Khan Academy (English - US curriculum)
Math by grade
High school
Get ready for Precalculus
Get ready for trigonometry
The Pythagorean identity
The Pythagorean identity
Proof of the Pythagorean trig identity
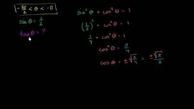
Using the Pythagorean trig identity
Use the Pythagorean identity