Formamide-based prebiotic chemistry
Formamide-based prebiotic chemistry is a reconstruction of the beginnings of life on Earth, assuming that formamide could accumulate in sufficiently high amounts to serve as the building block and reaction medium for the synthesis of the first biogenic molecules.[1]
Formamide (NH2CHO), the simplest naturally occurring amide, contains all the elements (hydrogen, carbon, oxygen, and nitrogen), which are required for the synthesis of biomolecules, and is a ubiquitous molecule in the universe.[2] Formamide has been detected in galactic centers,[3][4] star-forming regions of dense molecular clouds,[5] high-mass young stellar objects,[6] the interstellar medium,[7] comets,[8][9][10] and satellites.[11] In particular, dense clouds containing formamide, with sizes on the order of kiloparsecs, have been observed in the vicinity of the Solar System.[5]
Formamide forms under a variety of conditions, corresponding to both terrestrial environments and interstellar media: e.g., on high-energy particle irradiation of binary mixtures of ammonia (NH3) and carbon monoxide (CO),[12] or from the reaction between formic acid (HCOOH) with NH3.[13] It has been suggested that in hydrothermal pores formamide may accumulate in sufficiently high concentrations to enable synthesis of biogenic molecules.[14] Ab initio molecular dynamics simulations suggest that formamide could be a key intermediate of the Miller-Urey experiment as well.[15]
The combinatorial power of carbon is manifested in the composition of the molecular populations detected in circum- and interstellar media (see the Astrochemistry.net[16] web site). The number and the complexity of carbon-containing molecules are significantly higher than those of inorganic compounds, presumably all over the universe. One of the most abundant C-containing three-atoms molecule observed in space is hydrogen cyanide (HCN).[17] The chemistry of HCN has thus attracted attention in origin of life studies since the earliest times, and the laboratory synthesis of adenine from HCN under presumptive prebiotic conditions was reported as early as 1961.[18] The intrinsic limit of HCN stems from its high reactivity, which leads in turn, to instability and the difficulty associated with its concentration and accumulation in unreacted form.[19] The “Warm Little Pond” in which life is supposed to have started, as imagined by Charles Darwin[20][21] and re-elaborated by Alexander Oparin,[22] had most likely to reach sufficiently high concentrations to start creating the next levels of complexity. Hence the necessity of a derivative of HCN that is sufficiently stable to survive for time periods extended enough to allow its concentration in the actual physico-chemical settings, but that is sufficiently reactive to originate new compounds in prebiotically plausible environments.[19] Ideally, this derivative should be able to undergo reactions in various directions, without prohibitively high energy barriers, thus allowing the production of different classes of potentially prebiotic compounds. Formamide fulfils all these requirements and, due to its significantly higher boiling point (210 °C), enables chemical synthesis in a much broader temperature range than water.[1][23]
Prebiotic chemistry
Current living forms on Earth are essentially composed of four types of molecular entities: (i) nucleic acids, (ii) proteins, (iii) carbohydrates, and (iv) lipids. Nucleic acids (DNA and RNA) embody and express the genetic information and, together, constitute the genome and the apparatus for its expression (the genotype). Proteins, carbohydrates, and lipids form the structures, which harness and handle energy from the environment for organizing matter according to the instructions specified by the genotype, aiming to its conservation and transmission. The ensemble of proteins, carbohydrates, lipids and nucleic acids constitute the phenotype. Life is thus made of the interaction of metabolism and genetics, of the genotype with the phenotype. Both are built around the chemistry of the most common elements of the universe (hydrogen, oxygen, nitrogen, and carbon), important although ancillary roles being played by phosphorus and sulphur, and by other elements.
Given the overwhelming variety of the chemically conceivable molecules, the fact that in biological systems we observe only a small subset of organic molecules has raised questions how and which different reaction pathways could have plausibly lead to the synthesis of pre-biological molecules on the primordial Earth. These are the main objectives of prebiotic chemistry research.
Precursor of biogenic molecules
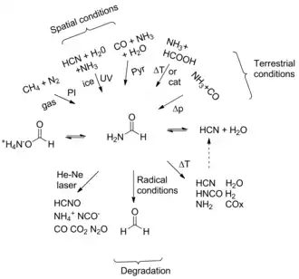
Figure 1 summarizes the basic chemistry of formamide and its chemical connection with HCN and ammonium formate (NH4+HCOO−), considering selected examples of preparative and degradative reactions.[1]
The synthesis of purine from formamide was first reported in 1980.[24] A series of studies building on this observation was started 20 years later: the synthesis of a large panel of prebiotically relevant compounds (including purine, adenine, cytosine, and 4(3H)pyrimidinone) in good yields was reported in 2001.[25] These products were obtained by heating formamide in the presence of simple catalysts such as calcium carbonate (CaCO3), silica (SiO2), or alumina (Al2O3).
