Khan Academy (English - US curriculum)
Math
Precalculus
Complex numbers
The fundamental theorem of algebra
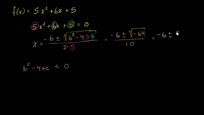
The fundamental theorem of algebra
The Fundamental theorem of Algebra
Quadratics & the Fundamental Theorem of Algebra
Number of possible real roots of a polynomial