominator and then reduce if possible.

Answer: 16

 

The least common multiple of the denominators is called the least common denominator (LCD)The least common multiple of a set of denominators.. Finding the LCD is often the difficult step. It is worth finding because if any common multiple other than the least is used, then there will be more steps involved when reducing.

 

Example 12: Add: 510+118.

Solution: First, determine that the LCM(10, 18) is 90 and then find equivalent fractions with 90 as the denominator.

Answer: 59

 

Try this! Add: 230+521.

Answer: 32105

Video Solution

(click to see video)

 

Example 13: Simplify: 213+3512.

Solution: Begin by converting 213 to an improper fraction.

Answer: 21330

 

In general, it is preferable to work with improper fractions. However, when the original problem involves mixed numbers, if appropriate, present your answers as mixed numbers. Also, mixed numbers are often preferred when working with numbers on a number line and with real-world applications.

 

Try this! Subtract: 57217.

Answer: 137

Video Solution

(click to see video)

 

Example 14: How many 12 inch thick paperback books can be stacked to fit on a shelf that is 112 feet in height?

Solution: First, determine the height of the shelf in inches. To do this, use the fact that there are 12 inches in 1 foot and multiply as follows:

Next, determine how many notebooks will fit by dividing the height of the shelf by the thickness of each book.

Answer: 36 books can be stacked on the shelf.

Key Takeaways

  • Fractions are not unique; there are many ways to express the same ratio. Find equivalent fractions by multiplying or dividing the numerator and the denominator by the same real number.
  • Equivalent fractions in lowest terms are generally preferred. It is a good practice to always reduce.
  • In algebra, improper fractions are generally preferred. However, in real-life applications, mixed number equivalents are often preferred. We may present answers as improper fractions unless the original question contains mixed numbers, or it is an answer to a real-world or geometric application.
  • Multiplying fractions does not require a common denominator; multiply the numerators and multiply the denominators to obtain the product. It is a best practice to cancel any common factors in the numerator and the denominator before multiplying.
  • Reciprocals are rational numbers whose product is equal to 1. Given a fraction ab, its reciprocal is ba.
  • Divide fractions by multiplying the dividend by the reciprocal of the divisor. In other words, multiply the numerator by the reciprocal of the denominator.
  • Rewrite any division problem as a product before canceling.
  • Adding or subtracting fractions requires a common denominator. When the denominators of any number of fractions are the same, simply add or subtract the numerators and write the result over the common denominator.
  • Before adding or subtracting fractions, ensure that the denominators are the same by finding equivalent fractions with a common denominator. Multiply the numerator and the denominator of each fraction by the appropriate value to find the equivalent fractions.
  • Typically, it is best to convert all mixed numbers to improper fractions before beginning the process of adding, subtracting, multiplying, or dividing.

Topic Exercises

Part A: Working with Fractions

Reduce each fraction to lowest terms.

1. 530

2. 624

3. 3070

4. 1827

5. 4484

6. 5490

7. 13530

8. 105300

9. 186

10. 25616

11. 12645

12. 52234

13. 54162

14. 20003000

15. 270360

Rewrite as an improper fraction.

16. 434

17. 212

18. 5715

19. 112

20. 358

21. 134

22. 212

23. 134

Rewrite as a mixed number.

24. 152

25. 92

26. 4013

27. 10325

28. 7310

29. 527

30. 596

Part B: Multiplying and Dividing

Multiply and reduce to lowest terms.

31. 2357

32. 1548

33. 1213

34. 34209

35. 574910

36. 23912

37. 6142112

38. 44151511

39. 334213

40. 2710556

41. 311(52)

42. 45(95)

43. (95)(310)

44. 67(143)

45. (912)(48)

46. 38(415)

47. 171213

48. 351521727

49. 2531845

50. 249252511

Determine the reciprocal of the following numbers.

51. 12

52. 85

53. 23

54. 43

55. 10

56. 4

57. 213

58. 158

Divide and reduce to lowest terms.

59. 12÷23

60. 59÷13

61. 58÷(45)

62. (25)÷153

63. 6767

64. 1214

65. 103520

66. 2392

67. 305053

68. 122

69. 525

70. 654

71. 212÷53

72. 423÷312

73. 5÷235

74. 435÷23

Part C: Adding and Subtracting Fractions

Add or subtract and reduce to lowest terms.

75. 1720520

76. 49139

77. 35+15

78. 1115+915

79. 57217

80. 518118

81. 12+13

82. 1514

83. 3452

84. 38+716

85. 715310

86. 310+214

87. 230+521

88. 318124

89. 512+213

90. 134+2110

91. 12+13+16

92. 23+3529

93. 7332+215

94. 9432+38

95. 113+2251115

96. 23412+316

97. 1616+318

98. 3121115

Part D: Mixed Exercises

Perform the operations. Reduce answers to lowest terms.

99. 31473÷18

100. 12(45)÷1415

101. 12÷3415

102. 59÷5352

103. 512921+39

104. 310512+120

105. 45÷412

106. 53÷1523

107. What is the product of 316 and 49?

108. What is the product of 245 and 258?

109. What is the quotient of 59 and 253?

110. What is the quotient of 165 and 32?

111. Subtract 16 from the sum of 92 and 23.

112. Subtract 14 from the sum of 34 and 65.

113. What is the total width when 3 boards, each with a width of 258 inches, are glued together?

114. The precipitation in inches for a particular 3-day weekend was published as 310 inches on Friday, 112 inches on Saturday, and 34 inches on Sunday. Calculate the total precipitation over this period.

115. A board that is 514 feet long is to be cut into 7 pieces of equal length. What is length of each piece?

116. How many 34 inch thick notebooks can be stacked into a box that is 2 feet high?

117. In a mathematics class of 44 students, one-quarter of the students signed up for a special Saturday study session. How many students signed up?

118. Determine the length of fencing needed to enclose a rectangular pen with dimensions 3512 feet by 2023 feet.

119. Each lap around the track measures 14 mile. How many laps are required to complete a 212 mile run?

120. A retiree earned a pension that consists of three-fourths of his regular monthly salary. If his regular monthly salary was $5,200, then what monthly payment can the retiree expect from the pension plan?

Part E: Discussion Board Topics

121. Does 0 have a reciprocal? Explain.

122. Explain the difference between the LCM and the GCF. Give an example.

123. Explain the difference between the LCM and LCD.

124. Why is it necessary to find an LCD in order to add or subtract fractions?

125. Explain how to determine which fraction is larger, 716 or 12.

Answers

1: 1/6

3: 3/7

5: 11/21

7: 9/2

9: 3

11: 14/5

13: 1/3

15: 3/4

17: 5/2

19: 3/2

21: 7/4

23: −7/4

25: 412

27: 4325

29: 737

31: 10/21

33: 1/6

35: 7/2

37: 3/4

39: 834

41: −15/22

43: 27/50

45: 3/8

47: 1/42

49: 1

51: 2

53: −3/2

55: 1/10

57: 3/7

59: 3/4

61: −25/32

63: 1

65: 40/3

67: 9/25

69: 25/2

71: 112

73: 11213

75: 3/5

77: 4/5

79: 137

81: 5/6

83: −7/4

85: 1/6

87: 32/105

89: 756

91: 1

93: 29/30

95: 223

97: 19/24

99: 4

101: 2/15

103: 9/28

105: 1/10

107: 1/12

109: 1/15

111: 5

113: 778 inches

115: 34 feet

117: 11 students

119: 10 laps