In addition to nucleobases, sugars,[26] carboxylic acids,[27] amino acids,[27] as well as heterogeneous compounds of various classes,[27] (including urea and carbodiimide) were also synthesized. The catalysts studied include, in addition to those mentioned, titanium oxides,[28] clays,[29] cosmic dust analogues,[30] phosphates,[31] iron sulphide minerals,[32] zirconium minerals,[33] borate minerals,[34] or numerous materials of meteoritic origin [26][27] encompassing iron, stony-iron, chondrites, and achondrites meteorites.
Various energy sources, including thermal energy,[25] UV-radiation,[31] irradiation with high-energy (terawatt) laser pulses,[35] or slow protons[26] were tested. Mimics of different formamide-based prebiotic scenarios have been reconstructed and analyzed, including space-wise solar wind irradiation of meteorites,[26] dynamic chemical gardens,[36] and meteorites in aqueous environments.[37] It has been suggested that the stepwise decrease of the temperature of the prebiotic environment could induce a sequence of strongly non-equilibrium chemical events that led to the emergence of more and more complex species from formamide on the early Earth.[23][38]
For each studied combination of catalyst/energy source/environment, formamide condensed into a variety of different prebiotically relevant compounds, each combination giving rise to a specific set of relatively complex molecules, usually encompassing several nucleobases, amino acids, and carboxylic acids.[1] The highest level of complexity was attained for the formamide/meteorite system,[27] using proton irradiation as the energy source, where the one-pot synthesis of four nucleosides (uridine, cytidine, adenosine, thymidine) was observed.[26] So far, no other one-carbon atom compound has shown the versatility of products that can be formed from formamide under plausible prebiotic conditions in a one-pot chemistry (see Figure 2).[39]
In addition to its dual function of substrate and solvent in one-pot syntheses affording prebiotic compounds as complex as nucleosides and long aliphatic chains,[37] it has been observed that formamide plays a role in the generation of molecules which are closer to the biological domain. In the presence of a phosphate source (e.g., phosphate minerals), formamide promotes the phosphorylation of nucleosides, leading to the formation of nucleotides,[40][41] and strongly stimulates the non-enzymatic polymerization of 3’,5’ cyclic nucleotides, leading to the abiotic synthesis of RNA oligomers.[42] This is the reason why formamide is considered a plausible medium for prebiotic phosphorylation reactions also in the “discontinuous synthesis” scenario of the origin of life.[43][44]
References
- Saladino, R.; Botta, G.; Pino, S.; Costanzo, G.; Di Mauro, E. (2012). "Genetics first or metabolism first? The formamide clue". Chem. Soc. Rev. 41 (16): 5526–5565. doi:10.1039/c2cs35066a. PMID 22684046.
- Saladino, R.; Crestini, C.; Pino, S.; Costanzo, G.; Di Mauro, E. (2012). "Formamide and the origin of life". Phys. Life Rev. 9 (1): 84–104. Bibcode:2012PhLRv...9...84S. doi:10.1016/j.plrev.2011.12.002. hdl:2108/85168. PMID 22196896.
- Flygare, W.H.; Benson, R.C.; Tigelaar, H.L.; Rubin, R.H.; Swenson, G.W. (1973). Gordon, M.A. (ed.). Molecules in the galactic environment. New York: John Wiley and Sons, Inc. pp. 173–179. ISBN 0471316083.
- Gottlieb, C.A.; Palmer, P.; Rickard, L.J.; Zuckerman, B. (1973). "Studies of interstellar formamide". Astrophys. J. 182 (3): 699–710. Bibcode:1973ApJ...182..699G. doi:10.1086/152178.
- Adande, G.R.; Woolf, N.J.; Ziurys, L.M. (2013). "Observations of interstellar formamide: availability of a prebiotic precursor in the galactic habitable zone". Astrobiology. 13 (5): 439–453. Bibcode:2013AsBio..13..439A. doi:10.1089/ast.2012.0912. PMC 3657286. PMID 23654214.
