Accounting
Textbooks
Boundless Accounting
The Time Value of Money
Yield
Accounting Textbooks Boundless Accounting The Time Value of Money Yield
Accounting Textbooks Boundless Accounting The Time Value of Money
Accounting Textbooks Boundless Accounting
Accounting Textbooks
Accounting
Concept Version 10
Created by Boundless

Calculating the Yield of a Single-Period Investment

The yield of a single period investment is simply $\frac { \left( FV\quad -\quad PV \right) }{ PV } \ast 100%.$ .

Learning Objective

  • Differentiate between the different methods of calculating yield of a single period investment


Key Points

    • There are a number of ways to calculate yield, but the most common ones are to calculate the percent change from the initial investment, APR, and APY (or EAR).
    • APR (annual percentage rate) is a commonly used calculation that figures out the nominal amount of interest accrued per year. It does not account for compounding interest.
    • APY (annual percentage yield) is a way of using the nominal interest rate to calculate the effective interest rate per year. It accounts for compounding interest.
    • EAR (effective annual rate) is a special type of APY that uses APR as the nominal interest rate.

Terms

  • effective-interest method

    amortizing a debt according to the effective interest rate paid

  • Nominal Interest

    The amount of interest accrued per year without accounting for compounding.

  • Effective Interest

    The amount of interest accrued per year after accounting for compounding.


Full Text

Determining Yield

The yield on an investment is the amount of money that is returned to the owner at the end of the term. In short, it's how much you get back on your investment.

Naturally, this is a number that people care a lot about. The whole point of making an investment is to get a yield. There are a number of different ways to calculate an investment's yield, though. You may get slightly different numbers using different methods, so it's important to make sure that you use the same method when you are comparing yields. This section will address the yield calculation methods you are most likely to encounter, though there are many more.

Change-In-Value

The most basic type of yield calculation is the change-in-value calculation. This is simply the change in value (FV minus PV) divided by the PV times 100%. This calculation measures how different the FV is from the PV as a percentage of PV.

Percent Change

The percent change in value is the change in value from PV to FV (V2 to V1) divided by PV (V1) times 100%.

Annual Percentage Rate

Another common way of calculating yield is to determine the Annual Percentage Rate, or APR. You may have heard of APR from ads for car loans or credit cards. These generally have monthly loans or fees, but if you want to get an idea of how much you will accrue in interest per year, you need to calculate an APR. Nominal APR is simply the interest rate multiplied by the number of payment periods per year. However, since interest compounds, nominal APR is not a very accurate measure of the amount of interest you actually accrue.

Effective Annual Rate

To find the effective APR, the actual amount of interest you would accrue per year, we use the Effective Annual Rate, or EAR.

EAR

The Effective Annual Rate is the amount of interest actually accrued per year based on the APR. n is the number of compounding periods of APR per year.

For example, you may see an ad that says you can get a car loan at an APR of 10% compounded monthly. That means that APR=.10 and n=12 (the APR compounds 12 times per year). That means the EAR is 10.47%.

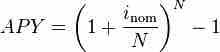
The EAR is a form of the Annual Percentage Yield (APY). APY may also be calculated using interest rates other than APR, so a more general formula is in . The logic behind calculating APY is the same as that used when calculating EAR: we want to know how much you actually accrue in interest per year. Interest usually compounds, so there is a difference between the nominal interest rate (e.g. monthly interest times 12) and the effective interest rate.

Annual Percentage Yield

The Annual Percentage Yield is a way or normalizing the nominal interest rate. Basically, it is a way to account for the time factor in order to get a more accurate number for the actual interest rate.inom is the nominal interest rate.N is the number of compounding periods per year.

[ edit ]
Edit this content
Prev Concept
Calculating Perpetuities
Calculating the Yield of an Annuity
Next Concept
Subjects
  • Accounting
  • Algebra
  • Art History
  • Biology
  • Business
  • Calculus
  • Chemistry
  • Communications
  • Economics
  • Finance
  • Management
  • Marketing
  • Microbiology
  • Physics
  • Physiology
  • Political Science
  • Psychology
  • Sociology
  • Statistics
  • U.S. History
  • World History
  • Writing

Except where noted, content and user contributions on this site are licensed under CC BY-SA 4.0 with attribution required.