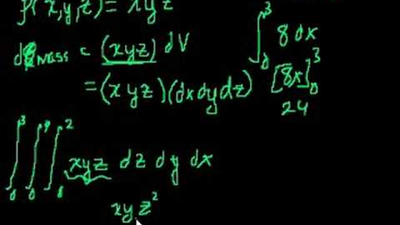
Triple integrals

This is about as many integrals we can use before our brains explode. Now we can sum variable quantities in three-dimensions (what is the mass of a 3-D wacky object that has variable density)!