- Schutte, W.A.; Boogert, A.C.A.; Tielens, A.; Whittet, D.C.B.; Gerakines, P.A.; Chiar, J.E.; Ehrenfreund, P.; Greenberg, J.M.; van Dishoeck, E.F.; de Graauw, T. (1999). "Weak ice absorption features at 7.24 and 7.41 MU M in the spectrum of the obscured young stellar object W 33A". Astron. Astrophys. 343 (3): 966–976. Bibcode:1999A&A...343..966S.
- Solomon, P.M. (1973). "Interstellar molecules". Physics Today. 26 (3): 32–40. Bibcode:1973PhT....26c..32S. doi:10.1063/1.3127983.
- Bockelee-Morvan, D.; Lis, D.C.; Wink, J.E.; Despois, D.; Crovisier, J.; Bachiller, R.; Benford, D.J.; Biver, N.; Colom, P.; Davies, J.K.; Gerard, E.; Germain, B.; Houde, M.; Mehringer, D.; Moreno, R.; Paubert, G.; Phillips, T.G.; Rauer, H. (2000). "New molecules found in comet C/1995 O1 (Hale-Bopp) - Investigating the link between cometary and interstellar material". Astron. Astrophys. 353 (3): 1101–1114. Bibcode:2000A&A...353.1101B.
- Despois, D.; Crovisier, J.; Bockele-Morvan, D.; Biver, N. (2002). Lacoste, H. (ed.). Proceedings of the Second European Workshop on Exo-Astrobiology, ESA-SP Vol. 518. Noordwijk: Esa Publications Division C/O Estec. pp. 123–127. ISBN 929092828X.
- Lis, D.C.; Mehringer, D.M.; Benford, D.; Gardner, M.; Phillips, T.G.; Bockelee-Morvan, D.; Biver, N.; Colom, P.; Crovisier, J.; Despois, D.; Rauer, H. (1997). "New molecular species in comet C/1995O1(Hale-Bopp) observed with the Caltech Submillimeter Observatory". Earth Moon Planets. 78 (1–3): 13–20. Bibcode:1997EM&P...78...13L. doi:10.1023/a:1006281802554. S2CID 51862359.
- Hudson, R.L.; Moore, M.H. (2004). "Reactions of nitriles in ices relevant to Titan, comets, and the interstellar medium: formation of cyanate ion, ketenimines, and isonitriles". Icarus. 172 (2): 466–478. Bibcode:2004Icar..172..466H. doi:10.1016/j.icarus.2004.06.011.
- Koike, T.; Kaneko, T.; Kobayashi, K.; Miyakawa, S.; Takano, Y. (2003). "Formation of organic compounds from simulated Titan atmosphere: perspectives of the Cassini mission". Biol. Sci. Space. 17 (3): 188–189. PMID 14676367.
- Kröcher, O.; Elsener, M.; Jacob, E. (2009). "A model gas study of ammonium formate, methanamide and guanidinium formate as alternative ammonia precursor compounds for the selective catalytic reduction of nitrogen oxides in diesel exhaust gas". Appl. Catal. B: Environ. 88 (1–2): 66–82. doi:10.1016/j.apcatb.2008.09.027.
- Niether, D.; Afanasenkau, D.; Dhont, J.K.G.; Wiegand, S. (2016). "Accumulation of formamide in hydrothermal pores to form prebiotic nucleobases". Proc. Natl. Acad. Sci. U.S.A. 113 (16): 4272–4277. Bibcode:2016PNAS..113.4272N. doi:10.1073/pnas.1600275113. PMC 4843465. PMID 27044100.
- Saitta, A.M.; Saija, F. (2014). "Miller experiments in atomistic computer simulations". Proc. Natl. Acad. Sci. U.S.A. 111 (38): 13768–13773. Bibcode:2014PNAS..11113768S. doi:10.1073/pnas.1402894111. PMC 4183268. PMID 25201948.
- "The UMIST Database for Astrochemistry".
- Cernicharo, J. (2011). Gargaud, M.; Amils, R.; Cernicharo Quintanilla, J.; Henderson Cleaves, J.; Irvine, W. M.; Pinti, D.; Viso, M. (eds.). Encyclopedia of Astrobiology. Berlin: Springer Verlag. p. 783-783. ISBN 978-3-642-11271-3.
