Khan Academy (English - US curriculum)
Math
Algebra 2
Rational exponents and radicals
Evaluating exponents & radicals
Evaluating exponents & radicals
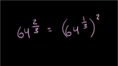
Evaluating fractional exponents
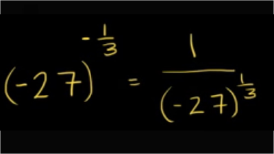
Evaluating fractional exponents: negative unit-fraction
Evaluating fractional exponents: fractional base
Evaluating quotient of fractional exponents
Evaluating mixed radicals and exponents
Evaluate radical expressions challenge