Khan Academy (English - US curriculum)
Math by grade
Eureka Math/EngageNY
Algebra 1 (Eureka Math/EngageNY)
Module 4: Polynomial and quadratic expressions, equations, and functions
Topic B: Lessons 14-15: The quadratic formula
Topic B: Lessons 14-15: The quadratic formula
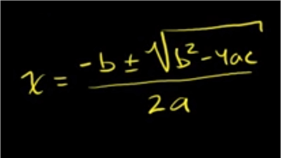
The quadratic formula
Using the quadratic formula
Worked example: quadratic formula
Worked example: quadratic formula (example 2)
Worked example: quadratic formula (negative coefficients)
Quadratic formula
Using the quadratic formula: number of solutions
Number of solutions of quadratic equations
Proof of the quadratic formula