Khan Academy (English - US curriculum)
Math
AP®︎ Calculus BC
AP Calculus BC solved exams
AP Calculus BC 2008
AP Calculus BC 2008
Solved examples from AP Calculus BC 2008.
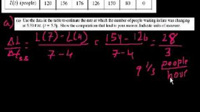
AP Calculus BC exams: 2008 1 a
AP Calculus BC exams: 2008 1 b&c
AP Calculus BC exams: 2008 1 c&d
AP Calculus BC exams: 2008 1 d
Calculus BC 2008 2 a
Calculus BC 2008 2 b &c
Calculus BC 2008 2d