Chemistry
Textbooks
Boundless Chemistry
Polymers
Synthetic Organic Polymers
Chemistry Textbooks Boundless Chemistry Polymers Synthetic Organic Polymers
Chemistry Textbooks Boundless Chemistry Polymers
Chemistry Textbooks Boundless Chemistry
Chemistry Textbooks
Chemistry
Concept Version 12
Created by Boundless

Condensation Reactions

Condensation is a chemical reaction in which one molecule is formed and one small molecule (often water) is lost.

Learning Objective

  • Recognize the chemical principles of condensation reactions as they relate to polymerization.


Key Points

    • During condensation reaction, two molecules combine to form a single molecule with the loss of a small molecule; in dehydration reaction, this lost molecule is water.
    • Intermolecular condensation occurs between two separate molecules, while intramolecular condensation is the union between atoms or groups of the same molecule, often leading to ring formation.
    • Condensation reactions are used in condensation polymerization, when a series of condensation steps form long chains; this reaction may be either a homopolymerization of a single monomer or a copolymerization of two co-monomers; many biological transformations are condensation reactions.

Terms

  • condensation polymerization

    a polymerization mechanism in which monomers react to form dimers first, then trimers, longer oligomers, and eventually long chain polymers

  • condensation reaction

    any reaction in which two molecules react with the resulting loss of a water molecule (or other small molecule); the formal reverse of hydrolysis

  • dehydration reaction

    an elimination (condensation) reaction in which the small molecule that is removed is water


Full Text

In a condensation reaction, two molecules or parts thereof combine, releasing a small molecule. When this small molecule is water, it is known as a dehydration reaction. Other possible lost molecules include hydrogen chloride, methanol, and acetic acid.

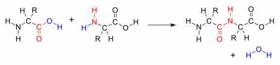
When two separate molecules react, their condensation is termed intermolecular. A simple example is the condensation of two amino acids to form a peptide. This reaction example is the reverse of hydrolysis, which splits a chemical entity into two parts through action from the polar water molecule, which itself splits into hydroxide and hydrogen ions.

Peptide bond formed during condensation reaction

The condensation (dehydration) of two amino acids to form a peptide bond (red) with expulsion of water (blue).

When a condensation is performed between different parts of the same molecule, the reaction is termed intramolecular condensation; in many cases, this leads to ring formation. An example is the Dieckmann condensation, in which the two ester groups of a single diester molecule react with each other to lose a small alcohol molecule and form a β-ketoester product.

Many condensation reactions follow a nucleophilic acyl substitution or an aldol condensation reaction mechanism (see previous concept for more information). Other condensations, such as the acyloin condensation, are triggered by radical conditions.

Condensation Polymerization Reactions

In one type of polymerization reaction, a series of condensation steps takes place whereby monomers or monomer chains add to each other to form longer chains. This is termed "condensation polymerization," or "step-growth polymerization," and occurs in such processes as the synthesis of polyesters or nylons. Nylon is a silky material used to make clothes made of repeating units linked by amide bonds, and is frequently referred to as polyamide. This reaction may be either a homopolymerization of a single monomer A-B with two different end groups that condense, or a copolymerization of two co-monomers A-A and B-B. Small molecules are usually liberated in these condensation steps, unlike polyaddition reactions.

Condensation of diacid and diamine

The condensation of a diacid and diamine is an example of A-B polymerization.

Condensation polymers often require heat, form slower than do addition polymers, and are lower in molecular weight. This type of reaction is used as a basis for making many important polymers, such as nylon, polyester, and various epoxies. It is also the basis for the laboratory formation of silicates and polyphosphates. Many biological transformations, such as polypeptide synthesis, polyketide synthesis, terpene syntheses, phosphorylation, and glycosylations are condensations.

Nylon molecular structure

Nylon is a synthetic polymer produced by condensation polymerization.

[ edit ]
Edit this content
Prev Concept
Addition Reactions
Earth's Atmosphere
Next Concept
Subjects
  • Accounting
  • Algebra
  • Art History
  • Biology
  • Business
  • Calculus
  • Chemistry
  • Communications
  • Economics
  • Finance
  • Management
  • Marketing
  • Microbiology
  • Physics
  • Physiology
  • Political Science
  • Psychology
  • Sociology
  • Statistics
  • U.S. History
  • World History
  • Writing

Except where noted, content and user contributions on this site are licensed under CC BY-SA 4.0 with attribution required.