Chemistry
Textbooks
Boundless Chemistry
Advanced Concepts of Chemical Bonding
Valence Bond Theory
Chemistry Textbooks Boundless Chemistry Advanced Concepts of Chemical Bonding Valence Bond Theory
Chemistry Textbooks Boundless Chemistry Advanced Concepts of Chemical Bonding
Chemistry Textbooks Boundless Chemistry
Chemistry Textbooks
Chemistry
Concept Version 16
Created by Boundless

sp2 Hybridization

sp2 hybridization occurs between one s-orbital and two p-orbitals.

Learning Objective

  • Recognize the role of sp2 hybridized atoms in sigma and pi bonding.


Key Points

    • For boron to bond with three fluoride atoms in boron trifluoride (BF3), the atomic s- and p-orbitals in boron's outer shell mix to form three equivalent sp2 hybrid orbitals.
    • In an ethene molecule, a double bond between carbons forms with one sigma and one pi bond.
    • The sigma bond in the C=C for ethene forms between two sp2 hybrid orbitals of two carbon atoms, and a pi bond for between two p orbitals.

Terms

  • sp2 hybridization

    the 2s orbital mixes with only two of the three available 2p orbitals

  • hybridization

    mixing atomic orbitals into new hybrid orbitals, suitable for pairing electrons to form chemical bonds in valence bond theory


Full Text

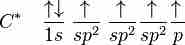
Boron trifluoride (BF3) has a boron atom with three outer-shell electrons in its normal or ground state, as well as three fluorine atoms, each with seven outer electrons. One of the three boron electrons is unpaired in the ground state. In order to explain the bonding, the 2s orbital and two of the 2p orbitals (called sp2 hybrids) hybridize; one empty p-orbital remains.

Boron configuration diagram

One of the three boron electrons is unpaired in its ground state. The atomic s- and p-orbitals in boron's outer shell mix to form three equivalent hybrid orbitals. These particular orbitals are called sp2 hybrids, meaning that this set of orbitals derives from one s- orbital and two p-orbitals of the free atom.

The Lewis structure for ethene

The carbon atoms are sp2 hybridized. Two sp2 hybrids bond with the hydrogen atoms, and the other forms a sigma bond with the other carbon atom. The p-orbitals that are unused by the carbon atoms in the hybridization overlap to form the C=C.

sp2 Hybridization in Ethene and the Formation of a Double Bond

Ethene (C2H4) has a double bond between the carbons. In this case, carbon will sp2 hybridize; in sp2 hybridization, the 2s orbital mixes with only two of the three available 2p orbitals, forming a total of three sp hybrid orbitals with one p-orbital remaining. The three hybridized orbitals explain the three sigma bonds that each carbon forms.

sp2 hybridization in ethene

In sp^2 hybridization, the 2s orbital mixes with only two of the three available 2p orbitals, forming a total of three sp^2 orbitals with one p-orbital remaining.

The two carbon atoms form a sigma bond in the molecule by overlapping two sp2 orbitals. Each carbon atom forms two covalent bonds with hydrogen by s–sp2 overlap, all with 120° angles. The pi bond between the carbon atoms perpendicular to the molecular plane is formed by 2p–2p overlap.

Formation of sp2 hybrid orbitals

This illustration shows how an s-orbital mixes with two p orbitals to form a set of three sp2 hybrid orbitals. Notice again how the three atomic orbitals yield the same number of hybrid orbitals.

[ edit ]
Edit this content
Prev Concept
sp3 Hybridization
sp Hybridization
Next Concept
Subjects
  • Accounting
  • Algebra
  • Art History
  • Biology
  • Business
  • Calculus
  • Chemistry
  • Communications
  • Economics
  • Finance
  • Management
  • Marketing
  • Microbiology
  • Physics
  • Physiology
  • Political Science
  • Psychology
  • Sociology
  • Statistics
  • U.S. History
  • World History
  • Writing

Except where noted, content and user contributions on this site are licensed under CC BY-SA 4.0 with attribution required.