Khan Academy (English - US curriculum)
Math by grade
Eureka Math/EngageNY
Precalculus (Eureka Math/EngageNY)
Module 3: Rational and exponential functions
Topic B: Lessons 12-13: End behavior and asymptotes of rational functions
Topic B: Lessons 12-13: End behavior and asymptotes of rational functions
End behavior of rational functions
End behavior of rational functions
Discontinuities of rational functions
Rational functions: zeros, asymptotes, and undefined points
Analyzing vertical asymptotes of rational functions
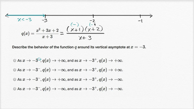
Analyze vertical asymptotes of rational functions