Khan Academy (English - US curriculum)
Math
AP®︎ Calculus AB
Integration and accumulation of change
The fundamental theorem of calculus and accumulation functions
The fundamental theorem of calculus and accumulation functions
The fundamental theorem of calculus and accumulation functions
Functions defined by definite integrals (accumulation functions)
Functions defined by definite integrals (accumulation functions)
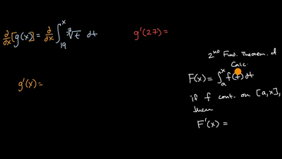
Finding derivative with fundamental theorem of calculus
Finding derivative with fundamental theorem of calculus
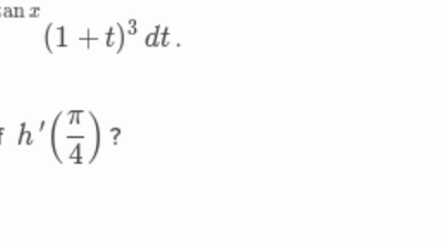
Finding derivative with fundamental theorem of calculus: chain rule
Finding derivative with fundamental theorem of calculus: chain rule