- Oro, J. (1961). "Mechanism of synthesis of adenine from hydrogen cyanide under possible primitive Earth conditions". Nature. 191 (4794): 1193–1194. Bibcode:1961Natur.191.1193O. doi:10.1038/1911193a0. PMID 13731264. S2CID 4276712.
- Saladino, R.; Crestini, C.; Ciciriello, F.; Costanzo, G.; Di Mauro, E. (2007). "Formamide chemistry and the origin of informational polymers". Chemistry & Biodiversity. 4 (4): 694–720. doi:10.1002/cbdv.200790059. PMID 17443884. S2CID 21908152.
- Darwin, F. (1887). The life and letters of Charles Darwin. Vol. 3. London: John Murray. p. 18 (letter to Joseph Hooker).
- "Darwin Online".
- Oparin, A.I. (1924). The Origin of Life. Moscow: Moscow Worker Publisher.
- Šponer, J.E.; Šponer, J.; Nováková, O.; Brabec, V.; Šedo, O.; Zdráhal, Z.; Costanzo, G.; Pino, S.; Saladino, R.; Di Mauro, E. (2016). "Emergence of the last catalytic oligonucleotides in a formamide-based origin scenario". Chem. Eur. J. 22 (11): 3572–3586. doi:10.1002/chem.201503906. PMID 26807661.
- Yamada, H.; Hirobe, M.; Okamoto, T. (1980). "Formamide reaction. III. Studies on the reaction mechanism of purine ring formation and the reaction of formamide with hydrogen cyanide". Yakugaku Zasshi. 100 (5): 489–492. doi:10.1248/yakushi1947.100.5_489.
- Saladino, R.; Crestini, C.; Costanzo, G.; Negri, R.; DiMauro, E. (2001). "A possible prebiotic synthesis of purine, adenine, cytosine, and 4(3H)-pyrimidone from formamide: implications for the origin of life". Bioorg. Med. Chem. 9 (5): 1249–1253. doi:10.1016/s0968-0896(00)00340-0. PMID 11377183.
- Saladino, R.; Carota, E.; Botta, G.; Kapralov, M.; Timoshenko, G.N.; Rozanov, A.Y.; Krasavin, E.; Di Mauro, E. (2015). "Meteorite-catalyzed syntheses of nucleosides and of other prebiotic compounds from formamide under proton irradiation". Proc. Natl. Acad. Sci. U.S.A. 112 (21): E2746–E2755. Bibcode:2015PNAS..112E2746S. doi:10.1073/pnas.1422225112. PMC 4450408. PMID 25870268.
- Saladino, R.; Botta, G.; Delfino, M.; Di Mauro, E. (2013). "Meteorites as catalysts for prebiotic chemistry". Chem. Eur. J. 19 (50): 16916–16922. doi:10.1002/chem.201303690. PMID 24307356.
- Saladino, R.; Ciambecchini, U.; Crestini, C.; Costanzo, G.; Negri, R.; Di Mauro, E. (2003). "One-pot TiO2-catalyzed synthesis of nucleic bases and acyclonucleosides from formamide: implications for the origin of life". ChemBioChem. 4 (6): 514–521. doi:10.1002/cbic.200300567. PMID 12794862. S2CID 2349609.
- Saladino, R.; Crestini, C.; Ciambecchini, U.; Ciciriello, F.; Costanzo, G.; Di Mauro, E. (2004). "Synthesis and degradation of nucleobases and nucleic acids by formamide in the presence of montmorillonites". ChemBioChem. 5 (11): 1558–1566. doi:10.1002/cbic.200400119. PMID 15481029. S2CID 30058332.
- Saladino, R.; Crestini, C.; Neri, V.; Brucato, J.R.; Colangeli, L.; Ciciriello, F.; Di Mauro, E.; Costanzo, G. (2005). "Synthesis and degradation of nucleic acid components by formamide and cosmic dust analogues". ChemBioChem. 6 (8): 1368–1374. doi:10.1002/cbic.200500035. PMID 16003804. S2CID 28078427.
- Barks, H.L.; Buckley, R.; Grieves, G.A.; Di Mauro, E.; Hud, N.V.; Orlando, T.M. (2010). "Guanine, adenine, and hypoxanthine production in UV-Irradiated formamide solutions: relaxation of the requirements for prebiotic purine nucleobase formation". ChemBioChem. 11 (9): 1240–1243. doi:10.1002/cbic.201000074. PMID 20491139. S2CID 32126363.
