Khan Academy (English - US curriculum)
Math
Pre-algebra
Patterns
Writing expressions
Writing expressions
Constructing numerical expressions
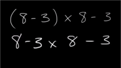
Evaluating expressions with & without parentheses
Evaluate expressions with parentheses
Translating expressions with parentheses
Translate expressions with parentheses
Create expressions with parentheses