Microbiology
Textbooks
Boundless Microbiology
Microbial Metabolism
Alternatives to Glycolysis
Microbiology Textbooks Boundless Microbiology Microbial Metabolism Alternatives to Glycolysis
Microbiology Textbooks Boundless Microbiology Microbial Metabolism
Microbiology Textbooks Boundless Microbiology
Microbiology Textbooks
Microbiology
Concept Version 6
Created by Boundless

The Pentose Phosphate Shunt

The pentose phosphate pathway (PPP) converts glucose-6-phosphate into NADPH and pentoses (5-carbon sugars).

Learning Objective

  • Outline the two major phases of the pentose phosphate shunt: oxidative and non-oxidative phases


Key Points

    • There are two distinct phases in the pathway: the oxidative phase and the non-oxidative phase.
    • In the oxidative phase, two molecules of NADP+ are reduced to NADPH, utilizing the energy from the conversion of glucose-6-phosphate into ribulose-5-phosphate. These NADPH molecules can then be used as an energy source in elsewhere in the cell.
    • The non-oxidative phase generates 5-carbon sugars, which can be used in the synthesis of nucleotides, nucleic acids, and amino acids.
    • The pentose phosphate pathway is an alternative to glycolysis.

Terms

  • oxidative stress

    Damage caused to cells or tissue by reactive oxygen species.

  • NADPH

    Nicotinamide adenine dinucleotide phosphate (NADP) carrying electrons and bonded with a hydrogen (H) ion; the reduced form of NADP+.

  • glycolysis

    The cellular degradation of the simple sugar glucose to yield pyruvic acid and ATP as an energy source.


Example

    • Synthesis of fatty acids consumes NADPH produced by the PPP.

Full Text

The pentose phosphate pathway (PPP; also called the phosphogluconate pathway and the hexose monophosphate shunt) is a process that breaks down glucose-6-phosphate into NADPH and pentoses (5-carbon sugars) for use in downstream biological processes.

There are two distinct phases in the pathway: the oxidative phase and the non-oxidative phase . The first is the oxidative phase in which glucose-6-phosphate is converted to ribulose-5-phosphate. During this process two molecules of NADP+ are reduced to NADPH. The overall reaction for this process is:

Figure 1 The Pentose Phosphate Pathway

The pentose phosphate pathway generates reducing equivalents in the form of NADPH. It is used in reductive biosynthesis reactions within cells (e.g. fatty acid synthesis). It produces ribulose-5-phosphate, used in the synthesis of nucleotides. It also produces nucleic acids and erythrose-4-phosphate, used in the synthesis of aromatic amino acids.

Glucose 6-phosphate + 2 NADP+ + H2O → ribulose-5-phosphate + 2 NADPH + 2 H+ + CO2

The second phase of this pathway is the non-oxidative synthesis of 5-carbon sugars. Depending on the body's state, ribulose-5-phosphate can reversibly isomerize to ribose-5-phosphate. Ribulose-5-phosphate can alternatively undergo a series of isomerizations as well as transaldolations and transketolations that result in the production of other pentose phosphates including fructose-6-phosphate, erythrose-4-phosphate, and glyceraldehyde-3-phosphate (both intermediates in glycolysis). These compounds are used in a variety of different biological processes including production of nucleotides and nucleic acids (ribose-5-phosphate), as well as synthesis of aromatic amino acids (erythrose-4-phosphate).

Glucose-6-phosphate dehydrogenase is the rate-controlling enzyme in this pathway. It is allosterically stimulated by NADP+. NADPH-utilizing pathways, such as fatty acid synthesis, generate NADP+, which stimulates glucose-6-phosphate dehydrogenase to produce more NADPH. In mammals, the PPP occurs exclusively in the cytoplasm; it is found to be most active in the liver, mammary gland, and adrenal cortex. The ratio of NADPH:NADP+ is normally about 100:1 in liver cytosol, making the cytosol a highly-reducing environment.

The PPP is one of the three main ways the body creates molecules with reducing power, accounting for approximately 60% of NADPH production in humans. While the PPP does involve oxidation of glucose, its primary role is anabolic rather than catabolic, using the energy stored in NADPH to synthesize large, complex molecules from small precursors.

Additionally, NADPH can be used by cells to prevent oxidative stress. NADPH reduces glutathione via glutathione reductase, which converts reactive H2O2 into H2O by glutathione peroxidase. For example, erythrocytes generate a large amount of NADPH through the pentose phosphate pathway to use in the reduction of glutathione.

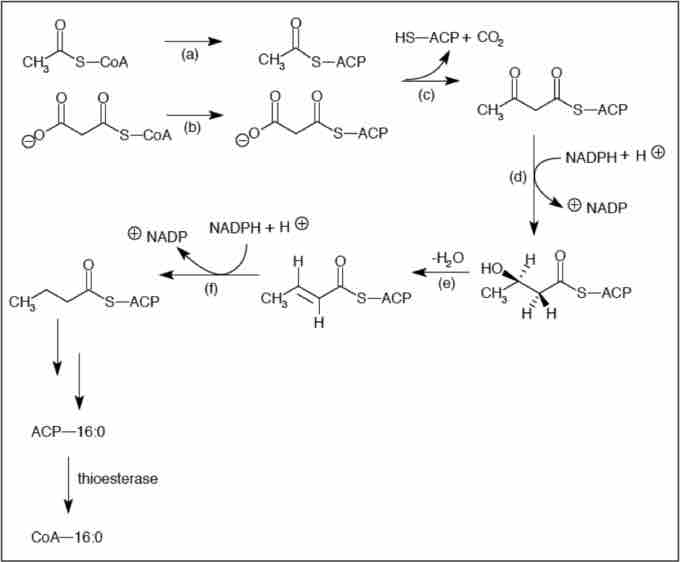
Fatty Acid Synthesis

Synthesis of Straight-Chain Saturated Fatty Acids

[ edit ]
Edit this content
Prev Concept
Aerobic Hydrocarbon Oxidation
Organic Acid Metabolism
Next Concept
Subjects
  • Accounting
  • Algebra
  • Art History
  • Biology
  • Business
  • Calculus
  • Chemistry
  • Communications
  • Economics
  • Finance
  • Management
  • Marketing
  • Microbiology
  • Physics
  • Physiology
  • Political Science
  • Psychology
  • Sociology
  • Statistics
  • U.S. History
  • World History
  • Writing

Except where noted, content and user contributions on this site are licensed under CC BY-SA 4.0 with attribution required.