- Saladino, R.; Neri, V.; Crestini, C.; Costanzo, G.; Graciotti, M.; Di Mauro, E. (2008). "Synthesis and degradation of nucleic acid components by formamide and iron sulfur minerals". J. Am. Chem. Soc. 130 (46): 15512–15518. doi:10.1021/ja804782e. PMID 18939836.
- Saladino, R.; Neri, V.; Crestini, C.; Costanzo, G.; Graciotti, M.; Di Mauro, E. (2010). "The role of the formamide/zirconia system in the synthesis of nucleobases and biogenic carboxylic acid derivatives" (PDF). J. Mol. Evol. 71 (2): 100–110. Bibcode:2010JMolE..71..100S. doi:10.1007/s00239-010-9366-7. hdl:2067/1821. PMID 20665014. S2CID 10623298.
- Saladino, R.; Barontini, M.; Cossetti, C.; Di Mauro, E.; Crestini, C. (2011). "The effects of borate minerals on the synthesis of nucleic acid bases, amino acids and biogenic carboxylic acids from formamide". Orig. Life Evol. Biosph. 41 (4): 317–330. Bibcode:2011OLEB...41..317S. doi:10.1007/s11084-011-9236-3. PMID 21424401. S2CID 19132162.
- Ferus, M.; Nesvorný, D.; Šponer, J.; Kubelík, P.; Michalčíková, R.; Shestivská, V.; Šponer, J.E.; Civiš, S. (2015). "High-energy chemistry of formamide: A unified mechanism of nucleobase formation". Proc. Natl. Acad. Sci. U.S.A. 112 (3): 657–662. Bibcode:2015PNAS..112..657F. doi:10.1073/pnas.1412072111. PMC 4311869. PMID 25489115.
- Saladino, R.; Botta, G.; Bizzarri, B.M.; Di Mauro, E.; Garcia Ruiz, J.M. (2016). "A global scale scenario for prebiotic chemistry: silica-based self-assembled mineral structures and formamide". Biochemistry. 55 (19): 2806–2811. doi:10.1021/acs.biochem.6b00255. PMC 4872262. PMID 27115539.
- Rotelli, L.; Trigo-Rodríguez, J.M.; Moyano-Cambero, C.E.; Carota, E.; Botta, L.; Di Mauro, E.; Saladino, R. (2016). "The key role of meteorites in the formation of relevant prebiotic molecules in a formamide/water environment". Sci. Rep. 6: 38888. Bibcode:2016NatSR...638888R. doi:10.1038/srep38888. PMC 5153646. PMID 27958316.
- Šponer, J.E.; Šponer, J.; Di Mauro, E. (2017). "New evolutionary insights into the non-enzymatic origin of RNA oligomers". Wiley Interdiscip Rev RNA. 8 (3): article No. e1400. doi:10.1002/wrna.1400. PMID 27785893. S2CID 22479877.
- "Inventory of papers related to formamide in prebiotic chemistry". DSDNA/IBP.
- Schoffstall, A.M. (1976). "Prebiotic phosphorylation of nucleosides in formamide". Orig. Life. 7 (4): 399–412. Bibcode:1976OrLi....7..399S. doi:10.1007/BF00927935. PMID 1023139. S2CID 32898005.
- Costanzo, G.; Saladino, R.; Crestini, C.; Ciciriello, F.; Di Mauro, E. (2007). "Nucleoside phosphorylation by phosphate minerals". J. Biol. Chem. 282 (23): 16729–16735. doi:10.1074/jbc.M611346200. PMID 17412692.
- Costanzo, G.; Saladino, R.; Botta, G.; Giorgi, A.; Scipioni, A.; Pino, S.; Di Mauro, E. (2012). "Generation of RNA molecules by a base-catalysed click-like reaction". ChemBioChem. 13 (7): 999–1008. doi:10.1002/cbic.201200068. PMID 22474011. S2CID 33632225.
- Benner, S.A.; Kim, H.-J.; Carrigan, M.A. (2012). "Asphalt, water, and the prebiotic synthesis of ribose, ribonucleosides, and RNA". Acc. Chem. Res. 45 (12): 2025–2034. doi:10.1021/ar200332w. PMID 22455515.
- Neveu, M.; Kim, H.J.; Benner, S.A. (2013). "The "strong" RNA world hypothesis: fifty years old". Astrobiology. 13 (4): 391–403. Bibcode:2013AsBio..13..391N. doi:10.1089/ast.2012.0868. PMID 23551238.

