Lactucopicrin
Lactucopicrin (Intybin) is a bitter substance that has a sedative and analgesic effect,[1] acting on the central nervous system. It is a sesquiterpene lactone, and is a component of lactucarium, derived from the plant Lactuca virosa (wild lettuce), as well as being found in some related plants such as Cichorium intybus.[2] It is also found in dandelion coffee.
![]() | |
| Names | |
|---|---|
| Preferred IUPAC name
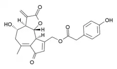
[(3aR,4S,9aS,9bR)-4-Hydroxy-6-methyl-3-methylidene-2,7-dioxo-2,3,3a,4,5,7,9a,9b-octahydroazuleno[4,5-b]furan-9-yl]methyl (4-hydroxyphenyl)acetate | |
| Other names
Intybin | |
| Identifiers | |
| |
3D model (JSmol) |
|
| ChemSpider |
|
| MeSH | Intybin |
PubChem CID |
|
| UNII | |
CompTox Dashboard (EPA) |
|
| |
| |
| Properties | |
| C23H22O7 | |
| Molar mass | 410.422 g·mol−1 |
| Pharmacology | |
| Oral, Smoked | |
Except where otherwise noted, data are given for materials in their standard state (at 25 °C [77 °F], 100 kPa).
Infobox references | |
As well as their traditional use as sedatives and analgesics, these plants have also been used as antimalarials, and both lactucin and lactucopicrin have demonstrated antimalarial effects in vitro.[3] Lactucopicrin has also been shown to act as an acetylcholinesterase inhibitor.[4]
See also
References
- Wesołowska, A; Nikiforuk, A; Michalska, K; Kisiel, W; Chojnacka-Wójcik, E (Sep 2006). "Analgesic and sedative activities of lactucin and some lactucin-like guaianolides in mice". Journal of Ethnopharmacology. 107 (2): 254–8. doi:10.1016/j.jep.2006.03.003. PMID 16621374.
- Sessa, RA; Bennett, MH; Lewis, MJ; Mansfield, JW; Beale, MH (Sep 2000). "Metabolite profiling of sesquiterpene lactones from Lactuca species. Major latex components are novel oxalate and sulfate conjugates of lactucin and its derivatives". Journal of Biological Chemistry. 275 (35): 26877–84. doi:10.1074/jbc.M000244200. PMID 10858433.
- Bischoff, TA; Kelley, CJ; Karchesy, Y; Laurantos, M; Nguyen-Dinh, P; Arefi, AG (2004). "Antimalarial activity of lactucin and lactucopicrin: sesquiterpene lactones isolated from Cichorium intybus L.". Journal of Ethnopharmacology. 95 (2–3): 455–7. doi:10.1016/j.jep.2004.06.031. PMID 15507374.
- Rollinger, JM; Mocka, P; Zidorn, C; Ellmerer, EP; Langer, T; Stuppner, H (2005). "Application of the in combo screening approach for the discovery of non-alkaloid acetylcholinesterase inhibitors from Cichorium intybus". Current Drug Discovery Technologies. 2 (3): 185–93. doi:10.2174/1570163054866855. PMID 16472227.
This article is issued from Wikipedia. The text is licensed under Creative Commons - Attribution - Sharealike. Additional terms may apply for the media files.
