Khan Academy (English - US curriculum)
Math by grade
Eureka Math/EngageNY
Algebra 2 (Eureka Math/EngageNY)
Module 1: Polynomial, rational, and radical relationships
Topic C: Lessons 22-23: Simplifying rational expressions
Topic C: Lessons 22-23: Simplifying rational expressions
Reducing rational expressions to lowest terms
Simplifying rational expressions: common monomial factors
Reduce rational expressions to lowest terms: Error analysis
Simplifying rational expressions: common binomial factors
Simplifying rational expressions: opposite common binomial factors
Reduce rational expressions to lowest terms
Simplifying rational expressions: grouping
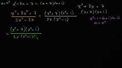
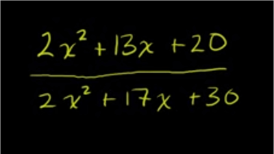
Simplifying rational expressions: higher degree terms
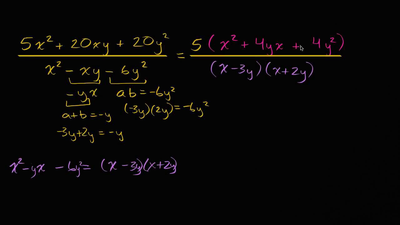
Simplifying rational expressions: two variables
Simplify rational expressions (advanced)