Khan Academy (English - US curriculum)
Math
Algebra 1
Quadratic functions & equations
Completing the square intro
Completing the square intro
Completing the square
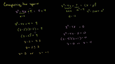
Worked example: Completing the square (intro)
Completing the square (intro)
Worked example: Rewriting expressions by completing the square
Worked example: Rewriting & solving equations by completing the square
Completing the square (intermediate)