Khan Academy (English - US curriculum)
Math
AP®︎ Calculus AB
Differential equations
Finding particular solutions using initial conditions and separation of variables
Finding particular solutions using initial conditions and separation of variables
Particular solutions to differential equations: rational function
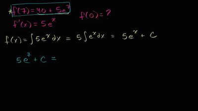
Particular solutions to differential equations: exponential function
Particular solutions to differential equations
Worked example: finding a specific solution to a separable equation
Worked example: separable equation with an implicit solution
Particular solutions to separable differential equations