Khan Academy (English - US curriculum)
Math
Algebra 1
Quadratics: Multiplying & factoring
Factoring quadratics with perfect squares
Factoring quadratics with perfect squares
Perfect square factorization intro
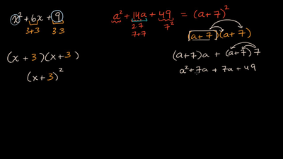
Perfect squares intro
Factoring perfect squares
Identifying perfect square form
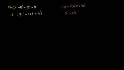
Factoring perfect squares: negative common factor
Factoring perfect squares: missing values
Factoring perfect squares: shared factors
Perfect squares