Skattebøl rearrangement

The Skattebøl rearrangement is an organic reaction for converting a geminal dihalo cyclopropane to an allene using an organolithium base.[1][2] This rearrangement reaction is named after its discoverer, Lars Skattebøl, Professor emeritus at the University of Oslo. It proceeds through a carbene reaction intermediate:

Skattebøl rearrangement
Skattebøl rearrangement

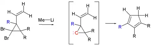
When the cyclopropane ring is fitted with a 2-vinyl group, a cyclopentadiene is formed through a so-called foiled carbene intermediate.[3][4] This process is more generally known as a vinylcyclopropane rearrangement.

Skattebøl rearrangement
Skattebøl rearrangement

The reaction is closely related to the earlier Doering-LaFlamme procedure (Doering-LaFlamme allene synthesis), in which a gem-dibromocyclopropane is treated with an alkali metal to form the same cyclopropylidene intermediate.

References

  1. The Formation of Allenes from gem-Dihalocyclopropanes by Reaction with Alkyllithium Reagents. William R. Moore, Harold R. Ward J. Org. Chem.; 1962; 27(12); 4179-4181 doi:10.1021/jo01059a013.
  2. Chemistry of gem-Dihalocyclopropanes. V.1 Formation of Tricyclo[4.1.0.04,6]heptane and Derivatives Lars Skattebøl J. Org. Chem.; 1966; 31(9); 2789-2794 doi:10.1021/jo01347a014.
  3. Chemistry of gem-dihalocyclopropanes—VI A novel synthesis of cyclopentadienes and fulvenes L. Skattebøl Tetrahedron Volume 23, Issue 3 , 1967, Pages 1107-1117 doi:10.1016/0040-4020(67)85060-9.
  4. Leo A. Paquette and Mark L. McLaughlin Organic Syntheses, CV 8, 223 Link.
This article is issued from Wikipedia. The text is licensed under Creative Commons - Attribution - Sharealike. Additional terms may apply for the media files.