Von Richter reaction
The von Richter reaction, also named von Richter rearrangement, is a name reaction in the organic chemistry. It is named after Victor von Richter, who discovered this reaction in year 1871. It is the reaction of aromatic nitro compounds with potassium cyanide in aqueous ethanol to give the product of cine substitution (ring substitution resulting in the entering group positioned adjacent to the previous location of the leaving group) by a carboxyl group.[1][2][3] Although it is not generally synthetically useful due to the low chemical yield and formation of numerous side products, its mechanism was of considerable interest, eluding chemists for almost 100 years before the currently accepted one was proposed.
General reaction scheme
The reaction below shows the classic example of the conversion of p-bromonitrobenzene into m-bromobenzoic acid.[4]

The reaction is a type of nucleophilic aromatic substitution.[4] Besides the bromo derivative, chlorine- and iodine-substituted nitroarenes, as well as more highly substituted derivatives, could also be used as substrates of this reaction. However, yields are generally poor to moderate, with reported percentage yields ranging from 1% to 50%.[5][6]
Reaction mechanism
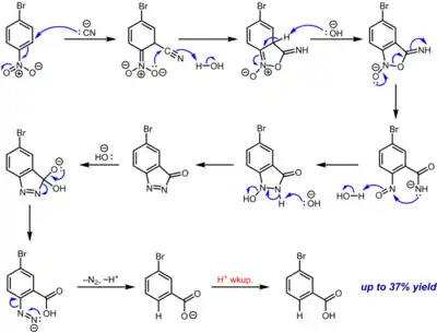
Several reasonable mechanisms were proposed and refuted by mechanistic data before the currently accepted one, shown below, was proposed in 1960 by Rosenblum on the basis of 15N labeling experiments.[7][8]

First, the cyanide attacks the carbon ortho to the nitro group. This is followed by ring closing via nucleophilic attack on the cyano group, after which the imidate intermediate is rearomatized. Ring opening via nitrogen–oxygen bond cleavage gives an ortho-nitroso benzamide, which recyclizes to give a compound containing a nitrogen–nitrogen bond. Elimination of water gives a cyclic azoketone, which undergoes nucleophilic attack by hydroxide to give a tetrahedral intermediate. This intermediate collapses with elimination of the azo group to yield an aryldiazene with an ortho carboxylate group, which extrudes nitrogen gas to afford the anionic form of the observed benzoic acid product, presumably through the generation and immediate protonation of an aryl anion intermediate. The product is isolated upon acidic workup.
Subsequent mechanistic studies have shown that the subjection of independently prepared ortho-nitroso benzamide and azoketone intermediates to von Richter reaction conditions afforded the expected product, lending further support to this proposal.[9]
References
- V. von Richter (1871). "Untersuchungen über die Constitution der Benzolderivate (p )". Ber. Dtsch. Chem. Ges. 4 (1): 459–468. doi:10.1002/cber.187100401154.
- V. von Richter (1871). "Untersuchungen über die Constitution der Benzolderivate". Ber. Dtsch. Chem. Ges. 4 (2): 553–555. doi:10.1002/cber.18710040208.
- J. F. Bunnett (1958). "Mechanism and reactivity in aromatic nucleophilic substitution reactions". Quarterly Reviews, Chemical Society. 12 (1): 1–16. doi:10.1039/QR9581200001.
- M. Smith, M.B. Smith, J. March: March's advanced organic chemistry: reactions, mechanisms, and structure, 6th edition, Wiley 2007, ISBN 978-0-471-72091-1.
- Zerong Wang (2009), Comprehensive Organic Name Reactions and Reagents (in German), New Jersey: John Wiley & Sons, pp. 2911–2914, ISBN 978-0-471-70450-8
- Mundy, Bradford P. (2005). Name reactions and reagents in organic synthesis. Ellerd, Michael G., Favaloro, Frank G. (2nd ed.). Hoboken, N.J.: Wiley. ISBN 9781601196347. OCLC 299593042.
- Carpenter-, Barry Keith (1984). Determination of organic reaction mechanisms. New York: Wiley. ISBN 0471893692. OCLC 9894996.
- Rosenblum, Myron (1960-07-01). "The Mechanism of the von Richter Reaction". Journal of the American Chemical Society. 82 (14): 3796–3798. doi:10.1021/ja01499a090. ISSN 0002-7863.
- A., Abramovitch, R. (1982). Reactive Intermediates : Volume 2. Boston, MA: Springer US. ISBN 9781461331926. OCLC 852789748.