Finance
Textbooks
Boundless Finance
Bond Valuation
Valuing Bonds
Finance Textbooks Boundless Finance Bond Valuation Valuing Bonds
Finance Textbooks Boundless Finance Bond Valuation
Finance Textbooks Boundless Finance
Finance Textbooks
Finance
Concept Version 6
Created by Boundless

Present Value of Payments

The value of a bond is obtained by discounting the bond's expected cash flows to the present using an appropriate discount rate.

Learning Objective

  • Calculate the present value of an annuity


Key Points

    • The bond price can be summarized as the sum of the present value of the par value repaid at maturity and the present value of coupon payments.
    • The present value of coupon payments is the present value of an annuity of coupon payments.
    • The present value of an annuity is the value of a stream of payments, discounted by the interest rate to account for the payments being made at various moments in the future.

Term

  • discount rate

    The interest rate used to discount future cash flows of a financial instrument; the annual interest rate used to decrease the amounts of future cash flow to yield their present value.


Full Text

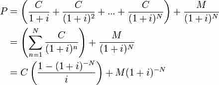
The bond price can be calculated using the present value approach. Bond valuation is the determination of the fair price of a bond. As with any security or capital investment, the theoretical fair value of a bond is the present value of the stream of cash flows it is expected to generate. Therefore, the value of a bond is obtained by discounting the bond's expected cash flows to the present using an appropriate discount rate. In practice, this discount rate is often determined by reference to similar instruments, provided that such instruments exist. The formula for calculating a bond's price uses the basic present value (PV) formula for a given discount rate .

Bond Price

Bond price is the present value of coupon payments and face value paid at maturity.

F = face value, iF = contractual interest rate, C = F * iF = coupon payment (periodic interest payment), N = number of payments, i = market interest rate, or required yield, or observed / appropriate yield to maturity, M = value at maturity, usually equals face value, and P = market price of bond.

The bond price can be summarized as the sum of the present value of the par value repaid at maturity and the present value of coupon payments. The present value of coupon payments is the present value of an annuity of coupon payments.

An annuity is a series of payments made at fixed intervals of time. The present value of an annuity is the value of a stream of payments, discounted by the interest rate to account for the payments being made at various moments in the future. The present value is calculated by:

${ PV }_{ A }={ PMT }_{ i }\cdot \left( 1-\frac { 1 }{ { (1+i) }^{ n } } \right)$

i is the number of periods and n is the per period interest rate.

[ edit ]
Edit this content
Prev Concept
Price Transparency
Par Value at Maturity
Next Concept
Subjects
  • Accounting
  • Algebra
  • Art History
  • Biology
  • Business
  • Calculus
  • Chemistry
  • Communications
  • Economics
  • Finance
  • Management
  • Marketing
  • Microbiology
  • Physics
  • Physiology
  • Political Science
  • Psychology
  • Sociology
  • Statistics
  • U.S. History
  • World History
  • Writing

Except where noted, content and user contributions on this site are licensed under CC BY-SA 4.0 with attribution required.