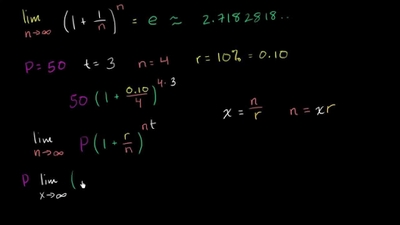
Continuous compound interest and e

This is an older tutorial (notice the low-res, bad handwriting) about one of the coolest numbers in reality and how it falls out of our innate desire to compound interest continuously.