Khan Academy (English - US curriculum)
Math
AP®︎ Calculus BC
Infinite sequences and series
Representing functions as power series
Representing functions as power series
Integrating power series
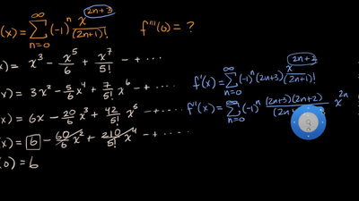
Differentiating power series
Integrate & differentiate power series
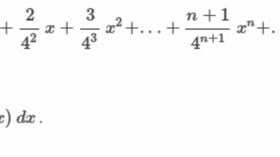
Finding function from power series by integrating
Integrals & derivatives of functions with known power series
Interval of convergence for derivative and integral