Lexitropsin
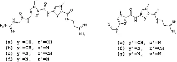
Lexitropsins are members of a family of semi-synthetic DNA-binding ligands.[1] They are structural analogs of the natural antibiotics netropsin and distamycin. Antibiotics of this group can bind in the minor groove of DNA with different sequence-selectivity.[2][3] Lexitropsins form a complexes with DNA with stoichiometry 1:1 and 2:1. Based on the 2:1 complexes were obtained ligands with high sequence-selectivity.[4]

See also
References
- Sondhi S.M.; Praveen Reddy B.S.; Lown J.W. (1997). "Lexitropsin conjugates: Action on DNA targets". Current Medicinal Chemistry. 4 (5): 313–358. doi:10.2174/0929867304666220313122616. S2CID 247445486.
- Goodsell, D.S.; Ng, H.L.; Kopka, M.L.; Lown, J.W.; Dickerson, R.E. (1995). "Structure of a dicationic monoimidazole lexitropsin bound to DNA". Biochemistry. 34 (51): 16654–61. doi:10.1021/bi00051a013. PMID 8527438.
- Goodsell, D.S. (2001). "Sequence recognition of DNA by lexitropsins". Curr Med Chem. 8 (5): 509–16. doi:10.2174/0929867003373319. PMID 11281838.
- Kopka, M.L.; Goodsell, D.S.; Han, G. Won; Chiu, Th.K.; Lown, J.W.; Dickerson, R.E. (1997). "Defining GC-specificity in the minor groove: side-by-side binding of the di-imidazole lexitropsin to C-A-T-G-G-C-C-A-T-G". Structure. 5 (8): 1033–1046. doi:10.1016/s0969-2126(97)00255-4. PMID 9309219.
This article is issued from Wikipedia. The text is licensed under Creative Commons - Attribution - Sharealike. Additional terms may apply for the media files.