Khan Academy (English - US curriculum)
Math by grade
High school
Precalculus
Rational functions
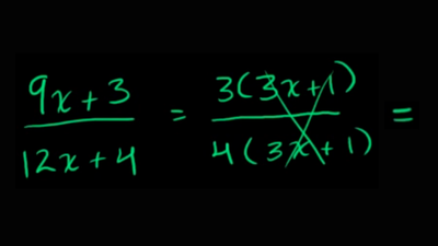
Reducing rational expressions to lowest terms
Reducing rational expressions to lowest terms
Reducing rational expressions to lowest terms
Reduce rational expressions to lowest terms: Error analysis
Reduce rational expressions to lowest terms