Khan Academy (English - US curriculum)
Math
AP®︎ Calculus AB
Differentiation: composite, implicit, and inverse functions
Implicit differentiation
Implicit differentiation
Implicit differentiation
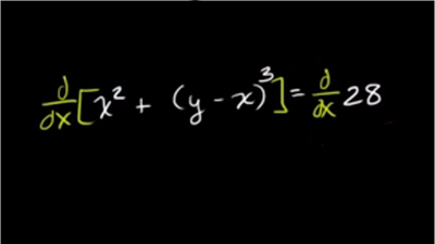
Worked example: Implicit differentiation
Worked example: Evaluating derivative with implicit differentiation
Implicit differentiation
Showing explicit and implicit differentiation give same result